| 查看: 1783 | 回复: 9 | ||||
[求助]
可以帮忙看下bet曲线吗。我刚接触不太懂,谢谢了! 已有5人参与
|
|
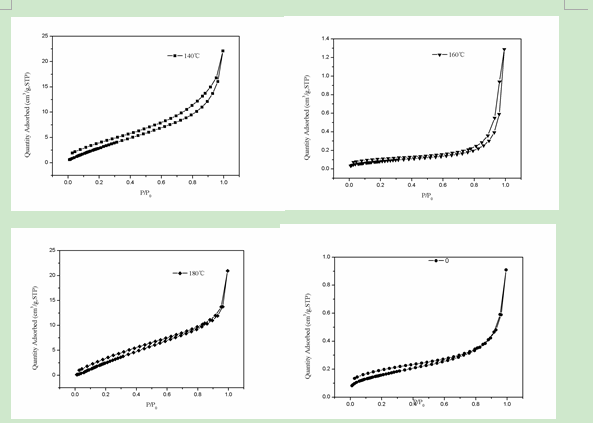
查阅文献,这应该是微孔 IV 型等温线 H4型回滞环 不知道理解的对不对,还有孔径分布不太会分析,第二张图的图二还有图四最可几孔径怎么那么多, 另外dV/dlog(D) Pore Volume (cm/g)这个图形是为了分析什么的呢!!问题有点多,谢谢了! @8C(T7`3@XCALUNTRK0$~1S.png P9)6]PV0910HREF7X6}JU1V.png |
» 本帖@通知
» 猜你喜欢
塑料油分析测试
已经有1人回复
大连工业大学招硕士研究生
已经有0人回复
专业论文润色/翻译怎么收费?
已经有289人回复
武汉纺织大学招收化学化工类和材料类研究生调剂生若干名
已经有9人回复
河南某一本高校招收材料,化工,化学调剂生
已经有0人回复
生物质能方向,招光/电催化博士
已经有0人回复
国家级人才课题组招收2026年化学,材料化工 调剂生
已经有0人回复
国家级人才团体课题组招收2026届化学类学硕,专硕。
已经有0人回复
国家级人才课题组招收2026年化学,材料化工 调剂生
已经有0人回复
大连工业大学招硕士研究生
已经有0人回复
国家级人才课题组招收2026年化学,材料化工 调剂生
已经有0人回复
» 本主题相关价值贴推荐,对您同样有帮助:
求大神帮忙分析一下这条充放电曲线
已经有9人回复
XPS测试的分峰处理
已经有30人回复
为什么我做的阴极极化曲线是这样子的?请高手们帮我分析下,谢谢!
已经有12人回复
BJH孔径分布曲线
已经有3人回复
帮忙看下BET结果,咋分析啊,谢谢
已经有13人回复
BET 吸脱附曲线分析,求大神帮忙
已经有6人回复
求助 介孔二氧化硅的氮气吸附脱附分析
已经有11人回复
关于误差棒,置信区间的问题。谢谢
已经有21人回复
请教一下懂的人 做BET测试的时候加石英填充棒的作用是什么? 如何减少误差的 谢谢
已经有10人回复
大家交流一下BET仪器测试原理,测试过程
已经有18人回复
Canoco软件使用用问题
已经有32人回复
如何判断堆积孔与真正的介孔?
已经有3人回复
我做的活性炭的孔径分布曲线,但不大会分析,希望大虫们帮我分析一下,谢谢!
已经有13人回复
帮忙分析一下氮气吸附曲线
已经有8人回复
帮我看看这个二氧化钛的BET图 和TEM
已经有14人回复
各位大侠,帮忙看一下这个氧化铝的吸附解吸曲线滞后环是什么型的啊,孔型咋样啊~~谢谢
已经有12人回复
BET使用中的有关问题
已经有17人回复
请问,我的同一催化剂做了两次BET(不同地方),为什么结果相差一个数量级?谢谢!
已经有14人回复
【求助】氮气吸脱附曲线不闭合
已经有15人回复
【求助】BET方法
已经有12人回复
【请教】纳米材料BET结果分析
已经有18人回复
liwentao2010
无虫
山涛
-

专家经验: +925 - C-EPI: 21
- 应助: 1892 (讲师)
- 贵宾: 9.653
- 金币: 66833.1
- 散金: 19465
- 红花: 295
- 沙发: 38
- 帖子: 12535
- 在线: 1645.7小时
- 虫号: 1135679
- 注册: 2010-10-31
- 专业: 催化化学
- 管辖: 催化

2楼2015-05-26 08:44:24
guozl
禁虫
-

专家经验: +737 - C-EPI: 2
- 应助: 573 (博士)
- 贵宾: 0.456
- 金币: 14736.6
- 散金: 15
- 红花: 63
- 帖子: 1355
- 在线: 161.1小时
- 虫号: 626505
- 注册: 2008-10-15
- 性别: MM
- 专业: 资源化工
- 管辖: 催化
【答案】应助回帖
★ ★ ★ ★ ★ ★
感谢参与,应助指数 +1
炼狱之火: 金币+1, 感谢回帖,欢迎常来交流 2015-05-27 22:01:40
毛毛的问(liwentao2010代发): 金币+5 2015-08-29 14:34:21
感谢参与,应助指数 +1
炼狱之火: 金币+1, 感谢回帖,欢迎常来交流 2015-05-27 22:01:40
毛毛的问(liwentao2010代发): 金币+5 2015-08-29 14:34:21
|
@8C(T7`3@XCALUNTRK0$~1S.png和P9)6]PV0910HREF7X6}JU1V.png是依次对应的么?如果是那这几种都是微孔材料。 第二张图的图二还有图四最可几孔径多可能是合成的材料是多孔径的那种。 P9)6]PV0910HREF7X6}JU1V.png中的dV/dlog(D) Pore Volume (cm/g)这个图形是为了分析就是为了分析孔径分布的,第一可以看出您的材料中的孔径多分布在什么范围,第二可以得出各个孔径分布段对孔容的贡献。 |

3楼2015-05-26 10:28:00
zyhou
新虫
-

专家经验: +3748 - C-EPI: 74
- 应助: 4970 (副教授)
- 贵宾: 2.947
- 金币: 39396.7
- 散金: 14624
- 红花: 415
- 帖子: 10637
- 在线: 2546.4小时
- 虫号: 373328
- 注册: 2007-05-16
- 性别: GG
- 专业: 催化化学
- 管辖: 催化
4楼2015-05-26 10:49:19
5楼2015-05-26 15:58:27
6楼2015-05-26 16:07:56
7楼2015-05-26 16:13:33
guozl
禁虫
-

专家经验: +737 - C-EPI: 2
- 应助: 573 (博士)
- 贵宾: 0.456
- 金币: 14736.6
- 散金: 15
- 红花: 63
- 帖子: 1355
- 在线: 161.1小时
- 虫号: 626505
- 注册: 2008-10-15
- 性别: MM
- 专业: 资源化工
- 管辖: 催化

8楼2015-05-26 17:03:26
上官小仙
版主
前世今生
![]()
![]()
![]()
![]()
- C-EPI: 2
- 应助: 291 (大学生)
- 贵宾: 0.038
- 金币: 4190.1
- 散金: 2000
- 红花: 94
- 帖子: 1334
- 在线: 187.1小时
- 虫号: 1730712
- 注册: 2012-04-01
- 性别: GG
- 专业: 电机与电器
【答案】应助回帖
★ ★ ★ ★ ★ ★ ★
感谢参与,应助指数 +1
炼狱之火: 金币+2, 回帖详实有意义,欢迎小仙哥常来交流 2015-05-27 22:03:10
毛毛的问(liwentao2010代发): 金币+5 2015-08-29 14:35:12
感谢参与,应助指数 +1
炼狱之火: 金币+2, 回帖详实有意义,欢迎小仙哥常来交流 2015-05-27 22:03:10
毛毛的问(liwentao2010代发): 金币+5 2015-08-29 14:35:12
|
比较赞同zyhou老师的分析。 比表面积都很小,吸附量也不大,孔体积也很小,同时从第二个图的孔径分布可以看出,基本没啥孔的,1和3的比表面不超过20m2/g。2和4不超过2m2/g。他们的孔体积最大的不超过0.05cm3/g。像这么小的比表面积没啥孔的材料去分析孔径确实意义不大。 此外回滞环线近乎没有(虽然通过缩小坐标轴可以放大回滞环)。这有可能是测量误差引起的。并不是说材料的孔吸脱附造成的。我个人觉得属于非多孔材料。即便有孔也是仅有的一些间隙孔。 |

9楼2015-05-27 13:44:56
arthas_007
版主
![]()
![]()
![]()
![]()
- 应助: 225 (大学生)
- 金币: 4765.8
- 散金: 1016
- 红花: 66
- 帖子: 2055
- 在线: 374.1小时
- 虫号: 1324253
- 注册: 2011-06-16
- 专业: 催化化学
10楼2015-05-27 17:22:24














回复此楼