| 查看: 1417 | 回复: 9 | ||||
learningup新虫 (小有名气)
|
[求助]
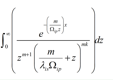
复杂积分求解,求大神相助 已有2人参与
|
|||
|
|
||||
feixiaolin荣誉版主 (文坛精英)
|
||||
|
2楼2015-01-21 15:11:28
|
|
|||
learningup新虫 (小有名气)
|
||||
|
3楼2015-01-21 21:06:29
|
|
|||
pippi6铁杆木虫 (著名写手)
工程和科学数值计算咨询
|
||||
|
4楼2015-01-21 21:15:47
|
|
|||
learningup新虫 (小有名气)
|
||||
|
5楼2015-01-21 21:19:18
|
|
|||
pippi6铁杆木虫 (著名写手)
工程和科学数值计算咨询
|
||||
|
6楼2015-01-21 22:38:49
|
|
|||
zaq123321专家顾问 (著名写手)
|
【答案】应助回帖
感谢参与,应助指数 +1
|
|||
![]() |
||||
|
7楼2015-01-22 00:11:49
|
|
|||
hank612至尊木虫 (著名写手)
|
★ ★ ★ ★ ★
feixiaolin: 金币+5 2015-01-22 07:22:45
|
|||
![]() |
||||
|
8楼2015-01-22 03:21:34
|
|
|||
|
9楼2015-01-22 07:01:56
|
|
|||
peterflyer
|
||||
|
10楼2015-01-22 09:25:39
|
|













回复此楼

