| ²é¿´: 5643 | »Ø¸´: 33 | ||||
| ±¾Ìû²úÉú 1 ¸ö PEPI £¬µã»÷ÕâÀï½øÐв鿴 | ||||
kezhijianÌú¸Ëľ³æ (ÕýʽдÊÖ)
|
[ÇóÖú]
PLAµÈνᾧÇúÏß´¦ÀíÇóÖú
|
|||
Polylactide (PLA) | ¸ß·Ö×Ó²ÄÁÏ | ÈÈ·ÖÎö |
» ²ÂÄãϲ»¶
081700£¬311£¬Çóµ÷¼Á
ÒѾÓÐ15È˻ظ´
Ò»Ö¾Ô¸±±¾©»¯¹¤085600 310·ÖÇóµ÷¼Á
ÒѾÓÐ18È˻ظ´
085600²ÄÁÏÓ뻯¹¤301·ÖÇóµ÷¼ÁԺУ
ÒѾÓÐ4È˻ظ´
²ÄÁÏÓ뻯¹¤371Çóµ÷¼Á
ÒѾÓÐ14È˻ظ´
336²ÄÁÏÓ뻯¹¤085600Çóµ÷¼Á
ÒѾÓÐ7È˻ظ´
²ÄÁÏ334Çóµ÷¼Á
ÒѾÓÐ18È˻ظ´
331Çóµ÷¼Á
ÒѾÓÐ8È˻ظ´
332Çóµ÷¼Á
ÒѾÓÐ17È˻ظ´
Ò»Ö¾Ô¸ÄϾ©º½¿Õº½Ìì´óѧ ²ÄÁÏÓ뻯¹¤329·ÖÇóµ÷¼Á
ÒѾÓÐ4È˻ظ´
²ÄÁÏר˶322
ÒѾÓÐ7È˻ظ´
» ±¾Ö÷ÌâÏà¹Ø¼ÛÖµÌùÍÆ¼ö£¬¶ÔÄúͬÑùÓаïÖú:
¡¾ÇóÖú¡¿DSCµÈνᾧµÄÒì³£
ÒѾÓÐ3È˻ظ´
¡¾ÇóÖú¡¿°ïÎÒ¿´ÏµÈÎÂÎü¸½ÍѸ½ÇúÏß
ÒѾÓÐ20È˻ظ´
¡¾ÇóÖú¡¿¾ÛÈéËáµÈνᾧÎÊÌ⣬µÈνᾧζÈÉý¸ß£¬½á¾§Ê±¼äËõ¶Ì
ÒѾÓÐ6È˻ظ´
¡¾ÇóÖú¡¿Îü¸½µÈÎÂÏßÊÇÇúÏßÊÇÔõô»ØÊ°¡£¿
ÒѾÓÐ21È˻ظ´
¡¾ÇóÖú¡¿¾ÛÈéËáµÈνᾧµÄ¼ÓËÙÏÖÏó
ÒѾÓÐ5È˻ظ´
¡¾ÇóÖú¡¿DSC²âPPµÈνᾧÇúÏß
ÒѾÓÐ9È˻ظ´
¡¾ÇóÖú¡¿Çë½Ì¾ÛºÏÎïDSC·ÇµÈνᾧ±íÕ÷
ÒѾÓÐ11È˻ظ´

vmuch520
ÖÁ×ðľ³æ (ÎÄ̳¾«Ó¢)
- PEPI: 8
- Ó¦Öú: 565 (²©Ê¿)
- ¹ó±ö: 0.161
- ½ð±Ò: 23300.3
- É¢½ð: 4752
- ºì»¨: 135
- Ìû×Ó: 16280
- ÔÚÏß: 6098.6Сʱ
- ³æºÅ: 341865
- ×¢²á: 2007-04-08
- רҵ: ÉúÎï²ÄÁÏ
|
Óоͺܼòµ¥. 1)ǰ´¦Àí: °Ñºá×ø±ê¸Ä³Éʱ¼ä£¨ÓÒ¼ü->X Axis ->time£©£¬·Å´ó¾ÍÖªµÀÄãµÈεÄʱ¼äÔÚÄĸö¶Î²¢ÔÙÑ¡³öÄǶÎʱ¼ä(graph->data limits->time:ÄãÕâÀï´ó¸ÅÊÇ17-73min,Ñ¡ÉÏ"reset time to zero" ±ð³õʼÉèΪÁã,ÔÙÆ½»¬(tool->smooth:ÊäÈë5-10±È½ÏºÃ,¾ÍÊäÈë6°É,µãok);ÕâʱÁ½±ß¶¥¶Ë²»ÔÚÒ»ÌõˮƽÏßÉÏ,µãtool->rotateÀ¶¯ÓұߵÄÊ®×Öʹ֮Óë×ó±ßÊ®×Öͬ¸ß,ÔÙ°´enter.2)¿ªÊ¼»ý·Ö:²Ëµ¥À¸µãanalyze->running integral,µãenter³öÀ´Ò»¸ö¿ò,µÚÒ»ÏîÑ¡ÖÐarea percent¾ÍºÃÁË,ok.Õâʱ¾Í³öÀ´ÄǸö»ý·ÖµãÇúÏßÁË. 3)µ¼³öÊý¾Ý: ĬÈϵÄÊý¾ÝµãºÜÃܼ¯,ÈçÄãËùճͼƬµÄÊý¾Ýµã,Ò»°ã±È½ÏÏ¡ÊèµÄ,(µÈνᾧÇúÏß×ö³öµÄͼûÓв»ÊÇÄÇÑùµÄ,¾ÍÊÇÄãËùνµÄ"ºÃ¿´",ºÜÕý³£)ËùÒÔÊä³öʱ¼ä¸ô´óµã.²Ëµ¥À¸view->data table->spreadsheet³öÀ´Ò»¸ö¿òstop¸ÄΪ60,increment¸ÄΪ1(°´Äã×Ô¼ºµÄ¸Ð¾õÀ´,1ÆäʵÉÔ΢Óеã´óÁË)Õâʱ¾Í³öÀ´Ò»¸öexcel±í. 4)¼ÆËã: ¼ÆËãlogtÒÔ¼°log{-ln(1-Xt)}µÄÖµ(ÕÒ±¾¸ßÎïµÄÊé¿´ÏÂavrami·½³ÌµÄ¹ØÓڽᾧ¶¯Á¦Ñ§µÄÄÚÈÝ),Õâ¸öÔÚTAÕâ¸öÈí¼þÀïÓÐûÓÐÎÒûŪ¹ý,ÎÒÒÔǰҲ×ö½á¾§µÄÕâÖÖͼÎÒÒ²´ÓÀ´Ã»×ö¹ýµÄ,Ö»ÊÇ֮ǰ±È½ÏºÃÆæÊÔ×ÅÃþË÷ÁËÏÂ. ²»¹ýÕâ¼ÆËãÔÚexcel±È½ÏºÃŪ,ÊäÈ빫ʽһÀ¾ÍÈ«ÓÐÁË. Ê£ÏÂÄãÓ¦¸Ã¶¼ÖªµÀÁË,¾ÍÊÇ¿½µ½origin×÷ͼ.....ÀÛËÀÁË,´òÕâô¶à×Ö.... |
» ±¾ÌûÒÑ»ñµÃµÄºì»¨£¨×îÐÂ10¶ä£©
8Â¥2011-10-20 09:05:45
vmuch520
ÖÁ×ðľ³æ (ÎÄ̳¾«Ó¢)
- PEPI: 8
- Ó¦Öú: 565 (²©Ê¿)
- ¹ó±ö: 0.161
- ½ð±Ò: 23300.3
- É¢½ð: 4752
- ºì»¨: 135
- Ìû×Ó: 16280
- ÔÚÏß: 6098.6Сʱ
- ³æºÅ: 341865
- ×¢²á: 2007-04-08
- רҵ: ÉúÎï²ÄÁÏ
|
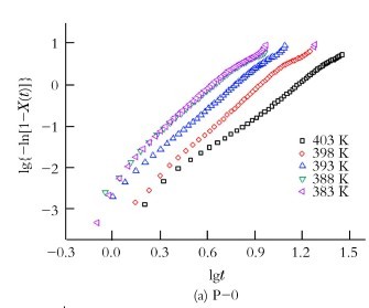
ƽ»¬²»ÊDZØÐëµÄ£¬Èç¹ûÇúÏß²»¹â»¬£¨ÓÐÔëÒô£¬ÓеÄÑùÆ·µÈÎÂʱ¼ä¡¢½á¾§Ê±¼äºÜ³¤£¬»áÓÐÔëÒô³öÏÖ£©¿Éƽ»¬£¬Æ½»¬µÄǰÌáÊDz»Ê§Õ棨·ñÔò¾ÍÓÐÔì¼ÙÖ®ÏÓÁË£©£¬Ò²¾ÍÊÇÆ½»¬µÄµãÒªºÏÊÊ£¬ÎÒ˵µÄ6ÊÇÏà¶ÔÓÚËûµÄ³¤Ê±¼ä¶øÑÔ¡£ÏñÄãµÄÊý¾Ý¾Íû±ØÒªÆ½»¬ÁË£¬´Óͼ1¿´µ½£¬µÈνᾧʱ¼ä²Å5min×óÓÒ£¬ºóÃæ¶¼×߯½ÁË¡£×ܹ²²Å5min£¬Äã¾ÍÑ¡6ÁË£¬µ±È»ÇúÏ߾ͱäÁË£¨Èç¹ûÄãÊäÈë100£¬¼´±ã²»ÊÇ100£¬ÊäÈë10£¬ÇúÏß¿ÉÄܾͱäÖ±ÏßÁË£©¡£¼´Ê¹ÒªÆ½»¬£¬Ò²Òª´Ó×îС¿ªÊ¼ÊÔ£¬±ÈÈç0.5£¬ÔÙ1. ´Óͼ1¿´£¬ÄãµÄÑùÆ·½á¾§Ê±¼äͦ¿ìµÄ¡£×ó±ßµÄ¿ªÊ¼Ïߺܿ¿Ï¡£ |
» ±¾ÌûÒÑ»ñµÃµÄºì»¨£¨×îÐÂ10¶ä£©
16Â¥2013-08-24 10:45:33
vmuch520
ÖÁ×ðľ³æ (ÎÄ̳¾«Ó¢)
- PEPI: 8
- Ó¦Öú: 565 (²©Ê¿)
- ¹ó±ö: 0.161
- ½ð±Ò: 23300.3
- É¢½ð: 4752
- ºì»¨: 135
- Ìû×Ó: 16280
- ÔÚÏß: 6098.6Сʱ
- ³æºÅ: 341865
- ×¢²á: 2007-04-08
- רҵ: ÉúÎï²ÄÁÏ
¡¾´ð°¸¡¿Ó¦Öú»ØÌû
¡ï ¡ï ¡ï ¡ï ¡ï
wgs8136(½ð±Ò+5): »¶Ó³£À´½»Á÷ 2011-10-19 18:24:51
wgs8136(PEPI+1): »ý¼«»ØÌû£¬½±Àø~ÔÙ½ÓÔÙÀ÷~ 2011-10-19 18:25:18
kezhijian(½ð±Ò+10): Íò·Ö¸Ðл°¡£¡£¡£¡£¡£¡ 2011-10-20 09:37:39
wgs8136(½ð±Ò+5): »¶Ó³£À´½»Á÷ 2011-10-19 18:24:51
wgs8136(PEPI+1): »ý¼«»ØÌû£¬½±Àø~ÔÙ½ÓÔÙÀ÷~ 2011-10-19 18:25:18
kezhijian(½ð±Ò+10): Íò·Ö¸Ðл°¡£¡£¡£¡£¡£¡ 2011-10-20 09:37:39
6Â¥2011-10-19 17:27:37
vmuch520
ÖÁ×ðľ³æ (ÎÄ̳¾«Ó¢)
- PEPI: 8
- Ó¦Öú: 565 (²©Ê¿)
- ¹ó±ö: 0.161
- ½ð±Ò: 23300.3
- É¢½ð: 4752
- ºì»¨: 135
- Ìû×Ó: 16280
- ÔÚÏß: 6098.6Сʱ
- ³æºÅ: 341865
- ×¢²á: 2007-04-08
- רҵ: ÉúÎï²ÄÁÏ
2Â¥2011-10-19 16:38:22
vmuch520
ÖÁ×ðľ³æ (ÎÄ̳¾«Ó¢)
- PEPI: 8
- Ó¦Öú: 565 (²©Ê¿)
- ¹ó±ö: 0.161
- ½ð±Ò: 23300.3
- É¢½ð: 4752
- ºì»¨: 135
- Ìû×Ó: 16280
- ÔÚÏß: 6098.6Сʱ
- ³æºÅ: 341865
- ×¢²á: 2007-04-08
- רҵ: ÉúÎï²ÄÁÏ
3Â¥2011-10-19 16:41:46
vmuch520
ÖÁ×ðľ³æ (ÎÄ̳¾«Ó¢)
- PEPI: 8
- Ó¦Öú: 565 (²©Ê¿)
- ¹ó±ö: 0.161
- ½ð±Ò: 23300.3
- É¢½ð: 4752
- ºì»¨: 135
- Ìû×Ó: 16280
- ÔÚÏß: 6098.6Сʱ
- ³æºÅ: 341865
- ×¢²á: 2007-04-08
- רҵ: ÉúÎï²ÄÁÏ
4Â¥2011-10-19 16:46:35
vmuch520
ÖÁ×ðľ³æ (ÎÄ̳¾«Ó¢)
- PEPI: 8
- Ó¦Öú: 565 (²©Ê¿)
- ¹ó±ö: 0.161
- ½ð±Ò: 23300.3
- É¢½ð: 4752
- ºì»¨: 135
- Ìû×Ó: 16280
- ÔÚÏß: 6098.6Сʱ
- ³æºÅ: 341865
- ×¢²á: 2007-04-08
- רҵ: ÉúÎï²ÄÁÏ
5Â¥2011-10-19 17:26:52
kezhijian
Ìú¸Ëľ³æ (ÕýʽдÊÖ)
- Ó¦Öú: 1 (Ó×¶ùÔ°)
- ½ð±Ò: 5903.9
- É¢½ð: 14
- Ìû×Ó: 330
- ÔÚÏß: 92.6Сʱ
- ³æºÅ: 1007175
- ×¢²á: 2010-04-27
- ÐÔ±ð: GG
- רҵ: ¸ß·Ö×Ӻϳɻ¯Ñ§

7Â¥2011-10-20 08:46:57
vmuch520
ÖÁ×ðľ³æ (ÎÄ̳¾«Ó¢)
- PEPI: 8
- Ó¦Öú: 565 (²©Ê¿)
- ¹ó±ö: 0.161
- ½ð±Ò: 23300.3
- É¢½ð: 4752
- ºì»¨: 135
- Ìû×Ó: 16280
- ÔÚÏß: 6098.6Сʱ
- ³æºÅ: 341865
- ×¢²á: 2007-04-08
- רҵ: ÉúÎï²ÄÁÏ
9Â¥2011-10-20 09:07:15
vmuch520
ÖÁ×ðľ³æ (ÎÄ̳¾«Ó¢)
- PEPI: 8
- Ó¦Öú: 565 (²©Ê¿)
- ¹ó±ö: 0.161
- ½ð±Ò: 23300.3
- É¢½ð: 4752
- ºì»¨: 135
- Ìû×Ó: 16280
- ÔÚÏß: 6098.6Сʱ
- ³æºÅ: 341865
- ×¢²á: 2007-04-08
- רҵ: ÉúÎï²ÄÁÏ
10Â¥2011-10-20 09:11:14














»Ø¸´´ËÂ¥
±ð³õʼÉèΪÁã,ÔÙÆ½»¬(tool->smooth:ÊäÈë5-10±È½ÏºÃ,¾ÍÊäÈë6°É,µãok);ÕâʱÁ½±ß¶¥¶Ë²»ÔÚÒ»ÌõˮƽÏßÉÏ,µãtool->rotateÀ¶¯ÓұߵÄÊ®×Öʹ֮Óë×ó±ßÊ®×Öͬ¸ß,ÔÙ°´enter.
scu_chun