| 查看: 1849 | 回复: 8 | ||
[求助]
微生物高通量测序 已有2人参与
|
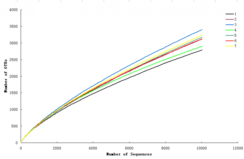
亲们,高通量测序里都需要统一测序深度吗?公司统一测序度得标准为我7个样品里reads最小的那个样品10029,而我其他样品里最多的达到了105009,是最小的那个的10倍以上,这样计算的多样性结果可靠吗?还有我那个稀释曲线在统一测序深度的那个点能反映样本微生物的多样性吗 ![]() ![]() ![]() 1.png 2.png |
» 猜你喜欢
留学--博士招生
已经有16人回复
化学工程,本211,求调剂,ab区不限
已经有4人回复
化学工程及工业化学论文润色/翻译怎么收费?
已经有205人回复
湖北师范大学招调剂啦
已经有7人回复
邵阳学院食品与化学工程学院硕士调剂
已经有0人回复
天津商业大学 生物与医药课题组招生
已经有0人回复
生物化工学硕招收调剂
已经有0人回复
广东石油化工学院2026年硕士研究生需要多名生物,制药工程,食品专业的调剂生
已经有0人回复
317分 一志愿江南大学 化学工程学硕 求调剂
已经有6人回复
化工申博
已经有3人回复
» 本主题相关价值贴推荐,对您同样有帮助:
土壤功能微生物高通量测序
已经有6人回复
土壤微生物做高通量测序一般需要测几个样品?
已经有9人回复
土壤微生物高通量测序需不需要做生物学重复
已经有6人回复
高通量测序
已经有1人回复
关于微生物高通量测序
已经有1人回复
想参加微生物高通量测序的培训,不知哪个班办的好?
已经有6人回复
高通量测序技术及其在微生物学领域的应用
已经有132人回复
高通量测序分析微生物物种的丰度
已经有13人回复
高通量测序技术应用大全
已经有23人回复

2楼2015-11-20 18:47:12
great07225388
新虫 (著名写手)
- 应助: 15 (小学生)
- 金币: 1510.3
- 散金: 3964
- 红花: 10
- 帖子: 1069
- 在线: 198.7小时
- 虫号: 1049207
- 注册: 2010-06-29
- 性别: GG
- 专业: 生物信息学
【答案】应助回帖
★ ★ ★ ★ ★ ★ ★ ★
感谢参与,应助指数 +1
音乐之声0921: 金币+8, ★★★很有帮助 2015-11-20 19:42:00
感谢参与,应助指数 +1
音乐之声0921: 金币+8, ★★★很有帮助 2015-11-20 19:42:00
|
这个涉及到数据的抽平的问题,数据抽不抽平不影响微生物群落结构,但是对样品群落丰富度评估的几个参数有影响。 发自小木虫Android客户端 |
3楼2015-11-20 19:26:38
4楼2015-11-20 19:42:34
5楼2015-11-20 19:46:02
6楼2015-11-20 19:46:15
|
本帖内容被屏蔽 |
7楼2015-11-20 22:07:50

8楼2015-11-25 18:18:23
9楼2015-11-25 23:44:18















回复此楼