版块导航
正在加载中...
客户端APP下载
论文辅导
申博辅导
登录
注册
帖子
帖子
用户
本版
应《网络安全法》要求,自2017年10月1日起,未进行实名认证将不得使用互联网跟帖服务。为保障您的帐号能够正常使用,请尽快对帐号进行手机号验证,感谢您的理解与支持!
24小时热门版块排行榜
>
论坛更新日志
(309)
>
虫友互识
(8)
>
导师招生
(3)
>
休闲灌水
(3)
>
找工作
(2)
>
招聘信息布告栏
(1)
>
博后之家
(1)
>
数学
(1)
>
论文道贺祈福
(1)
>
金融投资
(1)
>
基金申请
(1)
>
教师之家
(1)
>
考博
(1)
>
文献求助
(1)
>
公派出国
(1)
>
论文投稿
(1)
小木虫论坛-学术科研互动平台
»
计算模拟区
»
程序语言
»
MATLAB/Mathematica
»
用matlab作已知函数的二维等值线
南方科技大学公共卫生及应急管理学院2025级博士研究生招生报考通知
3
1/1
返回列表
查看: 607 | 回复: 2
只看楼主
@他人
存档
新回复提醒
(忽略)
收藏
在APP中查看
huchao1024
银虫
(小有名气)
应助: 3
(幼儿园)
金币: 2932.2
散金: 16
帖子: 237
在线: 67小时
虫号: 1459423
注册: 2011-10-25
专业: 聚合物共混与复合材料
[
求助
]
用matlab作已知函数的二维等值线
已有1人参与
已知函数z=z(x,y),怎么用matlab作这个函数的二维等值线啊,我刚用的这个软件,有没有代码的模板借鉴一下?
回复此楼
» 猜你喜欢
三甲基碘化亚砜的氧化反应
已经有4人回复
请问下大家为什么这个铃木偶联几乎不反应呢
已经有5人回复
请问有评职称,把科研教学业绩算分排序的高校吗
已经有5人回复
孩子确诊有中度注意力缺陷
已经有12人回复
2025冷门绝学什么时候出结果
已经有3人回复
天津工业大学郑柳春团队欢迎化学化工、高分子化学或有机合成方向的博士生和硕士生加入
已经有4人回复
康复大学泰山学者周祺惠团队招收博士研究生
已经有6人回复
AI论文写作工具:是科研加速器还是学术作弊器?
已经有3人回复
论文投稿,期刊推荐
已经有4人回复
硕士和导师闹得不愉快
已经有13人回复
» 本主题相关价值贴推荐,对您同样有帮助:
已知6个点,可以用MATLAB拟合出一个函数吗?请各位大侠指教!不胜感激!!!
已经有10人回复
怎么利用matlab计算出非线性函数模型的系数? 急求!!!!!
已经有4人回复
一个函数matlab画图
已经有5人回复
用matlab求bessel函数的根
已经有6人回复
怎样用matlab或者其他软件作二元二次函数的三维曲面图
已经有6人回复
这个积分函数能用matlab画出来吗?谢谢
已经有12人回复
MATLAB-pdepe函数使用问题
已经有5人回复
如何用matlab写这个函数
已经有3人回复
Matlab 已知 函数y值 求对应自变量x值
已经有11人回复
matlab中正弦函数不能正常显示的原因。
已经有3人回复
matlab surf函数的使用
已经有3人回复
求matlab画一个函数的图
已经有6人回复
用matlab绘制含参隐函数的问题
已经有8人回复
现在做到高斯函数的误差函数一步,又是一个方程不知道用matlab怎么写
已经有14人回复
matlab如何改变函数变量值在调用函数重新计算
已经有12人回复
问个关于matlab里find函数的问题!
已经有4人回复
matlab的简单函数拟合
已经有6人回复
用matlab对多项式函数求导
已经有1人回复
matlab做函数图象的问题
已经有6人回复
【求助】用MATLAB写程序求解简单的正弦函数
已经有4人回复
【求助】关于matlab中的函数代换
已经有10人回复
1楼
2014-10-17 22:36:19
已阅
回复此楼
关注TA
给TA发消息
送TA红花
TA的回帖
明追流火H
新虫
(初入文坛)
应助: 1
(幼儿园)
金币: 1.5
帖子: 1
在线: 3.1小时
虫号: 2261050
注册: 2013-01-25
【答案】应助回帖
感谢参与,应助指数 +1
close all;
clear all;
warn of all ;
(x,y,z)=peak(50);
(c,h)=countf(x,y,z);
lable(c,h);
赞
一下
回复此楼
2楼
2014-10-18 01:21:39
已阅
回复此楼
关注TA
给TA发消息
送TA红花
TA的回帖
huchao1024
银虫
(小有名气)
应助: 3
(幼儿园)
金币: 2932.2
散金: 16
帖子: 237
在线: 67小时
虫号: 1459423
注册: 2011-10-25
专业: 聚合物共混与复合材料
引用回帖:
2楼
:
Originally posted by
明追流火H
at 2014-10-18 01:21:39
close all;
clear all;
warn of all ;
(x,y,z)=peak(50);
(c,h)=countf(x,y,z);
lable(c,h);
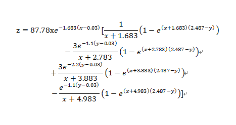
我不太懂哎,这样吧,您看这个关系式能画出来吗
(xyz).png
赞
一下
回复此楼
3楼
2014-10-18 10:01:06
已阅
回复此楼
关注TA
给TA发消息
送TA红花
TA的回帖
相关版块跳转
第一性原理
量子化学
计算模拟
分子模拟
仿真模拟
程序语言
我要订阅楼主
huchao1024
的主题更新
3
1/1
返回列表
如果回帖内容含有宣传信息,请如实选中。否则帐号将被全论坛禁言
普通表情
龙
兔
虎
猫
百度网盘
|
360云盘
|
千易网盘
|
华为网盘
在新窗口页面中打开自己喜欢的网盘网站,将文件上传后,然后将下载链接复制到帖子内容中就可以了。
信息提示
关闭
请填处理意见
关闭
确定