| 查看: 258 | 回复: 0 | ||
danchengzi木虫 (小有名气)
|
[求助]
高次非线性方程及不等式的画图问题
|
|
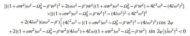
已知方程如图1,不等式如图2 ,其他变量已知,只有W和ω未知 α=2.2985;β=30.33;Ω0^2=12.1379;ε=0.005;δ=0.005;c=0.01;Ψ=45° 希望画出图1公式 W在(0,1)ω在(3.4,3.6)范围内的图形 及图二不等式在相同范围内的填充区域 图1.jpg 图2.jpg |
» 猜你喜欢
265求调剂
已经有20人回复
271分求调剂学校
已经有11人回复
320分人工智能调剂
已经有6人回复
求调剂,一志愿南京航空航天大学 ,080500材料科学与工程学硕
已经有8人回复
280求调剂
已经有19人回复
求材料调剂,一志愿郑州大学289分
已经有15人回复
26考研调剂0710 0860
已经有6人回复
282求调剂
已经有22人回复
283求调剂
已经有5人回复
265求调剂
已经有21人回复
找到一些相关的精华帖子,希望有用哦~
一个约束规划问题求解
已经有13人回复
解线性方程组的时候如何取限定条件使解是正解?
已经有6人回复
求解非线性方程组
已经有8人回复
求教 如何用matlab解带约束的非线性方程组
已经有4人回复
求数学大神用matlab帮我解决一个问题。不胜感激
已经有6人回复
matlab编程约束条件问题
已经有10人回复
Mathematica问题求助
已经有7人回复
求教matlab线性优化求最小值的问题
已经有7人回复
请教MATLAB中的LMI求解问题,急!!!
已经有7人回复
matlab怎么求一个不等式组的解????????
已经有4人回复
紧急求助:mathematica中的数据如何保存为mat格式
已经有8人回复
求助解一道高中数学方程题
已经有8人回复
matlab线性矩阵不等式求解做优化问题
已经有10人回复
怎样求解约束条件为不等式的线性规划问题?大虾请进
已经有10人回复
诚心求助关于mathematica 数据的导出
已经有5人回复
【求助】用fortran求解大型线性方程组时出现的错误【已解决】
已经有11人回复
【求助】求教matlab解非线性方程组
已经有9人回复
科研从小木虫开始,人人为我,我为人人














回复此楼
点击这里搜索更多相关资源