| 查看: 1366 | 回复: 5 | ||
[求助]
一个函数matlab画图
|
|
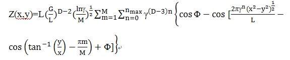
函数是这样的,如图。其中:只有x y z 是变量,而D M m L γ n G 等均为已知常数,请问怎么用matlab画图呢?我只想画二维图,就是z=0时候y关于x的图像,求指教! fractal formulation.jpg |
» 猜你喜欢
081700,311,求调剂
已经有15人回复
一志愿北京化工085600 310分求调剂
已经有18人回复
085600材料与化工301分求调剂院校
已经有4人回复
材料与化工371求调剂
已经有14人回复
336材料与化工085600求调剂
已经有7人回复
材料334求调剂
已经有18人回复
331求调剂
已经有8人回复
332求调剂
已经有17人回复
一志愿南京航空航天大学 材料与化工329分求调剂
已经有4人回复
材料专硕322
已经有7人回复
» 本主题相关价值贴推荐,对您同样有帮助:
matlab画图问题: 怎样用小图标或自定义图形代替+ x . o等做图
已经有10人回复
matlab的plot画图(如何画出与取值数目不一样的标记符)
已经有4人回复
MATLAB GUI 求助
已经有3人回复
matlab画图中的一个图标问题
已经有15人回复
MATLAB-pdepe函数使用问题
已经有5人回复
matlab作图问题
已经有5人回复
MATLAB绘图-直线不平滑
已经有6人回复
一个复杂函数的matlab绘图
已经有6人回复
matlab坐标轴上一个参数的估计值该怎么写
已经有4人回复
MATLAB绘图时显示希腊字母的方法
已经有7人回复
Matlab中如何自己定义一个新函数,然后计算时可以调用?
已经有12人回复
请教大家一个反卷积的问题~~帮忙推导或者matlab编程计算~~
已经有5人回复
matlab中GUI模块的AXES控件的应用
已经有1人回复
求matlab画一个函数的图
已经有6人回复
matlab仿自适应估计,其中一个量怎么调都不趋于稳定
已经有5人回复
新手请教MATLAB函数做图问题,非常感谢
已经有3人回复
关于凹凸函数连续性的一个疑问
已经有11人回复
问个关于matlab里find函数的问题!
已经有4人回复
Matlab两个小问题
已经有10人回复
【求助】向各位大侠求助matlab求解微分方程组遇到的一个问题
已经有21人回复
【求助】用matlab画一个长方体
已经有5人回复
matlab做函数图象的问题
已经有6人回复
求助一个差分方程的MATLAB实现
已经有3人回复
【求助】问一个关于matlab中legend的问题
已经有11人回复

tgvictor99
木虫 (知名作家)
迷糊领域荣誉领主
- 应助: 40 (小学生)
- 金币: 2667.4
- 散金: 1907
- 红花: 49
- 沙发: 1
- 帖子: 5238
- 在线: 923.8小时
- 虫号: 2524003
- 注册: 2013-06-27
- 专业: 流体力学

2楼2013-12-04 15:45:59

3楼2013-12-04 16:24:57

4楼2013-12-04 16:28:36
tgvictor99
木虫 (知名作家)
迷糊领域荣誉领主
- 应助: 40 (小学生)
- 金币: 2667.4
- 散金: 1907
- 红花: 49
- 沙发: 1
- 帖子: 5238
- 在线: 923.8小时
- 虫号: 2524003
- 注册: 2013-06-27
- 专业: 流体力学

5楼2013-12-04 16:38:33

6楼2013-12-04 22:12:37














回复此楼