| 查看: 368 | 回复: 2 | ||
[求助]
怎样用matlab求解下面这个矩阵不等式
|
|
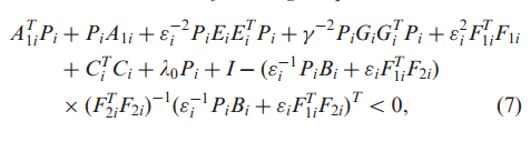
其中Pi是变量矩阵,其他矩阵和常数都可以赋值,跪求各位matlab大神能否给出解这个矩阵不等式P的matlab程序,我看书看了好多天还是写不出来。万分感谢! 9213b07eca806538ae37506b92dda144ac3482ed.png |
» 猜你喜欢
退学或坚持读
已经有25人回复
遇见不省心的家人很难过
已经有13人回复
博士延得我,科研能力直往上蹿
已经有4人回复
免疫学博士有名额,速联系
已经有14人回复
面上基金申报没有其他的参与者成吗
已经有4人回复
多组分精馏求助
已经有6人回复
» 本主题相关价值贴推荐,对您同样有帮助:
MATLAB求某一式子怎么求不出结果
已经有9人回复
请教问题,凸优化的可行性问题如何求解?
已经有5人回复
大神!这个求定积分不等式的证明怎么做呢?
已经有3人回复
一个约束规划问题求解
已经有13人回复
求助非常简单的线性矩阵不等式matlab求解过程
已经有5人回复
Matlab线性矩阵不等式分块矩阵怎么描述
已经有4人回复
用matlab计算两个向量之间的夹角结果出现复数
已经有4人回复
矩阵及其子矩阵的奇异值之间的不等式或者等式关系
已经有9人回复
求一个MATLAB的汽车模型
已经有4人回复
请教matlab用数组给参数矩阵赋值的问题
已经有11人回复
请教MATLAB中的LMI求解问题,急!!!
已经有7人回复
matlab求逆矩阵是不是有问题?
已经有13人回复
Hermite矩阵的特征值计算问题
已经有6人回复
matlab线性矩阵不等式求解做优化问题
已经有10人回复
【求助】用fortran求解大型线性方程组时出现的错误【已解决】
已经有11人回复
【求助】fortran计算时出现NaN
已经有11人回复
2楼2015-05-05 08:44:24
bluesky_90
新虫 (小有名气)
- 应助: 0 (幼儿园)
- 金币: 988.6
- 散金: 10
- 红花: 9
- 帖子: 285
- 在线: 103.6小时
- 虫号: 3226314
- 注册: 2014-05-22
- 专业: 控制论中的数学方法
3楼2015-06-14 16:52:13













回复此楼