版块导航
正在加载中...
客户端APP下载
论文辅导
申博辅导
登录
注册
帖子
帖子
用户
本版
应《网络安全法》要求,自2017年10月1日起,未进行实名认证将不得使用互联网跟帖服务。为保障您的帐号能够正常使用,请尽快对帐号进行手机号验证,感谢您的理解与支持!
24小时热门版块排行榜
>
论坛更新日志
(3556)
>
文献求助
(402)
>
导师招生
(261)
>
虫友互识
(206)
>
休闲灌水
(96)
>
硕博家园
(87)
>
考研
(75)
>
论文道贺祈福
(66)
>
考博
(63)
>
博后之家
(59)
>
招聘信息布告栏
(53)
>
论文投稿
(49)
>
公派出国
(44)
>
绿色求助(高悬赏)
(39)
>
基金申请
(39)
>
教师之家
(35)
小木虫论坛-学术科研互动平台
»
专业学科区
»
数学
»
基础数学
»
书中计算式推导求助02
4
1/1
返回列表
查看: 453 | 回复: 3
只看楼主
@他人
存档
新回复提醒
(忽略)
收藏
在APP中查看
mjx150
荣誉版主
(正式写手)
应助: 31
(小学生)
贵宾: 0.208
金币: 9491.4
散金: 1277
红花: 15
帖子: 878
在线: 650.3小时
虫号: 1248035
注册: 2011-03-28
性别: GG
专业: 金属功能材料
管辖:
功能材料
[
求助
]
书中计算式推导求助02
已有1人参与
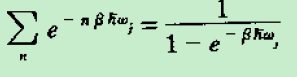
书中计算式推导求助:
这个式子是怎么推导出来的?
求大神解答
不胜感激
[
Last edited by feixiaolin on 2015-2-18 at 01:16
]
回复此楼
» 猜你喜欢
退学或坚持读
已经有28人回复
有时候真觉得大城市人没有县城人甚至个体户幸福
已经有7人回复
天津大学招2026.09的博士生,欢迎大家推荐交流(博导是本人)
已经有3人回复
面上项目申报
已经有3人回复
酰胺脱乙酰基
已经有9人回复
CSC & MSCA 博洛尼亚大学能源材料课题组博士/博士后招生|MSCA经费充足、排名优
已经有5人回复
博士延得我,科研能力直往上蹿
已经有7人回复
面上基金申报没有其他的参与者成吗
已经有5人回复
遇见不省心的家人很难过
已经有22人回复
» 本主题相关价值贴推荐,对您同样有帮助:
求助如何推导图片中的公式。
已经有3人回复
求助:怎么证明这个数学式子??
已经有6人回复
请教数学建模--公式推导问题,专业外虫子求助!!!!
已经有5人回复
求助一个矢量公式的推导
已经有3人回复
求助分子式书写
已经有4人回复
求助:变化电场产生磁场的公式 B=(1/c)E叉乘v 的推导过程
已经有3人回复
出版的书籍里面的标题和博士论文里面的标题有何不同,求助!
已经有4人回复
求一个公式的推导过程。
已经有13人回复
利用电化学阻抗如何计算超级电容器比容量
已经有7人回复
[求助]液体或者水的挥发速度的推导计算公式
已经有7人回复
简单数学公式如何求一条直线和面的夹角
已经有6人回复
求问:CSC的《资助出国留学协议书》的公证具体需要担保人提供什么材料???
已经有22人回复
求问Neumann级数在哪本书里有详细介绍
已经有8人回复
重金求高分辨质谱推算分子式的软件
已经有5人回复
文献中对书的引用格式,求助
已经有7人回复
单相流体层流流动充分发展时热入口段的Nux的理论公式或实验关联式
已经有3人回复
求普朗克推导黑体辐射公式的过程(量子论)
已经有7人回复
求助:西格玛求和公式推导问题
已经有19人回复
请问怎么才能看好高分子物理这本书?
已经有6人回复
【求助】按照G09说明书计算荧光出错。出在第二步上。
已经有13人回复
有人把南大《物化》所有公式推导过吗?【请斑竹把本标题设为高亮方便交流谢谢!】
已经有32人回复
【求助】专家推荐书如何写?
已经有4人回复
【求助】求助,《陶哲轩实分析》书中的一个公里的理解
已经有12人回复
【求助】这个怪异公式是如何推导出来的?
已经有9人回复
【求助】CASTEP计算介电常数公式中的一个疑问
已经有8人回复
Theworstsituationbroughtoutthebestofyou.
1楼
2015-02-18 00:56:51
已阅
回复此楼
关注TA
给TA发消息
送TA红花
TA的回帖
feixiaolin
荣誉版主
(文坛精英)
专家经验: +518
应助: 942
(博后)
贵宾: 1.275
金币: 3430
散金: 58785
红花: 532
沙发: 11
帖子: 24215
在线: 2601.8小时
虫号: 2139575
注册: 2012-11-21
专业: 光学信息获取与处理
管辖:
数学
Sum{(n=0, inf), z^n}=1/(1-z)
z=exp(-beta*h*omiga_j)
也就是等比级数求和
赞
一下
回复此楼
2楼
2015-02-18 01:19:30
已阅
回复此楼
关注TA
给TA发消息
送TA红花
TA的回帖
mjx150
荣誉版主
(正式写手)
应助: 31
(小学生)
贵宾: 0.208
金币: 9491.4
散金: 1277
红花: 15
帖子: 878
在线: 650.3小时
虫号: 1248035
注册: 2011-03-28
性别: GG
专业: 金属功能材料
管辖:
功能材料
引用回帖:
2楼
:
Originally posted by
feixiaolin
at 2015-02-18 01:19:30
Sum{(n=0, inf), z^n}=1/(1-z)
z=exp(-beta*h*omiga_j)
也就是等比级数求和
等比数列求和分子不对啊
[ 发自小木虫客户端 ]
赞
一下
回复此楼
Theworstsituationbroughtoutthebestofyou.
3楼
2015-02-18 11:04:06
已阅
回复此楼
关注TA
给TA发消息
送TA红花
TA的回帖
终之太刀—晓
铁杆木虫
(著名写手)
数学爱好者
数学EPI: 7
应助: 282
(大学生)
贵宾: 0.018
金币: 2934.2
散金: 5589
红花: 53
帖子: 1809
在线: 401.6小时
虫号: 3469007
注册: 2014-10-12
性别:
MM
专业: 偏微分方程
【答案】应助回帖
★ ★ ★ ★ ★ ★ ★ ★ ★ ★ ★ ★ ★ ★ ★ ★ ★ ★ ★ ★ ★ ★ ★ ★ ★ ★ ★ ★ ★ ★
感谢参与,应助指数 +1
mjx150: 金币+30,
★★★
很有帮助, 20
2015-02-21 18:03:17
推测是无穷级数求和,对n取极限,就得出分子是1了。
赞
一下
回复此楼
PreferenceforMathematics
4楼
2015-02-18 13:02:56
已阅
回复此楼
关注TA
给TA发消息
送TA红花
TA的回帖
相关版块跳转
数理科学综合
机械
物理
数学
农林
食品
地学
能源
信息科学
土木建筑
航空航天
转基因
我要订阅楼主
mjx150
的主题更新
4
1/1
返回列表
如果回帖内容含有宣传信息,请如实选中。否则帐号将被全论坛禁言
普通表情
龙
兔
虎
猫
百度网盘
|
360云盘
|
千易网盘
|
华为网盘
在新窗口页面中打开自己喜欢的网盘网站,将文件上传后,然后将下载链接复制到帖子内容中就可以了。
信息提示
关闭
请填处理意见
关闭
确定