| ²é¿´: 818 | »Ø¸´: 4 | ||
123346Ìú³æ (³õÈëÎÄ̳)
|
[ÇóÖú]
°ïÎÒ·ÖÎöÏÂÕâÖÖ²ÄÁϵÄÓ¦Á¦Ó¦±äÇúÏß¡£ ½Ó´¥µÄÉÙ£¬·ÖÎö²»À´¡£Çó´óÉñ°ïæ
|
|
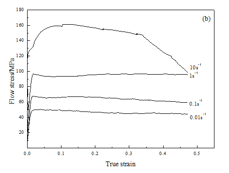
·Ö±ðΪ930 950 970 990 1010ÉãÊ϶ÈÇé¿öϵÄѹËõÊÔÑùµÄÓ¦Á¦Ó¦±äÇúÏß¡£»Ø¸´ÓëÔÙ½á¾§Çø·Ö²»À´ 930.png 950.png 970.png 990.png 1010.png |
» ±¾Ìû@֪ͨ
» ²ÂÄãϲ»¶
299Çóµ÷¼Á
ÒѾÓÐ5È˻ظ´
ÊÕ¸´ÊÔµ÷¼ÁÉú
ÒѾÓÐ3È˻ظ´
280Çóµ÷¼Á
ÒѾÓÐ7È˻ظ´
»·¾³ÁìÓòÈ«¹úÖØµãʵÑéÊÒÕÐÊÕ²©Ê¿1-2Ãû
ÒѾÓÐ5È˻ظ´
303Çóµ÷¼Á
ÒѾÓÐ6È˻ظ´
290Çóµ÷¼Á
ÒѾÓÐ10È˻ظ´
0703»¯Ñ§Çóµ÷¼Á ×Ü·Ö331
ÒѾÓÐ3È˻ظ´
Ò»Ö¾Ô¸Ìì½ò´óѧ»¯Ñ§¹¤ÒÕרҵ£¨081702£©315·ÖÇóµ÷¼Á
ÒѾÓÐ8È˻ظ´
0703»¯Ñ§µ÷¼Á
ÒѾÓÐ3È˻ظ´
²ÄÁÏ£¬·ÄÖ¯£¬ÉúÎ0856¡¢0710£©£¬»¯Ñ§ÕÐÉúÀ²
ÒѾÓÐ9È˻ظ´
» ±¾Ö÷ÌâÏà¹ØÉ̼ÒÍÆ¼ö: (ÎÒÒ²ÒªÔÚÕâÀïÍÆ¹ã)
» ±¾Ö÷ÌâÏà¹Ø¼ÛÖµÌùÍÆ¼ö£¬¶ÔÄúͬÑùÓаïÖú:
´ó¼Ò°ïæ·ÖÎöÏÂÕâÊÇɶÎïÖÊ
ÒѾÓÐ5È˻ظ´
ABAQUSµÄÓ¦Á¦Ó¦±äÇúÏßÔõôÊäÈ룿
ÒѾÓÐ10È˻ظ´
ÎÒ×öÁËÒ»¸öDSC--TGA·ÖÎö£¬Çó¶®ÈÈÖØ·ÖÎöµÄ³æÓѰïæ½âÎöһϣ¬²»Ê¤¸Ð¼¤~
ÒѾÓÐ25È˻ظ´
ÓÃABAQUSÄ£Äâ´¿ÂÁÀÉìµÃµ½Ó¦Á¦Ó¦±äÇúÏßʱ£¬Ôõô¶¨ÒåAlµÄ²ÄÁÏÊôÐÔ²ÎÊý£¿
ÒѾÓÐ29È˻ظ´
ABAQUS×Ô¶¨ÒåÓ¦Á¦Ó¦±äÇúÏß
ÒѾÓÐ9È˻ظ´
ͬÎÊѹÁ¦²âÊÔÇúÏßÈçºÎ·ÖÎö
ÒѾÓÐ12È˻ظ´
ÈçºÎ·ÖÎöÕæÓ¦Á¦Ó¦±äÇúÏߣ¿
ÒѾÓÐ6È˻ظ´
ÇóÖúansys workbenchÄ£¿é²ÄÁϿ⣬½ð±Ò²»¶àµ«È«É¢£¬ÍûÓеĴóÉñ·ÖÏí°¡£¡£¡
ÒѾÓÐ8È˻ظ´
°ï°ïÎÒ°ÉansysÓ¦Á¦Ó¦±ä·ÖÎö
ÒѾÓÐ4È˻ظ´
ÔÚÊÜÁ¦²»ÖªµÀµÄÇé¿öÏÂÇÒΪµ¯ËÜÐÔ²ÄÁÏ£¬ÈçºÎͨ¹ýÓ¦±äÇúÏߵõ½Ó¦Á¦£¿£¿£¿
ÒѾÓÐ8È˻ظ´
BET ÎüÍѸ½ÇúÏß·ÖÎö£¬Çó´óÉñ°ïæ
ÒѾÓÐ6È˻ظ´
Origin´¦ÀíÀÉìÇúÏߣ¡Çó´óÉñ½â¾ö
ÒѾÓÐ8È˻ظ´
ѹËõÓ¦Á¦Ó¦±äÇúÏßÎÊÌâ
ÒѾÓÐ14È˻ظ´
¹¤³ÌÓ¦Á¦Ó¦±äÇúÏßÈçºÎÕÒÇü·þÓ¦Á¦µã
ÒѾÓÐ9È˻ظ´
ʵÑé²âµÄ²ÄÁϵÄÓ¦Á¦Ó¦±äÇúÏß ÏëÔÙÓÃÕâ¸öÇúÏßÔÚansys ls dyna ×öÄ£Äâ
ÒѾÓÐ10È˻ظ´
ÇóÓ¦Á¦-Ó¦±äÇúÏß·ÖÎö
ÒѾÓÐ8È˻ظ´
̼ÏËάƬ²ÄÀÉìÇ¿¶ÈÓ¦Á¦Ó¦±äÇúÏßÇó½Ì£¿
ÒѾÓÐ10È˻ظ´
Ôõô¸ù¾ÝºÏ½ðÔÚ²»Í¬Î¶ȺͱäÐÎËÙÂÊϵÄÓ¦Á¦-Ó¦±äÇúÏßÈ·¶¨ÄĸöÊÔÑùÊʺÏ×ö͸É䣿
ÒѾÓÐ5È˻ظ´
Çë½Ì̼²ÄÁϵĵªÆøÎü¸½ÍѸ½ÇúÏß·ÖÎö£¡Çë¸÷λ´óÉñ²»Áߴͽ̣¡~~
ÒѾÓÐ5È˻ظ´
ÒÑÖª²ÄÁϵĵ¯ÐÔÄ£Á¿ºÍÕæÊµÓ¦Á¦Ó¦±äÇúÏߣ¬ÈçºÎÇóÇü·þÇ¿¶È£¿
ÒѾÓÐ11È˻ظ´
ÂÁºÏ½ðÀÉìÓ¦Á¦Ó¦±äÇúÏß¹ÖÒìÐÎ×´·ÖÎö
ÒѾÓÐ12È˻ظ´
Çë½ÌһϻӦÁ¦Ó¦±äÇúÏß
ÒѾÓÐ3È˻ظ´
zyl12650
ÈÙÓþ°æÖ÷ (ÖªÃû×÷¼Ò)
ÎÒÊÇ×î°ôµÄ£¡£¡£¡
- Ó¦Öú: 143 (¸ßÖÐÉú)
- ¹ó±ö: 0.751
- ½ð±Ò: 11916.8
- É¢½ð: 8613
- ºì»¨: 41
- ɳ·¢: 17
- Ìû×Ó: 5741
- ÔÚÏß: 997.8Сʱ
- ³æºÅ: 1339518
- ×¢²á: 2011-07-07
- ÐÔ±ð: GG
- רҵ: ½ðÊô²ÄÁϵĺϽðÏà¡¢Ïà±ä¼°
- ¹ÜϽ: ¿¼²©

2Â¥2015-05-30 15:10:56
123346
Ìú³æ (³õÈëÎÄ̳)
- Ó¦Öú: 0 (Ó×¶ùÔ°)
- ½ð±Ò: 212
- Ìû×Ó: 26
- ÔÚÏß: 7.2Сʱ
- ³æºÅ: 3362311
- ×¢²á: 2014-08-12
- ÐÔ±ð: GG
- רҵ: Óлú·ÖÎö
3Â¥2015-05-30 16:11:20
123346
Ìú³æ (³õÈëÎÄ̳)
- Ó¦Öú: 0 (Ó×¶ùÔ°)
- ½ð±Ò: 212
- Ìû×Ó: 26
- ÔÚÏß: 7.2Сʱ
- ³æºÅ: 3362311
- ×¢²á: 2014-08-12
- ÐÔ±ð: GG
- רҵ: Óлú·ÖÎö
4Â¥2015-05-30 16:13:17
sevenking713
гæ (СÓÐÃûÆø)
- Ó¦Öú: 0 (Ó×¶ùÔ°)
- ½ð±Ò: 423
- É¢½ð: 45
- ºì»¨: 1
- Ìû×Ó: 73
- ÔÚÏß: 19.3Сʱ
- ³æºÅ: 3861583
- ×¢²á: 2015-05-11
- ÐÔ±ð: MM
- רҵ: ÖÆÔìϵͳÓë×Ô¶¯»¯
|
»Ø¸´ÊÇÔٽᾧµÄǰÆÚ½×¶Î£¡·¢ÉúÔٽᾧһ°ã֮ǰ¶¼Óлظ´¡£´ÓͼÖпɿ´³öÓ¦±äÂÊΪ10µÄÇúÏß¶¼ÓдÓ×î¸ßµãÃ÷ÏÔÍùϽµµÄµÄÏÖÏó¡ÊǵäÐ͵ÄÔٽᾧÏÖÏó¡£ÔٽᾧµÄÈí»¯Ð§Ó¦³¬¹ýÁËËÜÐÔÇ¿»¯¡ËùÒÔÓ¦Á¦½µµÍ£¡ÆäËûÇúÏ߿ɿ´³ÉÊǻظ´£¡»Ø¸´µÄÈí»¯ÄÜÁ¦½ÏÈõ¡»ù±¾Óë±äÐÎÇ¿»¯³Öƽ ·¢×ÔСľ³æAndroid¿Í»§¶Ë |
5Â¥2016-04-09 15:06:13













»Ø¸´´ËÂ¥