版块导航
正在加载中...
客户端APP下载
论文辅导
申博辅导
登录
注册
帖子
帖子
用户
本版
应《网络安全法》要求,自2017年10月1日起,未进行实名认证将不得使用互联网跟帖服务。为保障您的帐号能够正常使用,请尽快对帐号进行手机号验证,感谢您的理解与支持!
24小时热门版块排行榜
>
论坛更新日志
(3223)
>
文献求助
(240)
>
导师招生
(192)
>
虫友互识
(177)
>
休闲灌水
(88)
>
硕博家园
(73)
>
考研
(71)
>
论文道贺祈福
(54)
>
考博
(47)
>
论文投稿
(45)
>
博后之家
(42)
>
公派出国
(41)
>
招聘信息布告栏
(33)
>
教师之家
(31)
>
基金申请
(28)
>
外文书籍求助
(26)
小木虫论坛-学术科研互动平台
»
专业学科区
»
数学
»
基础数学
»
一个简单的积分
4
1/1
返回列表
查看: 374 | 回复: 3
只看楼主
@他人
存档
新回复提醒
(忽略)
收藏
在APP中查看
zwclyq
铜虫
(正式写手)
应助: 3
(幼儿园)
金币: 441.2
红花: 2
帖子: 314
在线: 155.2小时
虫号: 1803621
注册: 2012-05-08
专业: 通信理论与系统
[
求助
]
一个简单的积分
已有2人参与
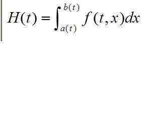
各位大侠,请教一个简单的积分问题。如图,求解dH(t)/dt该如何求?我记得有一个公式的,忘记了。感谢各路高手指点。
积分.JPG
回复此楼
» 猜你喜欢
天津大学招2026.09的博士生,欢迎大家推荐交流(博导是本人)
已经有3人回复
有时候真觉得大城市人没有县城人甚至个体户幸福
已经有6人回复
面上项目申报
已经有3人回复
酰胺脱乙酰基
已经有9人回复
CSC & MSCA 博洛尼亚大学能源材料课题组博士/博士后招生|MSCA经费充足、排名优
已经有5人回复
博士延得我,科研能力直往上蹿
已经有7人回复
退学或坚持读
已经有27人回复
面上基金申报没有其他的参与者成吗
已经有5人回复
遇见不省心的家人很难过
已经有22人回复
» 本主题相关价值贴推荐,对您同样有帮助:
跪求大神解答一个原函数问题!!
已经有6人回复
请教大神们一个问题————一位即将毕业的小硕
已经有6人回复
利用对数求导时的一个问题
已经有27人回复
问一个简单的关于胶束的概念性的问题。
已经有21人回复
求一个拓扑符号
已经有4人回复
这样一个简单的光学系统能否实现
已经有30人回复
一个函数与高斯函数的乘积的积分问题
已经有8人回复
跪求!一个简单而困惑的仿真计算时间与网格细分问题!!附图片的清晰询问
已经有4人回复
请教个最简单的BP神经网络matlab仿真
已经有9人回复
一个简单实验的设计
已经有9人回复
算一个双重积分(By hand)
已经有8人回复
matlab 积分求助
已经有8人回复
求一个mathmetica的程序
已经有10人回复
一个简单的式子,却算不正确
已经有10人回复
【求助】各位好,请我看一个简单化合物的HNMR谱图。
已经有20人回复
【求助】一个matlab窗口占25%CPU,如何提高?
已经有11人回复
【求助】积分微分方程matlab求解
已经有6人回复
【原创】一个简单的kNN分类算法 (k-Nearest Neighbor algorithm) 的C++实现(附源码)
已经有9人回复
【求助】帮忙看一个程序
已经有16人回复
【求助】求积分程序中被积函数问题
已经有15人回复
【求助】请教高手关于核磁谱中积分的一个问题
已经有10人回复
脚踏实地步步为营
1楼
2014-10-29 17:58:12
已阅
回复此楼
关注TA
给TA发消息
送TA红花
TA的回帖
终之太刀—晓
铁杆木虫
(著名写手)
数学爱好者
数学EPI: 7
应助: 282
(大学生)
贵宾: 0.018
金币: 2934.2
散金: 5589
红花: 53
帖子: 1809
在线: 401.6小时
虫号: 3469007
注册: 2014-10-12
性别:
MM
专业: 偏微分方程
【答案】应助回帖
感谢参与,应助指数 +1
见图示
截图20141030011556.png
截图20141030011556.png
赞
一下
回复此楼
PreferenceforMathematics
2楼
2014-10-30 01:20:01
已阅
回复此楼
关注TA
给TA发消息
送TA红花
TA的回帖
zaq123321
专家顾问
(著名写手)
专家经验: +342
数学EPI: 6
应助: 298
(大学生)
贵宾: 0.247
金币: 11336.3
红花: 29
帖子: 1221
在线: 538.8小时
虫号: 405284
注册: 2007-06-17
性别:
MM
专业: 生物大分子结构与功能
管辖:
数学
【答案】应助回帖
感谢参与,应助指数 +1
The first term should be f_t(t,b)- f_t(t,a).
[ 发自手机版 http://muchong.com/3g ]
赞
一下
回复此楼
小木虫给我温暖,给我希望,爱就要爱小木虫。
3楼
2014-10-30 03:04:24
已阅
回复此楼
关注TA
给TA发消息
送TA红花
TA的回帖
终之太刀—晓
铁杆木虫
(著名写手)
数学爱好者
数学EPI: 7
应助: 282
(大学生)
贵宾: 0.018
金币: 2934.2
散金: 5589
红花: 53
帖子: 1809
在线: 401.6小时
虫号: 3469007
注册: 2014-10-12
性别:
MM
专业: 偏微分方程
感谢楼上的纠正
回复此楼
PreferenceforMathematics
4楼
2014-10-30 13:32:29
已阅
回复此楼
关注TA
给TA发消息
送TA红花
TA的回帖
相关版块跳转
数理科学综合
机械
物理
数学
农林
食品
地学
能源
信息科学
土木建筑
航空航天
转基因
我要订阅楼主
连续相位调制
的主题更新
4
1/1
返回列表
如果回帖内容含有宣传信息,请如实选中。否则帐号将被全论坛禁言
普通表情
龙
兔
虎
猫
百度网盘
|
360云盘
|
千易网盘
|
华为网盘
在新窗口页面中打开自己喜欢的网盘网站,将文件上传后,然后将下载链接复制到帖子内容中就可以了。
信息提示
关闭
请填处理意见
关闭
确定