| 查看: 1730 | 回复: 4 | ||
[求助]
热传导方程中各个变量对结果的影响哪个更大?
|
|
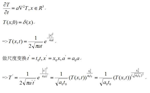
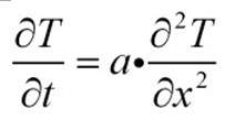
图片中是一维和三维情况下的热传导方程,现在将变量分成两组,一组是温度对尺寸或者坐标的二阶偏导数,定义为因素A,一组是a,也就是热扩散系数,定义为因素B,现在能否求各位大神指导一下,A、B对等式左边的影响,哪个更大?鄙人不擅长数学,只是感觉上二阶导数对结果的影响要大于零阶,但是不能证明,希望大神指点迷津。金币可以随后补发。 1d.jpg 3d.jpg |
» 猜你喜欢
0703调剂,一志愿天津大学319分
已经有14人回复
085600材料与化工301分求调剂院校
已经有16人回复
一志愿211,0703化学305分求调剂
已经有4人回复
机械专硕274求调剂,不挑专业学校
已经有8人回复
312求调剂
已经有13人回复
生物与医药求调剂
已经有7人回复
284求调剂
已经有5人回复
一志愿北交大材料工程总分358求调剂
已经有10人回复
一志愿南科大生物学297分,求调剂推荐
已经有4人回复
材料调剂
已经有4人回复
» 本主题相关价值贴推荐,对您同样有帮助:
利用有限元方法求解Maxwell方程组、流体力学方程以及热传导方程的软件
已经有10人回复
哪位高手能用matlab编程求解一维瞬态热传导方程,先谢谢啦
已经有7人回复
分离变量法求解热传导方程
已经有11人回复
【求助】一道博士生面试题:薛定谔方程和热传导方程
已经有10人回复

2楼2013-06-20 12:50:36
pippi6
铁杆木虫 (著名写手)
工程和科学数值计算咨询
- 数学EPI: 6
- 应助: 413 (硕士)
- 贵宾: 0.002
- 金币: 7116.5
- 散金: 15
- 红花: 63
- 帖子: 1639
- 在线: 798.9小时
- 虫号: 2469437
- 注册: 2013-05-14
- 专业: 计算数学与科学工程计算
3楼2013-06-20 13:53:33
4楼2013-06-20 22:20:02
5楼2013-06-20 22:28:35














回复此楼