| 查看: 3614 | 回复: 9 | ||
shiqudeguoke木虫 (小有名气)
|
[求助]
TG与DSC曲线分析 已有2人参与
|
|
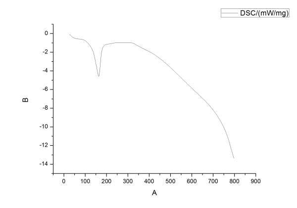
以下是我合成的FeF3.3H2O/C的TG-DSC曲线图,请各位大牛帮忙分析下?鄙人拙见,样品在100-300度范围吸热失去结晶水,300度以后开始发生还原反应,即样品中的碳将三价的铁还原成二价的铁 1.jpg 2.jpg |
» 猜你喜欢
请问对标matlab的开源软件octave的网站https://octave.org为什么打不开?
已经有1人回复
求助两种BiOBr晶体的CIF文件(卡片号为JCPDS 09-0393与JCPDS 01-1004 )
已经有0人回复
金属材料论文润色/翻译怎么收费?
已经有79人回复
哈尔滨工程大学材化学院国家级青年人才-26年硕士招生
已经有0人回复
求助Fe-TCPP、Zn-TCPP的CIF文件,或者CCDC号
已经有0人回复
河北大学-招收26年秋季入化学博士1名
已经有0人回复
XPS/?λXPS
已经有0人回复
河北大学-招收化学博士1名
已经有0人回复
» 本主题相关价值贴推荐,对您同样有帮助:
热重分析DTG,TG怎么确定特征温度
已经有8人回复
熔融石英的Tg-DSC分析
已经有5人回复
如何分析DTA和TG还有DTG?
已经有11人回复
怎么画DTG曲线?也就是DSC和TG的比值曲线?
已经有10人回复
请教:由DSC曲线怎么求聚合物的Tg呢?
已经有3人回复
根据TG-DTG-DSC曲线能看出开始结晶的温度吗?
已经有8人回复
求助TG-DSC图的分析,DSC图上峰和谷的界定
已经有16人回复
M-T,M-H曲线的分析
已经有6人回复
TG&DSC曲线分析。
已经有26人回复
聚丙烯的DSC曲线
已经有5人回复
固化DSC图上有类似TG的变化曲线
已经有5人回复
TG-DSC图谱分析
已经有7人回复
求助TG曲线的分析
已经有6人回复
分析DSC-TG曲线
已经有6人回复
从DSC曲线分析能得到什么信息?请大侠指导
已经有3人回复
【求助】DSC曲线分析
已经有19人回复
【请教】TG曲线出现负值是什么原因?
已经有15人回复
【求助】环氧树脂E51固化物的DSC曲线 为什么两个Tg
已经有30人回复

星星虾
木虫 (著名写手)
- 应助: 187 (高中生)
- 金币: 6431.4
- 散金: 40
- 红花: 21
- 帖子: 2992
- 在线: 1411.8小时
- 虫号: 1782141
- 注册: 2012-04-27
- 专业: 宇宙学
2楼2013-12-27 21:21:26
shiqudeguoke
木虫 (小有名气)
- 应助: 0 (幼儿园)
- 金币: 3277.3
- 红花: 1
- 帖子: 117
- 在线: 265.7小时
- 虫号: 1529860
- 注册: 2011-12-08
- 性别: GG
- 专业: 电化学

3楼2013-12-27 22:16:22
星星虾
木虫 (著名写手)
- 应助: 187 (高中生)
- 金币: 6431.4
- 散金: 40
- 红花: 21
- 帖子: 2992
- 在线: 1411.8小时
- 虫号: 1782141
- 注册: 2012-04-27
- 专业: 宇宙学
4楼2013-12-28 08:22:48
shiqudeguoke
木虫 (小有名气)
- 应助: 0 (幼儿园)
- 金币: 3277.3
- 红花: 1
- 帖子: 117
- 在线: 265.7小时
- 虫号: 1529860
- 注册: 2011-12-08
- 性别: GG
- 专业: 电化学

5楼2013-12-28 11:47:35
星星虾
木虫 (著名写手)
- 应助: 187 (高中生)
- 金币: 6431.4
- 散金: 40
- 红花: 21
- 帖子: 2992
- 在线: 1411.8小时
- 虫号: 1782141
- 注册: 2012-04-27
- 专业: 宇宙学
6楼2013-12-28 16:23:53
星星虾
木虫 (著名写手)
- 应助: 187 (高中生)
- 金币: 6431.4
- 散金: 40
- 红花: 21
- 帖子: 2992
- 在线: 1411.8小时
- 虫号: 1782141
- 注册: 2012-04-27
- 专业: 宇宙学
7楼2013-12-28 16:25:41
peterflyer
木虫之王 (文学泰斗)
peterflyer
- 应助: 20282 (院士)
- 金币: 146009
- 红花: 1374
- 帖子: 93091
- 在线: 7694.3小时
- 虫号: 1482829
- 注册: 2011-11-08
- 性别: GG
- 专业: 功能陶瓷
8楼2013-12-29 08:28:05
peterflyer
木虫之王 (文学泰斗)
peterflyer
- 应助: 20282 (院士)
- 金币: 146009
- 红花: 1374
- 帖子: 93091
- 在线: 7694.3小时
- 虫号: 1482829
- 注册: 2011-11-08
- 性别: GG
- 专业: 功能陶瓷
9楼2013-12-29 08:31:08
shiqudeguoke
木虫 (小有名气)
- 应助: 0 (幼儿园)
- 金币: 3277.3
- 红花: 1
- 帖子: 117
- 在线: 265.7小时
- 虫号: 1529860
- 注册: 2011-12-08
- 性别: GG
- 专业: 电化学

10楼2013-12-30 10:39:44













回复此楼