| 查看: 549 | 回复: 3 | |
2006012217金虫 (著名写手)
|
[求助]
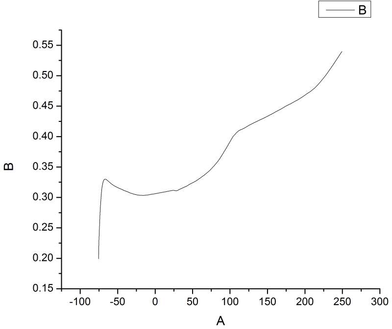
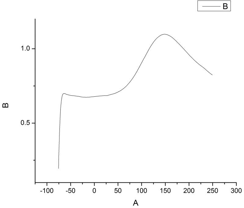
求分析DSC曲线 已有1人参与
|
|
|
|
2006012217金虫 (著名写手)
|
|
|
2楼2014-11-13 19:53:19
|
|
|
3楼2014-11-13 23:18:00
|
|
2006012217金虫 (著名写手)
|
|
|
4楼2014-11-14 12:25:04
|
|













回复此楼
10