| ²é¿´: 2260 | »Ø¸´: 7 | |||
wuliankuiľ³æ (ÖøÃûдÊÖ)
|
[½»Á÷]
ÀûÓõ绯ѧ×迹ÈçºÎ¼ÆË㳬¼¶µçÈÝÆ÷±ÈÈÝÁ¿
|
ÆäËû |
» ²ÂÄãϲ»¶
»ªÄÏÀí¹¤0703»¯Ñ§£¬×Ü·Ö336Çóµ÷¼Á
ÒѾÓÐ11È˻ظ´
ºÓ±±Å©´óÉúÎïÓëҽҩרҵÕÐÊÕµ÷¼Á£¬Ãû¶î³ä×ã
ÒѾÓÐ0È˻ظ´
·ÖÎö»¯Ñ§ÂÛÎÄÈóÉ«/·ÒëÔõôÊÕ·Ñ?
ÒѾÓÐ258È˻ظ´
Æë³¹¤Òµ´óѧ ¹ú¼ÒÖØµãʵÑéÊÒ-ÐÂÄÜÔ´¡¢ï®Àë×Óµç³Ø¡¢²ÄÁÏ¡¢»¯Ñ§·½Ïò
ÒѾÓÐ0È˻ظ´
һ־Ըǰ4λ´úÂë0703¾ù¿É±¨Ãû-ºÓ±±´óѧ·ÖÎö»¯Ñ§×¨ÒµÕÐÊÕµ÷¼Á¿¼Éú
ÒѾÓÐ58È˻ظ´
¡ï¡ï±¬¡ï¡ï0860ÉúÎïÓëÒ½Ò©µ÷¼Á¿¼Éú¿´¹ýÀ´£¬ºÓ±±´óѧ»¯Ñ§Óë²ÄÁÏ¿ÆÑ§Ñ§Ôº
ÒѾÓÐ86È˻ظ´
½ÜÇà/³¤½ÍŶÓÕÐÊÕµ÷¼Á
ÒѾÓÐ0È˻ظ´
ÖÐÄÏÁÖÒµ¿Æ¼¼´óѧÂÞÓ·æ½ÌÊÚÍŶÓ2026ÄêÕÐÊÕ²ÄÁÏÀàµ÷¼ÁÑо¿Éú
ÒѾÓÐ1È˻ظ´
µç×ӿƼ¼´óѧ²ÄÁÏѧԺÍõÁˆ½ÌÊÚÄâÕÐÊÕ¹¤³Ì²©Ê¿Ò»Ãû£¨»¯Ñ§¡¢²ÄÁÏ·½Ïò£©
ÒѾÓÐ2È˻ظ´
ºþÄÏũҵ´óѧÄÜÔ´²ÄÁÏ´´ÐÂÍŶÓÕÐÊÕ2026»¯Ñ§×¨ÒµÑо¿Éú£¨Ñ§Ë¶£©µ÷¼Á
ÒѾÓÐ6È˻ظ´
°Â¶û±¤Xinxin Xiao¿ÎÌâ×éÕÐÊÕÒ»Ãû¸ÚÎ»ÖÆ²©Ê¿£¨Ã¸»ùÉúÎïµç»¯Ñ§£©
ÒѾÓÐ0È˻ظ´
» ±¾Ö÷ÌâÏà¹Ø¼ÛÖµÌùÍÆ¼ö£¬¶ÔÄúͬÑùÓаïÖú:
³¬¼¶µçÈÝÆ÷×迹Æ×
ÒѾÓÐ8È˻ظ´
³¬¼¶µçÈÝÆ÷½»Á÷×迹ÇúÏß³öÀ´Ö®ºóÈçºÎËã¾ßÌåµÄÊýÖµ
ÒѾÓÐ3È˻ظ´
¼«»¯×迹ÈçºÎ¼ÆË㠵绯ѧ×迹
ÒѾÓÐ11È˻ظ´
¹ØÓڵ绯ѧ×迹~
ÒѾÓÐ12È˻ظ´
¹ØÓڵ绯ѧ×迹Æ×ͼµÄÎÊÌâ
ÒѾÓÐ4È˻ظ´
ÇëÎÊÕâ¸öµç»¯Ñ§×迹µÄµÈЧµç·Ӧ¸ÃÔõôÉèÖã¿
ÒѾÓÐ4È˻ظ´
µç»¯Ñ§×迹Æ×Öг£Ïàλ½ÇÔª¼þÖеÄn´ú±íʲôÒâ˼£¬Ó¦¸ÃÈçºÎÌÖÂÛ
ÒѾÓÐ12È˻ظ´
µç»¯Ñ§·½·¨ÖÆ×÷³¬¼¶µçÈÝÆ÷¶þÑõ»¯Ã̵缫£¬Ñ»··ü°²ºÍ½»Á÷×迹ÇúÏß·ÖÎö
ÒѾÓÐ10È˻ظ´
¡¾ÌÖÂÛ¡¿µç»¯Ñ§³¬¼¶µçÈÝÆ÷
ÒѾÓÐ8È˻ظ´
¡¾ÇóÖú¡¿³¬¼¶µçÈÝÆ÷µçÈÝÔ½²âÔ½´ó?
ÒѾÓÐ30È˻ظ´
» ÇÀ½ð±ÒÀ²£¡»ØÌû¾Í¿ÉÒԵõ½:
Ìì½òÀí¹¤´óѧ¾§Ìå¶ÆÄ¤ÊµÑéÊÒ2026Äê˶ʿÑо¿Éúµ÷¼ÁÕÐÉú
+3/1386
¡ï¡ï¾«Æ·¡ï¡ï0860ÉúÎïÓëÒ½Ò©»¹Óе÷¼ÁÖ¸±ê£¬×îºóµÄ»ú»á£¬¼ñ©Éϰ¶
+1/171
Õã½Å©ÁÖ´óѧ»·¾³Óë×ÊԴѧԺ/̼ÖкÍѧԺ ÕÐÊÕµ÷¼ÁÉú£¬Ñ§Ë¶1Ãû¡¢×¨Ë¶2Ãû
+1/91
µ÷¼Áϵͳ¼´½«¹Ø±Õ-¹ãÎ÷´óѧũѧԺ˶ʿÑо¿Éúµ÷¼Á£¨±¨¿¼×¨ÒµÎª09¿ªÍ·£©
+2/76
Çൺũҵ´óѧº£ÑóѧԺÕе÷¼Á˶ʿÑо¿Éú
+1/51
2026-´óÁ¬´óѧ¡«ÁùÅÌˮʦ·¶Ñ§ÔºÁªºÏÅàÑøË¶Ê¿Ñо¿Éú£¬ÕÐÊÕ»¯Ñ§¡¢»·¾³µÈÏà¹Ø×¨Òµ
+1/38
Æë³¹¤Òµ´óѧ»·¾³¿ÆÑ§Ó빤³Ìѧ²¿·ëÇì¿ÎÌâ×éÕÐÊÕµ÷¼ÁÑо¿Éú
+1/25
Î÷°²¹¤³Ì´óѧ»·»¯Ñ§ÔºÄÜÔ´»·¾³´ß»¯ÓëÏȽø²ÄÁÏ¿ÎÌâ×éÕÐÊÕµ÷¼ÁÉú
+1/11
±±»ª´óѧÁÖ²ú»¯Ñ§¼Ó¹¤¹¤³Ìѧ˶ºÍ²ÄÁÏÓ뻯¹¤×¨Ë¶µ÷¼ÁÕÐÉú
+1/11
Öйú¿ÆÑ§¼¼Êõ´óѧ-°²»Õ´óѧ¸ßнÁªºÏÕÐÆ¸²©Ê¿ºó/¸±Ñо¿Ô±
+1/11
¡¾ÉϺ£µ÷¼Á¡¿985ÁªºÏÅàÑø£¡±ð´í¹ýÄÜËÍÄãÈ¥µ¤Âó/½»´ó/ͬ¼Ã/ÖпÆÔºµÄÉñÏɵ¼Ê¦£¡
+1/10
ÕÐÊÕÓ«¹â̽Õë/ÓлúºÏ³É/ÉúÎïѧ²©Ê¿Éú
+1/10
ºþ±±Ê¦·¶´óѧ2026˶ʿµ÷¼Á ÎïÀí ¹âѧ µç×Ó ²ÄÁÏÏà¹Ø×¨Òµ
+1/10
Îä¿Æ´óÒ±ÄÜѧԺÕÐÊÕ²ÄÁÏ¡¢Ò±½ð¡¢ÄÜÔ´»·¾³¡¢»úеµÈÏà¹Ø×¨Òµµ÷¼ÁÉú
+1/9
±±¾©Å©Ñ§ÔºÖ²Îï±£»¤ÕÐÊÕ1Ãûѧ˶
+1/9
ÄÏͨ´óѧ-½»Í¨ÓëÍÁľ¹¤³ÌѧԺ Õе÷¼ÁѧÉú
+1/8
²³º£´óѧ´¢ÄܲÄÁÏ¿ÎÌâ×éÕÐÊÕµ÷¼ÁÑо¿Éú
+1/7
ÉîÛÚ´óѧлºÍƽԺʿÍŶÓÕÐÊÕ2026¼¶²©Ê¿Éú£¨AI for Science/¼ÆË㻯ѧ·½Ïò£¬µÚ¶þÂÖ£©
+1/5
´óÁ¬¹¤Òµ½ÜÇà¡¢³¤½ÍŶÓ-ÉúÎïÖʲÄÁÏ·½ÏòÕÐÊÕ2026¼¶²©Ê¿Éú
+1/4
ÄÏͨ´óѧ-½»Í¨ÓëÍÁľ¹¤³ÌѧԺ Õе÷¼ÁѧÉú
+1/1
¡ï ¡ï ¡ï ¡ï ¡ï ¡ï
Сľ³æ: ½ð±Ò+0.5, ¸ø¸öºì°ü£¬Ð»Ð»»ØÌû
seagrove: ½ð±Ò+3, ¸Ðл½»Á÷~ 2012-09-09 18:57:29
wuliankui: ½ð±Ò+2, лл 2012-09-10 12:07:27
Сľ³æ: ½ð±Ò+0.5, ¸ø¸öºì°ü£¬Ð»Ð»»ØÌû
seagrove: ½ð±Ò+3, ¸Ðл½»Á÷~ 2012-09-09 18:57:29
wuliankui: ½ð±Ò+2, лл 2012-09-10 12:07:27
|
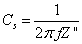
¼òµ¥µÄ˵£¬Èç¹ûÌåϵµÈͬÓÚRC´®Áª¡£ÄǾͿÉÒÔÕâô¼ÆËã¡£ ÒòΪÔÚrc´®Áªµç·ÖУ¬r¾ÍÊÇʵ²¿£¬Ð鲿¾ÍÊÇÄãдµÄÄǸö¹«Ê½£¬-i/£¨wc£©¡£w=2 Pi f¡£ Èç¹ûÌåϵ×Ü×è¿¹ÌØ±ðÊÇ¸ßÆµÏ²»ÊÇÆ½ÐÐÓÚz¡¤¡¤ÖáµÄÏßÐÔ¡£ÄÇôÕâô×ö¾Í²»ºÏÊÊÁË¡£ÁíÍ⣬ÕâÀïfËù¶ÔÓ¦µÄƵÂÊÒ²±ØÐëÊÇ·ûºÏÏßÐÔ·¶Î§Ä򵀮µÂÊÖµ¡£ |
2Â¥2012-09-09 17:56:39
wuliankui
ľ³æ (ÖøÃûдÊÖ)
- ECEPI: 2
- Ó¦Öú: 51 (³õÖÐÉú)
- ½ð±Ò: 10760.9
- Ìû×Ó: 1141
- ÔÚÏß: 1061.8Сʱ
- ³æºÅ: 720220
|
ÄãµÄ»Ø´ðȷʵÊÇÕýÈ·µÄ£¬Õâ¸öÎÒÒ²ÊÇÖªµÀµÄ£¬Õâ¸ö¹«Ê½Ö»ÓÐÔÚÆµÂʺܸߵķ¶Î§ÄÚ²ÅÊÊÓ㬶øÇÒÆäµçÈÝÓ¦¸ÃÊǸö¶¨Öµ²Å¶Ô£¬µ«ÊÇÓÐЩÎÄÏ×ÔÚʹÓÃÕâ¸ö¹«Ê½Ê±£¬ÔÚÕû¸öƵÂÊ·¶Î§ÄÚ0.01Hz-100kHz¶¼Óã¬ËùÒÔÎҾͲ»¶®ÁË£¬²»Ã÷°×ΪʲôÔÚÕû¸ö·¶Î§ÄÚ¶¼¿ÉÒÔʹÓÃÕâ¸ö¹«Ê½¡£ËûÓ¦µÄÎÄÏ×¶¼ÊÇËûÃÇ¿ÎÌâ×é×Ô¼ºµÄÎÄÏ×£¬¶øÇÒûÓÐÍÆµ¼¹ý³Ì¡£ÒýµÄÁíÒ»¸ö²Î¿¼ÎÄÏ×ÊÇElectrochemical supercapacitors BE ConwayÕâ±¾Ê飬ҲûÓÐÍÆµ¼¹ý³Ì¡£ËùÒÔÎÒ²ÅÀ´ÇóÖú´ó¼Ò£¬²»¹ý»¹ÊÇллÄã¡£ |
3Â¥2012-09-10 12:07:16
¡ï ¡ï ¡ï ¡ï
Сľ³æ: ½ð±Ò+0.5, ¸ø¸öºì°ü£¬Ð»Ð»»ØÌû
wuliankui: ½ð±Ò+3, лл 2012-09-12 17:47:17
Сľ³æ: ½ð±Ò+0.5, ¸ø¸öºì°ü£¬Ð»Ð»»ØÌû
wuliankui: ½ð±Ò+3, лл 2012-09-12 17:47:17
|
ÎÒ¾õµÃÄãÒѾ×ã¹»Ã÷°×ÁË¡£ ÊÂʵÉÏÖ»Âú×ãÔÚ¸ßÆµÏ£¬ÆäËûƵÂʲ»Âú×ã£¬ÌØ±ðÊÇnyquistͼÓаëÔ²ºÍµÍƵбÏßµÄÇé¿öÏ¡£µ«Äã¿ÉÒÔÓÃÕâ¸ö¹«Ê½×öºáÖá×÷ͼ¡£È»ºóÌÖÂÛµÍÆµÏÂÈçºÎ£¬ÒÔ¼°ÒԴ˱íÕ÷µÄCsÊÇÈçºÎ±ä»¯ÁË¡£Ò²¾ÍÕâ¸öÒâÒå¡£ |
4Â¥2012-09-12 13:03:59
wuliankui
ľ³æ (ÖøÃûдÊÖ)
- ECEPI: 2
- Ó¦Öú: 51 (³õÖÐÉú)
- ½ð±Ò: 10760.9
- Ìû×Ó: 1141
- ÔÚÏß: 1061.8Сʱ
- ³æºÅ: 720220
5Â¥2012-09-12 17:47:03
¡ï ¡ï ¡ï ¡ï
Сľ³æ: ½ð±Ò+0.5, ¸ø¸öºì°ü£¬Ð»Ð»»ØÌû
wuliankui: ½ð±Ò+3 2012-09-15 13:58:17
Сľ³æ: ½ð±Ò+0.5, ¸ø¸öºì°ü£¬Ð»Ð»»ØÌû
wuliankui: ½ð±Ò+3 2012-09-15 13:58:17
|
Èç¹ûÈÏΪÕû¸öƵÂÊÄÚµÄz¡¤¡¤¶¼¿ÉÒÔͨ¹ýÉÏÊö¹«Ê½¼ÆËãCs¡£¶øÇÒCs±»¶¨ÒåΪµçÈÝÖµÏÔÈ»ÊDz»ºÏÊʵġ£ Ò»°ãµÄ£¬±ê×¼µÄÄÇÖÖ°ëÔ²ÐβâÊԵ緣¬R1£¨RxCs£©£¬ÕâÖֵ緣¬ÄâºÏºÃÒÔºó£¬Cs-TÖµ¿ÉÒÔ±íÕ÷ÕâÖֵ緵ĵçÈÝÖµ¡£²¢ÇÒ£¬´ËʱCs-pÖµÓ¦¸ÃÊǽӽüÓÚ1µÄ¡£Õâ¸öÒѱ»ÂÛÖ¤¡£Í¬Ê±£¬´ËʱCsµÄÖµ²»ÊÇÉÏÊö¹«Ê½¼ÆËãµÄ£¬¶øÊÇÉ϶ÎÎÒ¸øµÄÄǸöÄâºÏµç·Öеıí´ïʽ¼ÆËã¡£Ò²ÊÇ׼ȷµÄ¡£ ÖÁÓÚ¸üµÍƵÂÊÏÂÀ©É¢×迹²¿·Ö£¬ÒѾÍêÈ«²»ÊÊÓÚ±íÕ÷CsÖµ£¬Õâ¸öʱºòÆ÷¼þµÄÐÔÖÊÒѾ²»ÊǵçÈÝÐÔÖʶøÊÇÀ©É¢ÐÔÖÊ¡£ËùÒÔÕⲿ·Ö¼´Ê¹Óù«Ê½ÍƵ¼Ò²ºÍCsÎ޹ء£Ò²¾ÍÊÇ˵£¬²»ºÏÊʱíÕ÷CsÖµ¡£ |
6Â¥2012-09-14 10:19:23
wuliankui
ľ³æ (ÖøÃûдÊÖ)
- ECEPI: 2
- Ó¦Öú: 51 (³õÖÐÉú)
- ½ð±Ò: 10760.9
- Ìû×Ó: 1141
- ÔÚÏß: 1061.8Сʱ
- ³æºÅ: 720220
7Â¥2012-09-15 13:58:11
8Â¥2015-12-04 09:05:14














»Ø¸´´ËÂ¥