| ²é¿´: 1116 | »Ø¸´: 10 | ||||
linda_nmгæ (³õÈëÎÄ̳)
|
[ÇóÖú]
Çë½ÌÊýѧÐòÁÐÇóºÍÎÊÌâ! ÒÑÓÐ3È˲ÎÓë
|
|||
|
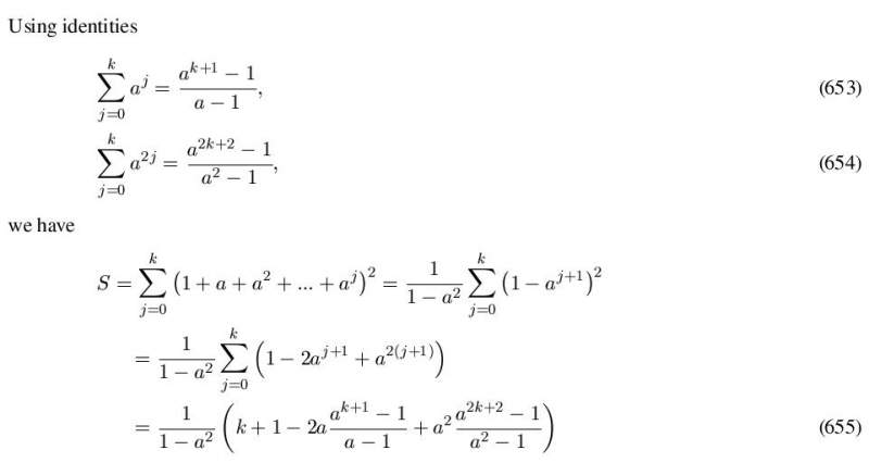
Çë½ÌÒ»¸öÐòÁÐ(1)^2,(1+a)^2,(1+a+a^2)^2, ..., (+a+a^2+a^3+..+a^k)^2µÄºÍʽ×Ó [ Last edited by feixiaolin on 2014-12-21 at 12:05 ] |
» ²ÂÄãϲ»¶
²ÄÁÏ292µ÷¼Á
ÒѾÓÐ6È˻ظ´
²ÄÁÏÓ뻯¹¤¿¼Ñе÷¼Á
ÒѾÓÐ6È˻ظ´
0703»¯Ñ§µ÷¼Á£¬Çóµ¼Ê¦ÊÕ
ÒѾÓÐ3È˻ظ´
ÉúÎïѧѧ˶Çóµ÷¼Á
ÒѾÓÐ6È˻ظ´
305·ÖÇóµ÷¼Á£¨Ê³Æ·¹¤³Ì£©
ÒѾÓÐ7È˻ظ´
299Çóµ÷¼Á
ÒѾÓÐ6È˻ظ´
085404µç×ÓÐÅÏ¢284·ÖÇóµ÷¼Á
ÒѾÓÐ4È˻ظ´
ÊÕ08µ÷¼ÁÉú
ÒѾÓÐ3È˻ظ´
081700 µ÷¼Á 267·Ö
ÒѾÓÐ9È˻ظ´
293Çóµ÷¼Á
ÒѾÓÐ5È˻ظ´
» ±¾Ö÷ÌâÏà¹Ø¼ÛÖµÌùÍÆ¼ö£¬¶ÔÄúͬÑùÓаïÖú:
Çë½ÌÒ»¸öÎÞÇî¼¶ÊýÇóºÍÎÊÌ⣬ÊÇ·ñ¿ÉÒÔËã³öÆä½üËÆÖµÄØ
ÒѾÓÐ12È˻ظ´
Ò»¸öÊýÁÐÇóºÍ£¬ÇóÖú¡£
ÒѾÓÐ14È˻ظ´
ÔõôÑù±àдÕâÑùÒ»¸ö³ÌÐò£¿
ÒѾÓÐ4È˻ظ´
(½×³Ë)ÊýÁÐÇóºÍ
ÒѾÓÐ7È˻ظ´
·ÇÏßÐÔÉñ¾ÍøÂçÄ£Ð͵ÄÄ£ÐÍÔ¤²â¿ØÖÆ ³ÌÐòÎÊÌâ
ÒѾÓÐ4È˻ظ´
Á½ÁÐÏà³ËµÃµÚÈýÁУ¬µÚÈýÁÐÇóºÍ¼ÇΪA£¬µÚ¶þÁÐÇóºÍ¼ÇΪB£¬È»ºóA³ýÒÔB¡£
ÒѾÓÐ5È˻ظ´
ÄÄλ´óÉñÀ´Ö¸µ¼ÏÂÊý×ÖÐźŴ¦ÀíÔõôѧ£¬¸Ð¼¤²»¾¡
ÒѾÓÐ30È˻ظ´
FFTËã·¨µÄÒ»¸öÎÊÌâÇë½Ì
ÒѾÓÐ18È˻ظ´
Çë½ÌLATEXÖжà¸öÇóºÍµÄϱê¸ñʽÎÊÌâ
ÒѾÓÐ3È˻ظ´
MATLABÖвúÉú¸ß˹°×ÔëÉù£¬Éæ¼°µ½awgnºÍwgnº¯Êý
ÒѾÓÐ3È˻ظ´
ÇóÖúÁ£¶ÈÃô¸Ð×é·ÖµÄÖÐÖµÁ£¾¶µÄËã·¨
ÒѾÓÐ4È˻ظ´
¡¾ÇóÖú¡¿Çë½Ì¼¶ÊýÇóºÍ¡¾Òѽâ¾ö¡¿
ÒѾÓÐ8È˻ظ´
¡¾ÇóÖú¡¿ÖÃÐÅÇø¼äµÄÇó·¨
ÒѾÓÐ4È˻ظ´
¡¾ÇóÖú¡¿¹ØÓÚMATLABÊýÁи³ÖµµÄÎÊÌâ¡¿ Íò·Ö¸Ðл
ÒѾÓÐ10È˻ظ´
¡¾·ÖÏí¡¿Matlab ×ۺϽ̳ÌPDF&DOC&PPT
ÒѾÓÐ17È˻ظ´
wurongjun
ר¼Ò¹ËÎÊ (Ö°Òµ×÷¼Ò)
-

ר¼Ò¾Ñé: +831 - ÊýѧEPI: 9
- Ó¦Öú: 791 (²©ºó)
- ¹ó±ö: 0.308
- ½ð±Ò: 24609
- É¢½ð: 310
- ºì»¨: 75
- Ìû×Ó: 3004
- ÔÚÏß: 881.4Сʱ
- ³æºÅ: 1368482
- ×¢²á: 2011-08-14
- ÐÔ±ð: GG
- רҵ: ¼ÆËãÊýѧÓë¿ÆÑ§¹¤³Ì¼ÆËã
- ¹ÜϽ: Êýѧ
¡¾´ð°¸¡¿Ó¦Öú»ØÌû
¡ï ¡ï ¡ï ¡ï
¸Ðл²ÎÓ룬ӦÖúÖ¸Êý +1
feixiaolin: ½ð±Ò+4 2014-12-21 14:51:57
¸Ðл²ÎÓ룬ӦÖúÖ¸Êý +1
feixiaolin: ½ð±Ò+4 2014-12-21 14:51:57
|
>> syms k >> symsum(a^k,k,0,k) ans = a^(k+1)/(a-1)-1/(a-1) >> factor(ans) ans = (a^(k+1)-1)/(a-1) >> symsum((a^(k+1)-1)/(a-1),k,0,k) ans = -(-a^(k+1)*a+(k+1)*a-k-1)/(a-1)^2-a/(a-1)^2 >> factor(ans) ans = -(-a^(k+1)*a+k*a+2*a-k-1)/(a-1)^2 |

4Â¥2014-12-21 12:12:55
pippi6
Ìú¸Ëľ³æ (ÖøÃûдÊÖ)
¹¤³ÌºÍ¿ÆÑ§ÊýÖµ¼ÆËã×Éѯ
- ÊýѧEPI: 6
- Ó¦Öú: 413 (˶ʿ)
- ¹ó±ö: 0.002
- ½ð±Ò: 7116.5
- É¢½ð: 15
- ºì»¨: 63
- Ìû×Ó: 1639
- ÔÚÏß: 798.9Сʱ
- ³æºÅ: 2469437
- ×¢²á: 2013-05-14
- רҵ: ¼ÆËãÊýѧÓë¿ÆÑ§¹¤³Ì¼ÆËã
¡¾´ð°¸¡¿Ó¦Öú»ØÌû
¡ï ¡ï ¡ï ¡ï
¸Ðл²ÎÓ룬ӦÖúÖ¸Êý +1
feixiaolin: ½ð±Ò+4 2014-12-21 14:52:07
¸Ðл²ÎÓ룬ӦÖúÖ¸Êý +1
feixiaolin: ½ð±Ò+4 2014-12-21 14:52:07
» ±¾ÌûÒÑ»ñµÃµÄºì»¨£¨×îÐÂ10¶ä£©
9Â¥2014-12-21 14:31:23
zaq123321
ר¼Ò¹ËÎÊ (ÖøÃûдÊÖ)
-

ר¼Ò¾Ñé: +342 - ÊýѧEPI: 6
- Ó¦Öú: 298 (´óѧÉú)
- ¹ó±ö: 0.247
- ½ð±Ò: 11336.3
- ºì»¨: 29
- Ìû×Ó: 1221
- ÔÚÏß: 538.8Сʱ
- ³æºÅ: 405284
- ×¢²á: 2007-06-17
- ÐÔ±ð: MM
- רҵ: ÉúÎï´ó·Ö×ӽṹÓ빦ÄÜ
- ¹ÜϽ: Êýѧ
¡¾´ð°¸¡¿Ó¦Öú»ØÌû
¡ï ¡ï ¡ï ¡ï ¡ï
¸Ðл²ÎÓ룬ӦÖúÖ¸Êý +1
linda_nm(feixiaolin´ú·¢): ½ð±Ò+5 2014-12-21 14:51:48
¸Ðл²ÎÓ룬ӦÖúÖ¸Êý +1
linda_nm(feixiaolin´ú·¢): ½ð±Ò+5 2014-12-21 14:51:48
|
Can you double check whether the third item is (1+a+a^2)^2 or not? If that's true, it will be the sum of squared geometric series. Should be not complicated. Good luck. [ ·¢×ÔÊÖ»ú°æ http://muchong.com/3g ] |

2Â¥2014-12-21 10:28:01
feixiaolin
ÈÙÓþ°æÖ÷ (ÎÄ̳¾«Ó¢)
-

ר¼Ò¾Ñé: +518 - Ó¦Öú: 942 (²©ºó)
- ¹ó±ö: 1.275
- ½ð±Ò: 3430
- É¢½ð: 58785
- ºì»¨: 532
- ɳ·¢: 11
- Ìû×Ó: 24215
- ÔÚÏß: 2601.8Сʱ
- ³æºÅ: 2139575
- ×¢²á: 2012-11-21
- רҵ: ¹âѧÐÅÏ¢»ñÈ¡Óë´¦Àí
- ¹ÜϽ: Êýѧ
3Â¥2014-12-21 12:06:12
linda_nm
гæ (³õÈëÎÄ̳)
- Ó¦Öú: 0 (Ó×¶ùÔ°)
- ½ð±Ò: 166
- Ìû×Ó: 29
- ÔÚÏß: 10.1Сʱ
- ³æºÅ: 1394326
- ×¢²á: 2011-09-07
- רҵ: ¹ÜÀí¸´ÔÓÐÔÑо¿
5Â¥2014-12-21 13:41:17
linda_nm
гæ (³õÈëÎÄ̳)
- Ó¦Öú: 0 (Ó×¶ùÔ°)
- ½ð±Ò: 166
- Ìû×Ó: 29
- ÔÚÏß: 10.1Сʱ
- ³æºÅ: 1394326
- ×¢²á: 2011-09-07
- רҵ: ¹ÜÀí¸´ÔÓÐÔÑо¿
6Â¥2014-12-21 13:44:56
linda_nm
гæ (³õÈëÎÄ̳)
- Ó¦Öú: 0 (Ó×¶ùÔ°)
- ½ð±Ò: 166
- Ìû×Ó: 29
- ÔÚÏß: 10.1Сʱ
- ³æºÅ: 1394326
- ×¢²á: 2011-09-07
- רҵ: ¹ÜÀí¸´ÔÓÐÔÑо¿
7Â¥2014-12-21 13:46:23
linda_nm
гæ (³õÈëÎÄ̳)
- Ó¦Öú: 0 (Ó×¶ùÔ°)
- ½ð±Ò: 166
- Ìû×Ó: 29
- ÔÚÏß: 10.1Сʱ
- ³æºÅ: 1394326
- ×¢²á: 2011-09-07
- רҵ: ¹ÜÀí¸´ÔÓÐÔÑо¿
8Â¥2014-12-21 13:49:06
feixiaolin
ÈÙÓþ°æÖ÷ (ÎÄ̳¾«Ó¢)
![]() ÔÞ |
10Â¥2014-12-21 14:53:13













»Ø¸´´ËÂ¥
linda_nm