| 查看: 3587 | 回复: 9 | |||
mxbn55金虫 (小有名气)
|
[求助]
先NVT后NVE的扩散系数计算 已有2人参与
|
|
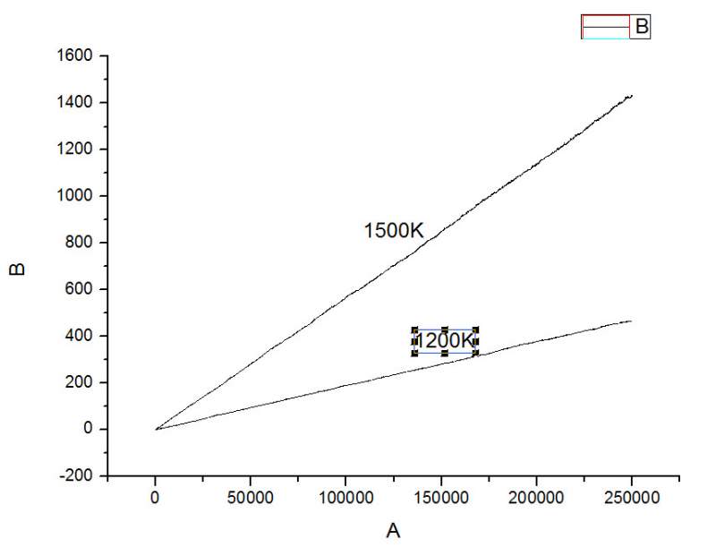
模拟时先NVT后NVE,此时NVE能量波动一直不随时间变化,但MSD曲线前期和后期波动非常大,尤其是前期这一段,是否有研究的意义?还有我老师一直在强调双对数坐标下的图像,在MSD分析和得出扩散系数时,是否有必要?谢谢 200ps nve.png |
» 猜你喜欢
求调剂
已经有23人回复
301求调剂
已经有15人回复
304求调剂(085602,过四级,一志愿985)
已经有17人回复
302分求调剂 一志愿安徽大学085601
已经有12人回复
288环境专硕,求调材料方向
已经有23人回复
环境专硕调剂
已经有6人回复
22408 调剂材料
已经有6人回复
285求调剂
已经有12人回复
求调剂
已经有6人回复
085600材料与化工301分求调剂院校
已经有19人回复
» 本主题相关价值贴推荐,对您同样有帮助:
lammps中的npt系综下逐步降温问题
已经有3人回复
CH4在MOF-5中的自扩散系数计算
已经有29人回复
MD系综选择的问题?
已经有5人回复
分子模拟中MSD的问题讨论
已经有25人回复
MS discover模块计算问题
已经有6人回复
扩散系数的计算及体系平衡的判断
已经有4人回复
MS模拟扩散系数时怎么全选气体分子分析均方位移
已经有8人回复
packmol如何构建初始结构供dl_poly使用?
已经有9人回复
求助用MS模拟气体在分子筛中扩散系数时碰到的问题
已经有20人回复
Monte carlo模拟
已经有5人回复
温室气体在水稻田土壤中的扩散系数
已经有11人回复
NPT系综的平衡问题
已经有10人回复
【求助】均方位移
已经有10人回复
【求助】MUSIC的MD模块计算甲烷在IRMOF-1上的扩散系数
已经有11人回复
【讨论】系综问题
已经有32人回复
【求助】MS中小分子在沸石中擴散之設定
已经有16人回复
【讨论】均方位移
已经有12人回复
abinitio
版主 (著名写手)
- 模拟EPI: 2
- 应助: 221 (大学生)
- 贵宾: 0.093
- 金币: 7365.2
- 散金: 3917
- 红花: 57
- 帖子: 1317
- 在线: 485.2小时
- 虫号: 368545
- 注册: 2007-05-11
- 性别: GG
- 专业: 凝聚态物性I:结构、力学和
- 管辖: 分子模拟
2楼2015-03-29 19:44:30
mxbn55
金虫 (小有名气)
- 应助: 0 (幼儿园)
- 金币: 1008.1
- 散金: 280
- 帖子: 114
- 在线: 27.7小时
- 虫号: 2837387
- 注册: 2013-11-30
- 专业: 半导体材料
3楼2015-03-30 09:05:32
月只蓝
主管区长 (职业作家)
-

专家经验: +1059 - 模拟EPI: 1
- 应助: 1712 (讲师)
- 贵宾: 8.888
- 金币: 68129.7
- 散金: 1938
- 红花: 443
- 沙发: 4
- 帖子: 4373
- 在线: 3291.4小时
- 虫号: 1122189
- 注册: 2010-10-14
- 专业: 宇宙学
- 管辖: 计算模拟区

4楼2015-03-30 09:21:28
abinitio
版主 (著名写手)
- 模拟EPI: 2
- 应助: 221 (大学生)
- 贵宾: 0.093
- 金币: 7365.2
- 散金: 3917
- 红花: 57
- 帖子: 1317
- 在线: 485.2小时
- 虫号: 368545
- 注册: 2007-05-11
- 性别: GG
- 专业: 凝聚态物性I:结构、力学和
- 管辖: 分子模拟
5楼2015-03-30 10:01:29
月只蓝
主管区长 (职业作家)
-

专家经验: +1059 - 模拟EPI: 1
- 应助: 1712 (讲师)
- 贵宾: 8.888
- 金币: 68129.7
- 散金: 1938
- 红花: 443
- 沙发: 4
- 帖子: 4373
- 在线: 3291.4小时
- 虫号: 1122189
- 注册: 2010-10-14
- 专业: 宇宙学
- 管辖: 计算模拟区

6楼2015-03-30 10:11:30
xjniudong
新虫 (小有名气)
- 应助: 0 (幼儿园)
- 金币: 1313.1
- 散金: 20
- 帖子: 266
- 在线: 171.6小时
- 虫号: 2203632
- 注册: 2012-12-24
- 专业: 工程热物理相关交叉领域
7楼2015-04-14 11:06:28
8楼2015-12-22 09:01:34
wjj318
金虫 (小有名气)
- 应助: 4 (幼儿园)
- 金币: 1253.2
- 红花: 1
- 帖子: 79
- 在线: 47.9小时
- 虫号: 2060460
- 注册: 2012-10-14
- 性别: GG
- 专业: 无机材料化学
9楼2015-12-22 09:41:29
10楼2016-01-13 20:28:20














回复此楼