°æ¿éµ¼º½
ÕýÔÚ¼ÓÔØÖÐ...
¿Í»§¶ËAPPÏÂÔØ
ÂÛÎĸ¨µ¼
É격¸¨µ¼
怬
×¢²á
Ìû×Ó
Ìû×Ó
Óû§
±¾°æ
Ó¦¡¶ÍøÂ簲ȫ·¨¡·ÒªÇó£¬×Ô2017Äê10ÔÂ1ÈÕÆð£¬Î´½øÐÐʵÃûÈÏÖ¤½«²»µÃʹÓû¥ÁªÍø¸úÌû·þÎñ¡£Îª±£ÕÏÄúµÄÕʺÅÄܹ»Õý³£Ê¹Óã¬Ç뾡¿ì¶ÔÕʺŽøÐÐÊÖ»úºÅÑéÖ¤£¬¸ÐлÄúµÄÀí½âÓëÖ§³Ö£¡
24СʱÈÈÃŰæ¿éÅÅÐаñ
>
ÂÛ̳¸üÐÂÈÕÖ¾
(3007)
>
³æÓÑ»¥Ê¶
(305)
>
ÎÄÏ×ÇóÖú
(183)
>
µ¼Ê¦ÕÐÉú
(116)
>
˶²©¼ÒÔ°
(90)
>
ÂÛÎĵÀºØÆí¸£
(73)
>
¿¼²©
(65)
>
²©ºóÖ®¼Ò
(49)
>
¿¼ÑÐ
(42)
>
ÕÐÆ¸ÐÅÏ¢²¼¸æÀ¸
(36)
>
½Ìʦ֮¼Ò
(34)
>
»ù½ðÉêÇë
(32)
>
ÂÌÉ«ÇóÖú(¸ßÐüÉÍ)
(30)
>
ÐÝÏйàË®
(29)
>
ÕÒ¹¤×÷
(25)
>
¹«Åɳö¹ú
(23)
Сľ³æÂÛ̳-ѧÊõ¿ÆÑл¥¶¯Æ½Ì¨
»
¼ÆËãÄ£ÄâÇø
»
¼ÆËãÄ£Äâ
»
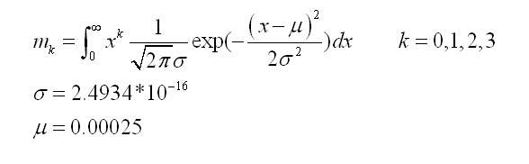
Çó¸÷λmatlab´óÉñÖ¸µ¼£¬ÓÃmatlabËãÒ»¸öÊýÖµ»ý·Ö
2
1/1
·µ»ØÁбí
²é¿´: 531 | »Ø¸´: 1
Ö»¿´Â¥Ö÷
@ËûÈË
´æµµ
лظ´ÌáÐÑ
(ºöÂÔ)
ÊÕ²Ø
ÔÚAPPÖв鿴
СÂìÒÏ_
½ð³æ
(ÕýʽдÊÖ)
Ó¦Öú: 1
(Ó×¶ùÔ°)
½ð±Ò: 1450.1
É¢½ð: 200
ºì»¨: 3
Ìû×Ó: 454
ÔÚÏß: 104.9Сʱ
³æºÅ: 2379839
×¢²á: 2013-03-27
ÐÔ±ð: GG
רҵ: ´«µÝ¹ý³Ì
[
ÇóÖú
]
Çó¸÷λmatlab´óÉñÖ¸µ¼£¬ÓÃmatlabËãÒ»¸öÊýÖµ»ý·Ö
ÒÑÓÐ1È˲ÎÓë
ÎÒ³¢ÊÔÁ˸÷ÖÖ·½·¨À´ËãÕâ¸ö»ý·Ö£¬½á¹û¶¼²»ÀíÏ룬Çó¸÷λ´óÉñÖ¸µ¼£¬Ð»Ð»
DD@ZF$KN{)W%7({NRM%ERO2.jpg
»Ø¸´´ËÂ¥
» ²ÂÄãϲ»¶
ÉîÛÚ´óѧ2026ÄêÇﲩʿÕÐÉú-ÎïÀíѧ-»îÐÔ½ºÌå·½Ïò-¸ßÓÀÏé¿ÎÌâ×é
ÒѾÓÐ18È˻ظ´
ÂÛÎïÖÊÓëÄÜÁ¿µÄͳһģÐͼ°ÎïÀíÏÖÏó½âÊÍ
ÒѾÓÐ0È˻ظ´
ÎïÀíѧIÂÛÎÄÈóÉ«/·ÒëÔõôÊÕ·Ñ?
ÒѾÓÐ132È˻ظ´
»ùÓÚ»ùÔªIͳһÀíÂÛµÄÊýѧÏà¹ØÓ¦ÓÃÍÆµ¼
ÒѾÓÐ0È˻ظ´
»ùÔªIͳһÀíÂÛ£ºÓîÖæ±¾ÖÊ¡¢²ã¼¶ÑÝ»¯ÓëÐÞÁ¶ÎÄÃ÷µÄ±¾Ô´¹æÂÉ
ÒѾÓÐ1È˻ظ´
»ùÔªIÀíÂÛÏÂÈý´óºËÐĿռäÏÖÏó¾«×¼ÍƵ¼Óëϸ½Ú½âÎö
ÒѾÓÐ0È˻ظ´
»ùÓÚ»ùÔª I ͳһÀíÂ۵ķ´ÖØÁ¦ÀíÂÛÍÆµ¼
ÒѾÓÐ0È˻ظ´
»ùÓÚ»ùÔªIͳһÀíÂÛµÄÁ¿×ÓÁ¦Ñ§±¾Ô´ÍƵ¼
ÒѾÓÐ1È˻ظ´
ÍÆ¼öÒ»¿î¿ÉÒÔAI¸¨Öúд×÷µÄLatex±à¼Æ÷SmartLatexEditor£¬³¬¼¶ºÃÓã¬AIÈóÉ«£¬È«Ãâ·Ñ
ÒѾÓÐ20È˻ظ´
¡¾EI|Scopus Ë«¼ìË÷¡¿µÚÁù½ìÖÇÄÜ»úÆ÷ÈËϵͳ¹ú¼Ê»áÒ飨ISoIRS 2026£©
ÒѾÓÐ0È˻ظ´
2026ÄêµÚËĽìµç¶¯³µÓë³µÁ¾¹¤³Ì¹ú¼Ê»áÒ飨CEVVE 2026£©
ÒѾÓÐ0È˻ظ´
» ±¾Ö÷ÌâÏà¹Ø¼ÛÖµÌùÍÆ¼ö£¬¶ÔÄúͬÑùÓаïÖú:
ÓÃMatlabÇóÒ»¸ö¶þ½×΢·Ö·½³Ì£¬³ö´íÁË£¬ÇóÖ¸µ¼£¨ÇóÖú£©
ÒѾÓÐ13È˻ظ´
matlabÇóº¯Êý»ý·Ö³ö´í
ÒѾÓÐ12È˻ظ´
Çó´óÉñÓÃmatlab¸øÎÒ´¦ÀíÒ»×éÊý¾Ý£¬ÓÐÈËûÓа¡£¿
ÒѾÓÐ15È˻ظ´
²ÎÊý¹À¼ÆÎÊÌ⣬±¾ÈËMatlab³õѧÕߣ¬Çó½Ì´óÉñ£¡
ÒѾÓÐ3È˻ظ´
ÓÐûÓдóÉñ»áÓÃmatlabËãÕâ¸ö»ý·ÖµÄ£¿
ÒѾÓÐ4È˻ظ´
ÐÂÊÖmatlabÇóÖú£¬Ð»Ð»¸÷λ
ÒѾÓÐ10È˻ظ´
ÊýÖµ»ý·Ö·½·¨ÇóÖú
ÒѾÓÐ6È˻ظ´
ÓÃmatlabÇó½â»ý·ÖÎÊÌâ
ÒѾÓÐ3È˻ظ´
MatlabÊýÖµ»ý·Ö½á¹ûÊÇÐéÊý
ÒѾÓÐ6È˻ظ´
MATLABÒ»¸öÊýÖµ»ý·ÖµÄÎÊÌâ
ÒѾÓÐ6È˻ظ´
ÓÃmatlabÇóÒ»¸ö»ý·Ö¡£ÎÒÇó²»³öÀ´°¡
ÒѾÓÐ3È˻ظ´
MatlabÈçºÎʵÏÖÕâÑùµÄ¼ÆË㣺¸³Öµ¡ª¡ª¼ÆË㡪¡ªÅжϽá¹û¡ª¡ªÖظ´
ÒѾÓÐ10È˻ظ´
matlab »ý·ÖÇóÖú
ÒѾÓÐ8È˻ظ´
matlab »ý·Ö¼ÆËã Ëã²»³ö½á¹û£¬Çó°ïÖú£¡£¡£¡
ÒѾÓÐ10È˻ظ´
matlabÈçºÎ¸Ä±äº¯Êý±äÁ¿ÖµÔÚµ÷Óú¯ÊýÖØÐ¼ÆËã
ÒѾÓÐ12È˻ظ´
ÓÐͨÏþmatlabµÄ´óÉñô
ÒѾÓÐ3È˻ظ´
matlabÇó»ý·Ö£¬³öÏÖÆæµãÔõô°ì£¿
ÒѾÓÐ8È˻ظ´
¡¾ÇóÖú¡¿matlabÇó½âÒ»¸ö¼òµ¥µÄ»ý·Ö£¨¼±£¡£¡£¡£©
ÒѾÓÐ7È˻ظ´
ŬÁ¦£¡²»·ÅÆú£¡
1Â¥
2014-11-30 16:16:37
ÒÑÔÄ
»Ø¸´´ËÂ¥
¹Ø×¢TA
¸øTA·¢ÏûÏ¢
ËÍTAºì»¨
TAµÄ»ØÌû
ÔÂÖ»À¶
Ö÷¹ÜÇø³¤
(Ö°Òµ×÷¼Ò)
ר¼Ò¾Ñé: +1059
¼ÆËãÇ¿Ìû: 8
Ó¦Öú: 1712
(½²Ê¦)
¹ó±ö: 8.888
½ð±Ò: 68124.7
É¢½ð: 1938
ºì»¨: 443
ɳ·¢: 4
Ìû×Ó: 4373
ÔÚÏß: 3291.4Сʱ
³æºÅ: 1122189
×¢²á: 2010-10-14
רҵ: ÓîÖæÑ§
¹ÜϽ:
¼ÆËãÄ£ÄâÇø
¡¾´ð°¸¡¿Ó¦Öú»ØÌû
¸Ðл²ÎÓ룬ӦÖúÖ¸Êý +1
¾Í¼ÆËã»úʵÏÖ¶øÑÔ£¬¸ø³ö´úÂ룺
CODE:
function jifenjisuan
clear all;clc
format long
u=0.00025;
o=2.4934e-16;
k=[0 1 2 3];
for i=1:4
mk(i)=quadgk(@(x) x.^k(i)/sqrt(pi*o).*exp(- (x-u).^2/2/o^2 ),0,Inf );
end
mk
ÔÚÊýѧ²ãÃæÉÏ£¬Â¥Ö÷Ó¦µ±¼ì²é¹«Ê½ÖеIJÎÊýÊÇ·ñÕýÈ·£¬Ö¸ÊýÏîÖÐµÄ ¦Ò£¬½«»áµ½µ¼ÖÂÕû¸öexpÏî·Ç³£·Ç³£·Ç³£·Ç³£½Ó½üÓÚ0¡£ËùÒÔ£¬ºÁ²»Ææ¹Ö£¬kÈ¡0 1 2 3£¬Ëĸö»ý·Ö½á¹û¶¼ÊÇ0¡£
ÔÞ
Ò»ÏÂ
»Ø¸´´ËÂ¥
MATLAB¡¢MSСÎÊÌâ¡¢ÆÕͨÎÊÌâÇë·¢ÌûÇóÖú£¡Ê±¼ä¾«Á¦ÓÐÏÞ£¬Ë¡²»½ÓÊÜÎÞ³¥Ë½ÐÅÇóÖú¡£
2Â¥
2014-11-30 18:10:55
ÒÑÔÄ
»Ø¸´´ËÂ¥
¹Ø×¢TA
¸øTA·¢ÏûÏ¢
ËÍTAºì»¨
TAµÄ»ØÌû
Ïà¹Ø°æ¿éÌø×ª
µÚÒ»ÐÔÔÀí
Á¿×Ó»¯Ñ§
¼ÆËãÄ£Äâ
·Ö×ÓÄ£Äâ
·ÂտģÄâ
³ÌÐòÓïÑÔ
ÎÒÒª¶©ÔÄÂ¥Ö÷
²×º£Ò»ÉùЦ£¬¹þ¹
µÄÖ÷Ìâ¸üÐÂ
2
1/1
·µ»ØÁбí
Èç¹û»ØÌûÄÚÈݺ¬ÓÐÐû´«ÐÅÏ¢£¬ÇëÈçʵѡÖС£·ñÔòÕʺŽ«±»È«ÂÛ̳½ûÑÔ
ÆÕͨ±íÇé
Áú
ÍÃ
Ȣ
è
°Ù¶ÈÍøÅÌ
|
360ÔÆÅÌ
|
ǧÒ×ÍøÅÌ
|
»ªÎªÍøÅÌ
ÔÚд°¿ÚÒ³ÃæÖдò¿ª×Ô¼ºÏ²»¶µÄÍøÅÌÍøÕ¾£¬½«ÎļþÉÏ´«ºó£¬È»ºó½«ÏÂÔØÁ´½Ó¸´ÖƵ½Ìû×ÓÄÚÈÝÖоͿÉÒÔÁË¡£
ÐÅÏ¢Ìáʾ
¹Ø±Õ
ÇëÌî´¦ÀíÒâ¼û
¹Ø±Õ
È·¶¨