版块导航
正在加载中...
客户端APP下载
论文辅导
申博辅导
登录
注册
帖子
帖子
用户
本版
应《网络安全法》要求,自2017年10月1日起,未进行实名认证将不得使用互联网跟帖服务。为保障您的帐号能够正常使用,请尽快对帐号进行手机号验证,感谢您的理解与支持!
24小时热门版块排行榜
>
论坛更新日志
(538)
>
虫友互识
(70)
>
基金申请
(9)
>
论文投稿
(7)
>
休闲灌水
(7)
>
公派出国
(6)
>
考研
(6)
>
导师招生
(5)
>
教师之家
(5)
>
硕博家园
(5)
>
考博
(3)
>
博后之家
(2)
>
论文道贺祈福
(2)
>
第一性原理
(2)
>
找工作
(2)
>
文献求助
(2)
小木虫论坛-学术科研互动平台
»
专业学科区
»
机械
»
流体机械
»
求哪位大神帮忙推导一下对流——扩散偏微分方程
1
1/1
返回列表
查看: 705 | 回复: 0
只看楼主
@他人
存档
新回复提醒
(忽略)
收藏
在APP中查看
dayovan
金虫
(小有名气)
应助: 0
(幼儿园)
金币: 3069.2
散金: 380
帖子: 228
在线: 125.2小时
虫号: 2321676
注册: 2013-03-05
性别: GG
专业: 传递过程
[
求助
]
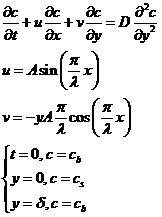
求哪位大神帮忙推导一下对流——扩散偏微分方程
求哪位大神帮忙推导一下对流——扩散偏微分方程http://image.keyan.cc/data/bcs/2014/0821/w75h2321676_1408591585_991.jpg
QQ图片20140821111947.jpg
回复此楼
» 猜你喜欢
宁波大学招收力学专业(表面工程方向)2026年博士生2名(申请-考核制)
已经有7人回复
宁波大学招收力学专业(表面工程方向)2026年博士生2名(申请-考核制)
已经有19人回复
金属材料论文润色/翻译怎么收费?
已经有192人回复
冷却速率对EH36船用钢焊缝金属组织演变行为的影响
已经有0人回复
使用高温共聚焦显微镜原位观察熔盐-陶瓷的高温腐蚀反应过程
已经有0人回复
SCI付款失败,付款按键消失,只显示Payment Fail
已经有1人回复
使用高温激光共聚焦显微镜对GCr15轴承钢中碳化物高温行为的原位观察与分析
已经有1人回复
求助TiAl合金的B2相pdf卡片
已经有0人回复
Nothingisimpossible
1楼
2014-08-21 11:29:09
已阅
回复此楼
关注TA
给TA发消息
送TA红花
TA的回帖
智能机器人
Robot
(super robot)
我们都爱小木虫
找到一些相关的精华帖子,希望有用哦~
亲们,求助一下,这个非线性方程组怎么解?
已经有11人回复
有没有大神看一下能不能用FORTRAN求解下面的式子
已经有14人回复
弱弱问个问题,以下那些是扩散项,那些是对流项。
已经有11人回复
求大神帮忙拟合一个非线性方程,求出模型参数
已经有15人回复
一个ICEM问题,需要大神指导一下
已经有11人回复
哪位大神帮忙看一下MATLAB求解微分方程的问题?
已经有3人回复
按照ansys官方教程一步步练习,求解时经常出现问题,求大神分析
已经有14人回复
热传导方程中各个变量对结果的影响哪个更大?
已经有4人回复
对流扩散方程迭代求解发散
已经有11人回复
FLUENT中耦合求解两个标量方程,求指点...
已经有5人回复
matlab作业哪位大神麻烦给做一下,十万火急,周五之间要交
已经有3人回复
采用matlab中nlinfit拟合,出现问题了,不知道是哪错了,该怎么解决,求高手指点一下
已经有9人回复
柱坐标N-S方程推导?
已经有4人回复
对流-扩散方程中加入导热方程的问题
已经有3人回复
【求助】matlab 求解微分方程中的未知参数
已经有20人回复
【求助】在excel里处理一下数据求微分,请高手指教一下~谢谢啦~
已经有15人回复
【讨论】分数阶微分方程
已经有28人回复
【求助】MATLAB 有限差分法(FDM)求解偏微分方程
已经有22人回复
【求助】如何求解下列偏微分方程
已经有13人回复
【求助】大家能否推荐一下数学物理方程入门的英文教材
已经有5人回复
【求助】求问一个寻找最优解问题,是泛函问题么
已经有22人回复
点击这里搜索更多相关资源
科研从小木虫开始,人人为我,我为人人
相关版块跳转
数理科学综合
机械
物理
数学
农林
食品
地学
能源
信息科学
土木建筑
航空航天
转基因
我要订阅楼主
dayovan
的主题更新
1
1/1
返回列表
如果回帖内容含有宣传信息,请如实选中。否则帐号将被全论坛禁言
普通表情
龙
兔
虎
猫
百度网盘
|
360云盘
|
千易网盘
|
华为网盘
在新窗口页面中打开自己喜欢的网盘网站,将文件上传后,然后将下载链接复制到帖子内容中就可以了。
信息提示
关闭
请填处理意见
关闭
确定