| ²é¿´: 4827 | »Ø¸´: 6 | ||
xyzcjczͳæ (СÓÐÃûÆø)
|
[ÇóÖú]
ÈçºÎ·ÖÎöÕæÓ¦Á¦Ó¦±äÇúÏߣ¿ ÒÑÓÐ3È˲ÎÓë
|
|
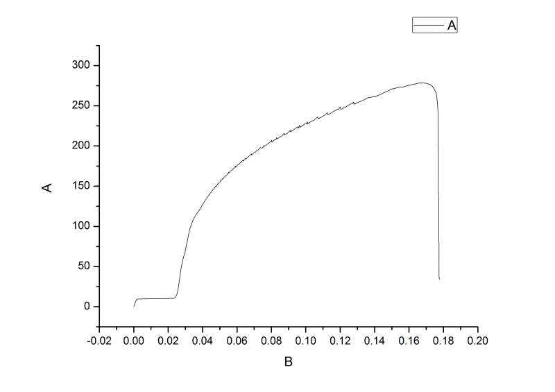
¿ÉÒÔ´ÓÕæÓ¦Á¦Ó¦±äÇúÏßÖп´³öʲô£¿ÀýÈ翹ÀÇ¿¶È£¬ÑÓÉìÂÊ£¬ËÜÐԵȵȲ»Í¬µÄÇúÏßÔõô±È½Ï£¿£¿±ÈÈçÏÂͼ£¬ÄܾÍͼ´óÖ½ÌÎÒÒ»ÏÂÔõô·ÖÎöÂ𣿣¿ 1 |
» ²ÂÄãϲ»¶
307Çóµ÷¼Á
ÒѾÓÐ9È˻ظ´
288Çóµ÷¼Á
ÒѾÓÐ15È˻ظ´
085700×ÊÔ´Óë»·¾³308Çóµ÷¼Á
ÒѾÓÐ5È˻ظ´
294Çóµ÷¼Á²ÄÁÏÓ뻯¹¤×¨Ë¶
ÒѾÓÐ14È˻ظ´
0817 »¯Ñ§¹¤³Ì 299·ÖÇóµ÷¼Á ÓпÆÑоÀú ÓжþÇøÎÄÕÂ
ÒѾÓÐ18È˻ظ´
265Çóµ÷¼Á
ÒѾÓÐ3È˻ظ´
296Çóµ÷¼Á
ÒѾÓÐ6È˻ظ´
0703»¯Ñ§µ÷¼Á
ÒѾÓÐ13È˻ظ´
085600²ÄÁÏÓ뻯¹¤ Çóµ÷¼Á
ÒѾÓÐ15È˻ظ´
ÉúÎïѧµ÷¼ÁÕÐÈË£¡£¡£¡
ÒѾÓÐ4È˻ظ´
» ±¾Ö÷ÌâÏà¹Ø¼ÛÖµÌùÍÆ¼ö£¬¶ÔÄúͬÑùÓаïÖú:
ÈçºÎ·ÖÎöÁ¦-Î»ÒÆÇúÏß
ÒѾÓÐ5È˻ظ´
DMA Q800ÈçºÎµÃµ½Ó¦Á¦-Ó¦±äÇúÏß
ÒѾÓÐ0È˻ظ´
ѹËõÓ¦Á¦Ó¦±äÇúÏßÎÊÌâ
ÒѾÓÐ14È˻ظ´
¹¤³ÌÓ¦Á¦Ó¦±äÇúÏßÈçºÎÕÒÇü·þÓ¦Á¦µã
ÒѾÓÐ9È˻ظ´
abaqusÈçºÎ»æÖÆÕæÓ¦Á¦ÕæÓ¦±äÇúÏß
ÒѾÓÐ10È˻ظ´
lammps ÀÉìÓ¦Á¦Ó¦±äÇúÏß
ÒѾÓÐ4È˻ظ´
Ôõôͨ¹ýÓ¦Á¦Ó¦±äͼ»ñµÃZ²ÎÊýµÄ°¡£¿Ð±ÂÊÊÇÔõôÇóµÄ°¡£¿
ÒѾÓÐ9È˻ظ´
ÔõÑùÔÚOrignÖлӦÁ¦Ó¦±äÇúÏß
ÒѾÓÐ5È˻ظ´
ÇóÓ¦Á¦-Ó¦±äÇúÏß·ÖÎö
ÒѾÓÐ8È˻ظ´
ÒÑÖª²ÄÁϵĵ¯ÐÔÄ£Á¿ºÍÕæÊµÓ¦Á¦Ó¦±äÇúÏߣ¬ÈçºÎÇóÇü·þÇ¿¶È£¿
ÒѾÓÐ11È˻ظ´
ÂÁºÏ½ðÀÉìÓ¦Á¦Ó¦±äÇúÏß¹ÖÒìÐÎ×´·ÖÎö
ÒѾÓÐ12È˻ظ´
Çë½ÌÈçºÎ¼ÆËãÓ¦Á¦-Ó¦±äÇúÏßϵÄÃæ»ý
ÒѾÓÐ19È˻ظ´
Çë½ÌÈçºÎ¼ÆËãÓ¦Á¦-Ó¦±äÇúÏßϵÄÃæ»ý¡£
ÒѾÓÐ13È˻ظ´
ÂÁºÏ½ðÓ¦Á¦¡ªÓ¦±äÇúÏß
ÒѾÓÐ21È˻ظ´
þºÏ½ðѹËõÓ¦Á¦Ó¦±äÇúÏß
ÒѾÓÐ17È˻ظ´
Ó¦Á¦Ó¦±äÀÉìÇúÏߵĴ¦Àí
ÒѾÓÐ8È˻ظ´
¹ØÓÚ¹¤³ÌÓ¦Á¦Ó¦±äÇúÏß»»Ëã³ÉÕæÊµÓ¦Á¦Ó¦±äÇúÏßµÄÎÊÌâ...
ÒѾÓÐ12È˻ظ´
¡¾ÇóÖú¡¿Ó¦Á¦-Ó¦±äÇúÏß
ÒѾÓÐ5È˻ظ´
¡¾ÇóÖú¡¿¹ØÓÚ¸ÖµÄÓ¦Á¦-Ó¦±äÇúÏßͼ
ÒѾÓÐ10È˻ظ´
×ÔÓÉ×ÔÔÚ````
ͳæ (³õÈëÎÄ̳)
- Ó¦Öú: 1 (Ó×¶ùÔ°)
- ½ð±Ò: 65
- Ìû×Ó: 9
- ÔÚÏß: 9.2Сʱ
- ³æºÅ: 1990810
- ×¢²á: 2012-09-10
- ÐÔ±ð: MM
- רҵ: ½ðÊô²ÄÁϵĺϽðÏà¡¢Ïà±ä¼°

2Â¥2014-03-15 11:43:42
xyzcjcz
ͳæ (СÓÐÃûÆø)
- Ó¦Öú: 3 (Ó×¶ùÔ°)
- ½ð±Ò: 399.9
- É¢½ð: 5
- ºì»¨: 1
- Ìû×Ó: 96
- ÔÚÏß: 30.1Сʱ
- ³æºÅ: 2462286
- ×¢²á: 2013-05-13
- ÐÔ±ð: GG
- רҵ: ½ðÊô»ù¸´ºÏ²ÄÁÏ
3Â¥2014-03-15 12:54:41
peterflyer
ľ³æÖ®Íõ (ÎÄѧ̩¶·)
peterflyer
- MM-EPI: 2
- Ó¦Öú: 20282 (Ժʿ)
- ½ð±Ò: 146149
- ºì»¨: 1374
- Ìû×Ó: 93091
- ÔÚÏß: 7694.3Сʱ
- ³æºÅ: 1482829
- ×¢²á: 2011-11-08
- ÐÔ±ð: GG
- רҵ: ¹¦ÄÜÌÕ´É
4Â¥2014-03-15 14:46:02
xyzcjcz
ͳæ (СÓÐÃûÆø)
- Ó¦Öú: 3 (Ó×¶ùÔ°)
- ½ð±Ò: 399.9
- É¢½ð: 5
- ºì»¨: 1
- Ìû×Ó: 96
- ÔÚÏß: 30.1Сʱ
- ³æºÅ: 2462286
- ×¢²á: 2013-05-13
- ÐÔ±ð: GG
- רҵ: ½ðÊô»ù¸´ºÏ²ÄÁÏ
5Â¥2014-03-15 22:13:49
l260424753
½ð³æ (ÕýʽдÊÖ)
- Ó¦Öú: 21 (СѧÉú)
- ½ð±Ò: 100.2
- É¢½ð: 759
- ºì»¨: 5
- Ìû×Ó: 377
- ÔÚÏß: 70.3Сʱ
- ³æºÅ: 3018723
- ×¢²á: 2014-03-05
- ÐÔ±ð: GG
- רҵ: ½á¹¹»¯Ñ§

6Â¥2014-03-16 07:27:55
peterflyer
ľ³æÖ®Íõ (ÎÄѧ̩¶·)
peterflyer
- MM-EPI: 2
- Ó¦Öú: 20282 (Ժʿ)
- ½ð±Ò: 146149
- ºì»¨: 1374
- Ìû×Ó: 93091
- ÔÚÏß: 7694.3Сʱ
- ³æºÅ: 1482829
- ×¢²á: 2011-11-08
- ÐÔ±ð: GG
- רҵ: ¹¦ÄÜÌÕ´É
7Â¥2014-03-16 08:04:08













»Ø¸´´ËÂ¥