| ²é¿´: 342 | »Ø¸´: 1 | |
Coco_hduгæ (³õÈëÎÄ̳)
|
[ÇóÖú]
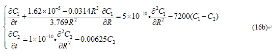
Çó´óÉñ°ïæÓÃMatlab ½âÁ½¸ö·½³Ì
|
|
|
|
Coco_hduгæ (³õÈëÎÄ̳)
|
|
|
2Â¥2014-09-10 15:48:01
|
|













»Ø¸´´ËÂ¥