版块导航
正在加载中...
客户端APP下载
登录
注册
帖子
帖子
用户
本版
应《网络安全法》要求,自2017年10月1日起,未进行实名认证将不得使用互联网跟帖服务。为保障您的帐号能够正常使用,请尽快对帐号进行手机号验证,感谢您的理解与支持!
24小时热门版块排行榜
>
论坛更新日志
(3300)
>
虫友互识
(371)
>
文献求助
(331)
>
导师招生
(251)
>
硕博家园
(145)
>
休闲灌水
(133)
>
考博
(127)
>
招聘信息布告栏
(67)
>
基金申请
(64)
>
攻关文献(高奖励)
(55)
>
博后之家
(51)
>
论文投稿
(50)
>
绿色求助(高悬赏)
(27)
>
找工作
(26)
>
教师之家
(22)
>
考研
(17)
小木虫论坛-学术科研互动平台
»
计算模拟区
»
程序语言
»
其它
»
求解一个隐函数方程
7
1/1
返回列表
查看: 984 | 回复: 6
只看楼主
@他人
存档
新回复提醒
(忽略)
收藏
在APP中查看
he_r_r
新虫
(初入文坛)
应助: 0
(幼儿园)
金币: 794.4
帖子: 48
在线: 10小时
虫号: 2551258
注册: 2013-07-18
专业: 能源化工
[
求助
]
求解一个隐函数方程
已有1人参与
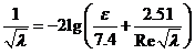
想求解图片中的隐函数方程,C,Matlab都可以。
CODE:
。Re=39944,e=0.00385.
回复此楼
» 猜你喜欢
生物学博士
已经有6人回复
评审感受-评审感受-评审感受
已经有5人回复
窗边初夏的小雨
已经有8人回复
护理论文 晋升
已经有3人回复
2026年申博-电池方向
已经有11人回复
26年申博自荐-计算机视觉
已经有4人回复
导师各种操作恶心咋办
已经有8人回复
2026博士申请求助
已经有5人回复
研究生做的很差,你们会让毕业吗?
已经有11人回复
求碳排放博导;方向是LCA、生命周期可持续发展以及碳排放
已经有7人回复
» 本主题相关价值贴推荐,对您同样有帮助:
常微分方程参数拟合问题,matlab和1stopt均可
已经有3人回复
1stopt自变量超多时是否有简单语法?AND 自变量多 数据量大的话1stopt都会算的特慢么
已经有7人回复
有方程,怎么求多元回归方程的参数
已经有12人回复
用MATLAB回归方程的参数,是个隐函数方程
已经有10人回复
用matlab求解一个隐三角函数方程
已经有10人回复
求推荐一款好的能作隐函数图像的软件
已经有3人回复
1stopt提示函数字符串有误!真心求教!
已经有8人回复
1/x与正切函数tanx的不定积分求解
已经有7人回复
1stopt解方程组
已经有12人回复
关于病态方程组求解的疑问
已经有5人回复
Mathematica关于绘制隐函数方程组的问题,跪求,快疯了
已经有11人回复
四条曲线拟合成一个设定的方程
已经有7人回复
matlab ode15s方程中两个参数怎么调用其他函数带入求解
已经有6人回复
matlab解偏微分方程求助
已经有12人回复
一个关于隐函数求偏导函数的问题
已经有6人回复
求助 matlab隐函数画图问题
已经有4人回复
求助MATLAB隐函数等
已经有7人回复
已知logistic函数,怎么求增长率函数?
已经有33人回复
隐式欧拉法求解一阶常微分方程
已经有7人回复
1stOpt的函数作图不靠谱吗?
已经有4人回复
请教下已知曲线以及曲线上的各个散点如何求出这条曲线的方程表达式
已经有10人回复
【求助】求解隐函数
已经有6人回复
1楼
2015-05-08 10:27:34
已阅
回复此楼
关注TA
给TA发消息
送TA红花
TA的回帖
he_r_r
新虫
(初入文坛)
应助: 0
(幼儿园)
金币: 794.4
帖子: 48
在线: 10小时
虫号: 2551258
注册: 2013-07-18
专业: 能源化工
大神们!速速来啊!
回复此楼
2楼
2015-05-08 10:31:06
已阅
回复此楼
关注TA
给TA发消息
送TA红花
TA的回帖
dingd
铁杆木虫
(职业作家)
应助: 1641
(讲师)
金币: 15037.3
散金: 101
红花: 234
帖子: 3410
在线: 1223.7小时
虫号: 291104
注册: 2006-10-28
【答案】应助回帖
★ ★ ★ ★ ★ ★ ★ ★ ★ ★ ★ ★ ★ ★ ★ ★ ★ ★ ★ ★ ★ ★ ★ ★ ★ ★ ★ ★ ★ ★
感谢参与,应助指数 +1
he_r_r: 金币+30,
★★★★★
最佳答案, 谢谢了,有点小瑕疵,后来也纠正了!
2015-05-08 16:07:14
数值解的话(1stOpt求解):
CODE:
Constant Re=39944,e=0.00385;
Function 1/sqrt(x)=-2*ln(e/7.4+2.51/Re/sqrt(x));
x: 0.00572674149732141
赞
一下
回复此楼
3楼
2015-05-08 11:08:47
已阅
回复此楼
关注TA
给TA发消息
送TA红花
TA的回帖
he_r_r
新虫
(初入文坛)
应助: 0
(幼儿园)
金币: 794.4
帖子: 48
在线: 10小时
虫号: 2551258
注册: 2013-07-18
专业: 能源化工
引用回帖:
3楼
:
Originally posted by
dingd
at 2015-05-08 11:08:47
数值解的话(1stOpt求解):
Constant Re=39944,e=0.00385;
Function 1/sqrt(x)=-2*ln(e/7.4+2.51/Re/sqrt(x));
x: 0.00572674149732141
大神,谢谢了。不过有一处问题不知道对不对。原公式里是lg,您这里是ln,对计算出来的结果没影响么?
赞
一下
回复此楼
4楼
2015-05-08 14:30:17
已阅
回复此楼
关注TA
给TA发消息
送TA红花
TA的回帖
dingd
铁杆木虫
(职业作家)
应助: 1641
(讲师)
金币: 15037.3
散金: 101
红花: 234
帖子: 3410
在线: 1223.7小时
虫号: 291104
注册: 2006-10-28
引用回帖:
4楼
:
Originally posted by
he_r_r
at 2015-05-08 14:30:17
大神,谢谢了。不过有一处问题不知道对不对。原公式里是lg,您这里是ln,对计算出来的结果没影响么?...
如果是10为底的对数:
x: 0.0269739419911888
赞
一下
(1人)
回复此楼
5楼
2015-05-08 15:21:18
已阅
回复此楼
关注TA
给TA发消息
送TA红花
TA的回帖
he_r_r
新虫
(初入文坛)
应助: 0
(幼儿园)
金币: 794.4
帖子: 48
在线: 10小时
虫号: 2551258
注册: 2013-07-18
专业: 能源化工
引用回帖:
5楼
:
Originally posted by
dingd
at 2015-05-08 15:21:18
如果是10为底的对数:
x: 0.0269739419911888...
谢谢了,我还试着用这个软件自己算了下
也算掌握个技能了
赞
一下
回复此楼
6楼
2015-05-08 15:52:14
已阅
回复此楼
关注TA
给TA发消息
送TA红花
TA的回帖
he_r_r
新虫
(初入文坛)
应助: 0
(幼儿园)
金币: 794.4
帖子: 48
在线: 10小时
虫号: 2551258
注册: 2013-07-18
专业: 能源化工
引用回帖:
5楼
:
Originally posted by
dingd
at 2015-05-08 15:21:18
如果是10为底的对数:
x: 0.0269739419911888...
抱歉,头一次有人应助,我该怎么把金币给你?
赞
一下
回复此楼
7楼
2015-05-08 15:56:15
已阅
回复此楼
关注TA
给TA发消息
送TA红花
TA的回帖
相关版块跳转
第一性原理
量子化学
计算模拟
分子模拟
仿真模拟
程序语言
我要订阅楼主
he_r_r
的主题更新
7
1/1
返回列表
如果回帖内容含有宣传信息,请如实选中。否则帐号将被全论坛禁言
普通表情
龙
兔
虎
猫
百度网盘
|
360云盘
|
千易网盘
|
华为网盘
在新窗口页面中打开自己喜欢的网盘网站,将文件上传后,然后将下载链接复制到帖子内容中就可以了。
信息提示
关闭
请填处理意见
关闭
确定