| ²é¿´: 578 | »Ø¸´: 2 | |||
| ±¾Ìû²úÉú 1 ¸ö ÊýѧEPI £¬µã»÷ÕâÀï½øÐв鿴 | |||
Ê鳿1979ľ³æ (ÕýʽдÊÖ)
³¬ÐÂÐÇ
|
[ÇóÖú]
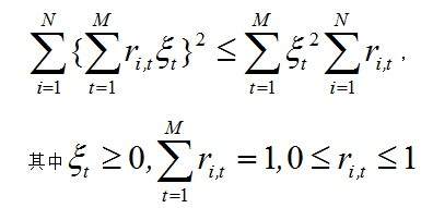
ÇóÖú£ºÕâ¸ö²»µÈʽÈçºÎÖ¤Ã÷£¿ ÒÑÓÐ2È˲ÎÓë
|
||
![]() |
|||
|
|
|||
| »ØÌûÖö¥ ( ¹²ÓÐ1¸ö ) | |||
zaq123321ר¼Ò¹ËÎÊ (ÖøÃûдÊÖ)
|
¡¾´ð°¸¡¿Ó¦Öú»ØÌû
¡ï ¡ï ¡ï ¡ï ¡ï ¡ï ¡ï ¡ï ¡ï ¡ï ¡ï ¡ï ¡ï ¡ï ¡ï ¡ï ¡ï ¡ï ¡ï ¡ï ¡ï ¡ï ¡ï ¡ï ¡ï
¸Ðл²ÎÓ룬ӦÖúÖ¸Êý +1 Ê鳿1979: ½ð±Ò+20, ¡ï¡ï¡ïºÜÓаïÖú 2014-11-05 09:10:12 Ê鳿1979: ½ð±Ò+5 2014-11-05 09:15:26 feixiaolin: ÊýѧEPI+1, ½±ÀøÓ¦Öú 2014-11-15 22:00:07 |
||
![]() |
|||
|
2Â¥2014-11-05 01:15:35
|
|
||
| ÆÕͨ»ØÌû | |||
ÖÕ̫֮µ¶¡ªÏþÌú¸Ëľ³æ (ÖøÃûдÊÖ)
Êýѧ°®ºÃÕß
|
¡¾´ð°¸¡¿Ó¦Öú»ØÌû
¡ï ¡ï ¡ï ¡ï ¡ï ¡ï ¡ï ¡ï ¡ï ¡ï ¡ï ¡ï ¡ï ¡ï ¡ï ¡ï ¡ï ¡ï ¡ï ¡ï ¡ï ¡ï ¡ï ¡ï ¡ï
¸Ðл²ÎÓ룬ӦÖúÖ¸Êý +1 Ê鳿1979: ½ð±Ò+25, ¡ï¡ï¡ï¡ï¡ï×î¼Ñ´ð°¸ 2014-11-05 09:09:50 |
||
![]() |
|||
|
3Â¥2014-11-05 01:17:58
|
|
||














»Ø¸´´ËÂ¥

10