| ²é¿´: 1536 | »Ø¸´: 3 | ||||
fanfeiľ³æ (ÕýʽдÊÖ)
|
[½»Á÷]
¡¾ÇóÖú¡¿DSCµÈνᾧµÄÒì³£ ÒÑÓÐ3È˲ÎÓë
|
|
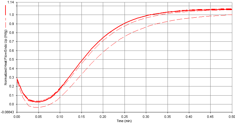
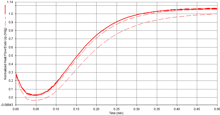
¸ù¾Ý½µÎÂÇúÏß 10¡æ/min£¬Ñ¡Ôñ¹Õµã¸½½ü5¸öζÈ×÷ΪµÈνᾧζȣ¨30/33/35/37/39£©£¬ÔÚµÈνᾧÇúÏßÉ϶¼Î´³öÏÖÍêÕûµÄµÈνᾧÇúÏߣ¬Ê²Ã´ÔÒòÄØ£¿ |
» ÊÕ¼±¾ÌûµÄÌÔÌûר¼ÍƼö
ÈÈ·ÖÎö |
» ²ÂÄãϲ»¶
¿¼Ñе÷¼Á-²ÄÁÏÀà-284
ÒѾÓÐ14È˻ظ´
327Çóµ÷¼Á
ÒѾÓÐ11È˻ظ´
08¹¤¿ÆÇóµ÷¼Á290·Ö
ÒѾÓÐ11È˻ظ´
Ò»Ö¾Ô¸985³õÊÔ354·ÖÉúÎïµ÷¼Á
ÒѾÓÐ3È˻ظ´
Ò»Ö¾Ô¸2110£¬»¯Ñ§Ñ§Ë¶310·Ö£¬±¾¿ÆÖصãË«·ÇÇóµ÷¼Á
ÒѾÓÐ13È˻ظ´
353Çóµ÷¼Á
ÒѾÓÐ8È˻ظ´
308Çóµ÷¼Á
ÒѾÓÐ16È˻ظ´
334Çóµ÷¼Á
ÒѾÓÐ14È˻ظ´
Ò»Ö¾Ô¸0807 ÊýÒ»Ó¢Ò» 313 ÓÐûÓжþÂÖµ÷¼Á
ÒѾÓÐ7È˻ظ´
¸´ÊÔµ÷¼Á£¬Ò»Ö¾Ô¸Ö£ÖÝ´óѧ²ÄÁÏÓ뻯¹¤289·Ö
ÒѾÓÐ14È˻ظ´
» ±¾Ö÷ÌâÏà¹Ø¼ÛÖµÌùÍÆ¼ö£¬¶ÔÄúͬÑùÓаïÖú:
¾ÛºÏÎïµÈνᾧÓë·ÇµÈνᾧµÄÇø±ð
ÒѾÓÐ9È˻ظ´
PLAµÈνᾧÇúÏß´¦ÀíÇóÖú
ÒѾÓÐ33È˻ظ´
ÇóÖú·ÇµÈνᾧÊý¾Ý´¦Àí
ÒѾÓÐ2È˻ظ´
¡¾ÇóÖú¡¿¾ÛÈéËáµÈνᾧÎÊÌ⣬µÈνᾧζÈÉý¸ß£¬½á¾§Ê±¼äËõ¶Ì
ÒѾÓÐ6È˻ظ´
¡¾ÇóÖú¡¿¾ÛÈéËáµÈνᾧµÄ¼ÓËÙÏÖÏó
ÒѾÓÐ5È˻ظ´
¡¾ÇóÖú¡¿¾ÛÈéËáµÈÎÂÀä½á¾§n£¨AvramiÖ¸Êý£©ÓпÉÄÜÊÇ3Âð£¿
ÒѾÓÐ7È˻ظ´
¡¾ÇóÖú¡¿DSC²âPPµÈνᾧÇúÏß
ÒѾÓÐ9È˻ظ´
¡¾ÌÖÂÛ¡¿µÈνᾧµÄ×ö·¨
ÒѾÓÐ4È˻ظ´
¡¾ÇóÖú¡¿Çë½Ì¾ÛºÏÎïDSC·ÇµÈνᾧ±íÕ÷
ÒѾÓÐ11È˻ظ´
touchhappy
½ð³æ (ÖøÃûдÊÖ)
- PEPI: 30
- Ó¦Öú: 49 (СѧÉú)
- ½ð±Ò: 1367.9
- É¢½ð: 605
- ºì»¨: 95
- Ìû×Ó: 1650
- ÔÚÏß: 520.5Сʱ
- ³æºÅ: 924145
- ×¢²á: 2009-12-09
- ÐÔ±ð: MM
- רҵ: ¸ß·Ö×ÓÎïÀíÓë¸ß·Ö×ÓÎïÀí»¯
¡ï
Сľ³æ(½ð±Ò+0.5):¸ø¸öºì°ü£¬Ð»Ð»»ØÌû½»Á÷
Сľ³æ(½ð±Ò+0.5):¸ø¸öºì°ü£¬Ð»Ð»»ØÌû½»Á÷
|
ʲô¶«¶«µÄ½á¾§£¿¿ÉÄܳõ´Î½á¾§²»ÍêÈ«£¬ÔÚºóÐø¹ý³ÌÖв»¶ÏÖØ½á¾§£¬¼´¾§Æ¬ºñ¶È²»¶Ïµ÷ÕûµÄ¶à´Î½á¾§ Ҫô¾ÍÊÇ»ùÏßûɨƽ£¬»òÕß¹ý³ÌÖдæÔÚÆäËûµÄÈÈЧӦ |

2Â¥2011-03-10 09:07:25
fanfei
ľ³æ (ÕýʽдÊÖ)
- Ó¦Öú: 2 (Ó×¶ùÔ°)
- ½ð±Ò: 2718.9
- É¢½ð: 261
- ºì»¨: 11
- Ìû×Ó: 769
- ÔÚÏß: 191Сʱ
- ³æºÅ: 832885
- ×¢²á: 2009-08-23
- ÐÔ±ð: GG
- רҵ: ¸ß·Ö×ÓÎïÀíÓë¸ß·Ö×ÓÎïÀí»¯
3Â¥2011-03-10 09:50:10
ygslfr
Ìú³æ (СÓÐÃûÆø)
- Ó¦Öú: 0 (Ó×¶ùÔ°)
- ½ð±Ò: 505.7
- Ìû×Ó: 61
- ÔÚÏß: 10.8Сʱ
- ³æºÅ: 554742
- ×¢²á: 2008-05-08
- רҵ: ¸ß·Ö×Ó²ÄÁϽṹÓëÐÔÄÜ
¡ï
Сľ³æ(½ð±Ò+0.5):¸ø¸öºì°ü£¬Ð»Ð»»ØÌû½»Á÷
Сľ³æ(½ð±Ò+0.5):¸ø¸öºì°ü£¬Ð»Ð»»ØÌû½»Á÷
|
µÈνᾧ¾ÍÊDz»Ì«ºÃ×ö£¬Ò»°ã¶¼µÃ²»µ½ÍêÕûµÄ½á¾§·å¡£ÒòΪ¿ìËÙ½µµ½É趨µÄζÈÔÙµÈÎÂʱ£¬DSCÐźÅÐèÒªÓÐÒ»¸öÖØÐÂÆ½ºâµÄʱ¼ä£¬Ò²¾ÍÊÇ»ùÏß»¹Ã»ÓÐ×߯½£¬½á¾§¾Í¿ªÊ¼ÁË£¬ËùÒÔÒ»°ã²»»áµÃµ½ÍêÕûµÄ½á¾§·å£¬³ý·ÇÔÚÉ趨µÄµÈνᾧζÈÏÂÐèÒª¹ýÒ»¶Îʱ¼ä²Å½á¾§£¬ÕâÑù»ùÏß¾ÍÓпÉÄÜÏÈ×߯½ÁË£¬ÔٽᾧµÄ»°¾Í»áµÄµ½ÍêÕûµÄ½á¾§·åÁË¡£ ÄãµÃµ½µÄʵÑé½á¹ûÒª¼ÆËã·åÃæ»ý£¬Ö»ÄÜ´ÓÓұߵĻùÏß×öˮƽÏßµ½0min£¬ÕâÑù¼ÆËã·åÃæ»ý£¬Îó²î»áСµã£¬²»ÄÜÀбÏßÇó·åÃæ»ý£¬ÄÇÑùÃæ»ý¾ÍС¶àÁË¡£ |
4Â¥2011-03-10 10:48:35













»Ø¸´´ËÂ¥