| ²é¿´: 1272 | »Ø¸´: 4 | |
ÓôѪ·çËªÒø³æ (СÓÐÃûÆø)
|
[ÇóÖú]
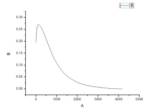
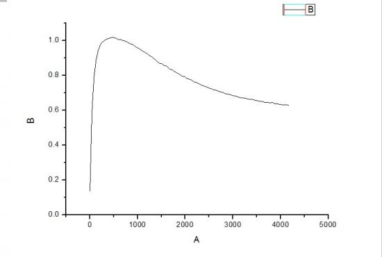
ÇóÖú£¬ÕâÕŵÈÎÂDSCÇúÏßºÜÆæ¹Ö~~
|
|
|
|
ÓôѪ·çËªÒø³æ (СÓÐÃûÆø)
|
|
|
2Â¥2012-08-30 14:51:29
|
|
hywanwanľ³æ (ÕýʽдÊÖ)
|
|
|
3Â¥2012-08-30 15:23:32
|
|
lhd285926ľ³æ (ÖøÃûдÊÖ)
|
|
|
4Â¥2012-08-30 15:53:43
|
|
lhd285926ľ³æ (ÖøÃûдÊÖ)
|
|
|
5Â¥2012-08-30 15:54:01
|
|














»Ø¸´´ËÂ¥
10