±±¾©Ê¯ÓÍ»¯¹¤Ñ§Ôº2026ÄêÑо¿ÉúÕÐÉú½ÓÊÕµ÷¼Á¹«¸æ
²é¿´: 1357  |  »Ø¸´: 14

°¥ßÏV

гæ (³õÈëÎÄ̳)

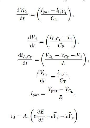
[ÇóÖú] ÓÐûÓдóÉñ¿´Ò»ÏÂÄܲ»ÄÜÓÃFORTRANÇó½âÏÂÃæµÄʽ×Ó ÒÑÓÐ3È˲ÎÓë

ʽ×ÓÀïCL£¬CP£¬L£¬CT£¬R£¬A£¬¦Å£¬¦£¶¼ÎªÒÑÖªÁ¿£¬Áù¸ö·½³ÌÁù¸öδ֪Êý£¬Äܲ»ÄÜÇó½â£¿

ÓÐûÓдóÉñ¿´Ò»ÏÂÄܲ»ÄÜÓÃFORTRANÇó½âÏÂÃæµÄʽ×Ó
²¶mm»ñ.JPG
»Ø¸´´ËÂ¥

» ²ÂÄãϲ»¶

» ±¾Ö÷ÌâÏà¹Ø¼ÛÖµÌùÍÆ¼ö£¬¶ÔÄúͬÑùÓаïÖú:

ÒÑÔÄ   »Ø¸´´ËÂ¥   ¹Ø×¢TA ¸øTA·¢ÏûÏ¢ ËÍTAºì»¨ TAµÄ»ØÌû

°¥ßÏV

гæ (³õÈëÎÄ̳)

ÓÐûÓдóÉñ¿ÉÒÔÇÆÒ»ÇÆ
2Â¥2014-04-18 14:25:48
ÒÑÔÄ   »Ø¸´´ËÂ¥   ¹Ø×¢TA ¸øTA·¢ÏûÏ¢ ËÍTAºì»¨ TAµÄ»ØÌû

notshuaige

Òø³æ (СÓÐÃûÆø)

·¹ý¡£¡£¡£¡£ÎҸоõÓÃFortranÀ´Ð´ºÜÐü£¬ÇÒ´úÂë»á¿ñ¶à¡£¡£¡£
»°ËµÔõôÏñÊǵç·Éϵķ½³Ì»òÕߵ綯Á¦Ñ§£¨µç´Å³¡£©µÄ·½³Ì¡«¡«
3Â¥2014-04-18 21:51:47
ÒÑÔÄ   »Ø¸´´ËÂ¥   ¹Ø×¢TA ¸øTA·¢ÏûÏ¢ ËÍTAºì»¨ TAµÄ»ØÌû

baobiao007

ľ³æ (Ö°Òµ×÷¼Ò)

ÖйúÌØÉ«

ÓÃfortran¶¼ÏÓ´úÂë¶à£¬ÄãÓÃcÊÔÊÔ£¬±£Ö¤ÄãÏÓµ½±¬
ÎÒͬÒâÊå±¾»ªµÄ¹Ûµã£¬ÈËÃÇͶÉíÒÕÊõºÍ¿ÆÑ§ÁìÓòµÄÇ¿ÁÒÔ¸ÍûÖ®Ò»¾ÍÊÇÌÓÀëÍ´¿à¡¢²Ð¿áºÍ¿ÝÔïÎÞζµÄÏÖʵÉú»î£¬ÌÓÀë×Ô¼ºÆ®ºö²»¶¨µÄÆßÇéÁùÓûµÄèäèô¡£--°®Òò˹̹
4Â¥2014-04-18 22:06:39
ÒÑÔÄ   »Ø¸´´ËÂ¥   ¹Ø×¢TA ¸øTA·¢ÏûÏ¢ ËÍTAºì»¨ TAµÄ»ØÌû

°¥ßÏV

гæ (³õÈëÎÄ̳)

ÒýÓûØÌû:
3Â¥: Originally posted by notshuaige at 2014-04-18 21:51:47
·¹ý¡£¡£¡£¡£ÎҸоõÓÃFortranÀ´Ð´ºÜÐü£¬ÇÒ´úÂë»á¿ñ¶à¡£¡£¡£
»°ËµÔõôÏñÊǵç·Éϵķ½³Ì»òÕߵ綯Á¦Ñ§£¨µç´Å³¡£©µÄ·½³Ì¡«¡«

Õâ¾ÍÊÇÒ»¸öµç·ģÄ⣬ÏëÓà ½â΢·Ö·½³ÌµÄ·½·¨£¬»°ËµFORTRANÓÐûÓвé±í¹¦ÄÜ
5Â¥2014-04-19 15:35:57
ÒÑÔÄ   »Ø¸´´ËÂ¥   ¹Ø×¢TA ¸øTA·¢ÏûÏ¢ ËÍTAºì»¨ TAµÄ»ØÌû

°¥ßÏV

гæ (³õÈëÎÄ̳)

ÒýÓûØÌû:
4Â¥: Originally posted by baobiao007 at 2014-04-18 22:06:39
ÓÃfortran¶¼ÏÓ´úÂë¶à£¬ÄãÓÃcÊÔÊÔ£¬±£Ö¤ÄãÏÓµ½±¬

ÎÒÏëÓãң˷½·¨½â£¬Ðв»ÐУ¿
6Â¥2014-04-19 15:37:32
ÒÑÔÄ   »Ø¸´´ËÂ¥   ¹Ø×¢TA ¸øTA·¢ÏûÏ¢ ËÍTAºì»¨ TAµÄ»ØÌû

°¥ßÏV

гæ (³õÈëÎÄ̳)

ÓÐûÓÐÈË£¿
7Â¥2014-04-20 14:09:50
ÒÑÔÄ   »Ø¸´´ËÂ¥   ¹Ø×¢TA ¸øTA·¢ÏûÏ¢ ËÍTAºì»¨ TAµÄ»ØÌû

°¥ßÏV

гæ (³õÈëÎÄ̳)

ÓÐûÓÐÈË?
8Â¥2014-04-24 20:59:42
ÒÑÔÄ   »Ø¸´´ËÂ¥   ¹Ø×¢TA ¸øTA·¢ÏûÏ¢ ËÍTAºì»¨ TAµÄ»ØÌû

ÄäÃû

Óû§×¢Ïú (СÓÐÃûÆø)

±¾Ìû½öÂ¥Ö÷¿É¼û
9Â¥2014-04-24 23:39:52
ÒÑÔÄ   ÉêÇë³ÌÐòÇ¿Ìû   »Ø¸´´ËÂ¥   ±à¼­   ²é¿´ÎÒµÄÖ÷Ò³

tg2010

½ð³æ (СÓÐÃûÆø)

¡¾´ð°¸¡¿Ó¦Öú»ØÌû

¡ï
jjdg: ½ð±Ò+1, ͬ¸Ð 2014-04-29 19:49:13
½â·½³ÌΪɶ²»ÓÃmatlab
10Â¥2014-04-25 22:17:29
ÒÑÔÄ   »Ø¸´´ËÂ¥   ¹Ø×¢TA ¸øTA·¢ÏûÏ¢ ËÍTAºì»¨ TAµÄ»ØÌû
Ïà¹Ø°æ¿éÌø×ª ÎÒÒª¶©ÔÄÂ¥Ö÷ °¥ßÏV µÄÖ÷Ìâ¸üÐÂ
×î¾ßÈËÆøÈÈÌûÍÆ¼ö [²é¿´È«²¿] ×÷Õß »Ø/¿´ ×îºó·¢±í
[¿¼ÑÐ] Ò»Ö¾Ô¸Ö£ÖÝ´óѧ085600Çóµ÷¼Á +19 ³ÔµÄ²»ÉÙ 2026-04-05 22/1100 2026-04-06 22:39 by tianyyysss
[¿¼ÑÐ] 273Çóµ÷¼Á +20 ÂóС¶£µ± 2026-04-06 23/1150 2026-04-06 22:22 by À¶ÔÆË¼Óê
[¿¼ÑÐ] 081700£¬311£¬Çóµ÷¼Á +16 ¶¬Ê®Èý 2026-04-04 17/850 2026-04-06 14:56 by ÉÐË®¸óÖ÷
[¿¼ÑÐ] 0703»¯Ñ§µ÷¼Á325·Ö +12 15771691647 2026-04-04 13/650 2026-04-06 12:00 by lijunpoly
[¿¼ÑÐ] 319·Ö085702°²È«¹¤³ÌÇóµ÷¼Á +4 rious 2026-04-05 4/200 2026-04-06 11:08 by ¾²¾²¾²¾²¾²¾²¾²¾
[¿¼ÑÐ] 0855Çóµ÷¼Á²ÄÁÏ +11 ºìÌÒׯׯ 2026-04-04 12/600 2026-04-06 10:26 by À¶ÔÆË¼Óê
[¿¼ÑÐ] ¿¼Ñе÷¼Á +5 ÃÀÀöµÄyouth_ 2026-04-04 6/300 2026-04-06 06:57 by houyaoxu
[¿¼ÑÐ] 262Çóµ÷¼Á +7 ÌìϵÚÒ»ÎÄ 2026-04-04 8/400 2026-04-05 21:31 by ¼¤Á÷Ó¶É
[¿¼ÑÐ] 326Çóµ÷¼Á +3 ¹ËÈô¸¡Éú 2026-04-05 3/150 2026-04-05 18:32 by À¶ÔÆË¼Óê
[¿¼ÑÐ] 284Çóµ÷¼Á +7 Ðìͬѧ_001 2026-04-04 13/650 2026-04-05 17:19 by yulian1987
[¿¼ÑÐ] 292·Ö£¬²ÄÁÏÓ뻯¹¤£¬ÉêÇëµ÷¼Á +22 ³ÌÇçÖ® 2026-04-01 26/1300 2026-04-04 22:03 by hemengdong
[¿¼ÑÐ] 081200-11408-276ѧ˶Çóµ÷¼Á +5 ´Þwj 2026-03-31 5/250 2026-04-04 19:45 by 1753564080
[¿¼ÑÐ] 291Çóµ÷¼Á +4 ÃÔÃÉľľ 2026-04-01 5/250 2026-04-04 15:59 by sihailian3
[¿¼ÑÐ] 336Çóµ÷¼Á +8 kiyy 2026-04-01 8/400 2026-04-03 19:41 by lijunpoly
[¿¼ÑÐ] 11408£¬284·Ö£¬¶þÕ½Õæ³ÏÇóµ÷¼Á +4 12.27 2026-04-02 4/200 2026-04-03 14:14 by dxiaoxin
[¿¼ÑÐ] ÊýÒ»Ó¢Ò»285Çóµ÷¼Á +7 AZMK 2026-04-03 9/450 2026-04-03 13:03 by ms629
[¿¼ÑÐ] 285Çóµ÷¼Á +7 AZMK 2026-04-02 9/450 2026-04-03 11:12 by wanwan00
[¿¼ÑÐ] 22408 266Çóµ÷¼Á +3 masss11222 2026-04-02 3/150 2026-04-02 18:11 by ±ÊÂä½õÖÝ
[¿¼ÑÐ] 283Çóµ÷¼Á +3 jiouuu 2026-04-02 4/200 2026-04-02 14:08 by ßÕßÕßÕßÉßÉßÉ
[¿¼ÑÐ] ʳƷѧ˶362Çóµ÷¼Á +3 xuanxianxian 2026-04-01 3/150 2026-04-01 21:05 by °¡Àî999
ÐÅÏ¢Ìáʾ
ÇëÌî´¦ÀíÒâ¼û