| ²é¿´: 1108 | »Ø¸´: 7 | |||
zqzeng83½ð³æ (СÓÐÃûÆø)
|
[ÇóÖú]
Çë½Ì£ºÓÃmatlab½â¾öÒ»ÎÊÌâ ÒÑÓÐ4È˲ÎÓë
|
| ÒÑ֪һδ֪ÊýΪxµÄÒ»ÔªÈý´Î·½³Ì£ºx^3-(a+m^2)*x+2*m*b=0 (ÆäÖÐa,bΪ·ÇÁã³£Êý,mΪ´ý¶¨³£Êý)£¬ÎÊÌ⣺Çó½âx£¬²¢ÓÃmatlab»³öxµÄÈý¸ö½â·Ö±ðËæm±ä»¯µÄͼÏñ¡£ ÏÈлл£¡ |
» ²ÂÄãϲ»¶
Çóµ÷¼Á
ÒѾÓÐ3È˻ظ´
265Çóµ÷¼Á
ÒѾÓÐ4È˻ظ´
085700×ÊÔ´Óë»·¾³308Çóµ÷¼Á
ÒѾÓÐ6È˻ظ´
Ò»Ö¾Ô¸¼ªÁÖ´óѧ²ÄÁÏѧ˶321Çóµ÷¼Á
ÒѾÓÐ12È˻ظ´
286·ÖÈ˹¤ÖÇÄÜרҵÇëÇóµ÷¼ÁÔ¸Òâ¿ç¿¼£¡
ÒѾÓÐ3È˻ظ´
329Çóµ÷¼Á
ÒѾÓÐ5È˻ظ´
ÉêÇë»Ø¸åÑÓÆÚÒ»¸öÔ£¬±à¼Í¬ÒâÁË¡£µ«ÏµÍ³ÉϵÄʱ¼äû±ä£¬¸ø±à¼ÓÖдÓʼþÁË£¬Ã»»Ø¸´
ÒѾÓÐ4È˻ظ´
²ÄÁÏѧ˶318Çóµ÷¼Á
ÒѾÓÐ5È˻ظ´
Ò»Ö¾Ô¸Öйúº£Ñó´óѧ£¬ÉúÎïѧ£¬301·Ö£¬Çóµ÷¼Á
ÒѾÓÐ6È˻ظ´
081700»¯¹¤Ñ§Ë¶µ÷¼Á
ÒѾÓÐ3È˻ظ´
» ±¾Ö÷ÌâÏà¹Ø¼ÛÖµÌùÍÆ¼ö£¬¶ÔÄúͬÑùÓаïÖú:
×·¼ÓÇë½Ì£ºÓÃmatlab½â¾öÒ»ÎÊÌâ
ÒѾÓÐ6È˻ظ´
ÇëÎÊÒ»ÏÂmatlabÕâ¸öÊÇʲôÎÊÌâ
ÒѾÓÐ10È˻ظ´
ʹÓÃMatlabʱÀϳöÏÖÕâ¸ö´íÎóÊÇÔõô»ØÊ£¿Ôõô½â¾ö£¿
ÒѾÓÐ10È˻ظ´
ÇóÖúmatlabÒ»¶Î´úÂëÎÊÌâ
ÒѾÓÐ3È˻ظ´
matlab×÷ͼÎÊÌâ
ÒѾÓÐ9È˻ظ´
matlabÈçºÎÇó½â¶àÔª¶à´Î·½³Ì£¬°üÀ¨»æÍ¼
ÒѾÓÐ7È˻ظ´
ÐÂÊÖmatlabÇóÖú£¬Ð»Ð»¸÷λ
ÒѾÓÐ10È˻ظ´
ÓÃmatlabÇó½âÒ»¸ö·ÇÏßÐÔ·½³Ì×éµÄ½â
ÒѾÓÐ4È˻ظ´
Çë½Ìº¯ÊýÇó½âÎÊÌâ
ÒѾÓÐ11È˻ظ´
Çë½Ì´ó¼ÒÒ»¸öMATLABµÄ·½³ÌÇó½âÎÊÌâ
ÒѾÓÐ6È˻ظ´
MATLAB-pdepeº¯ÊýʹÓÃÎÊÌâ
ÒѾÓÐ5È˻ظ´
Çë½ÌMATLABÖеÄLMIÇó½âÎÊÌ⣬¼±£¡£¡£¡
ÒѾÓÐ7È˻ظ´
ÓÃmatlabÈçºÎ½â·½³Ì£¿
ÒѾÓÐ6È˻ظ´
Çë½Ì´ó¼ÒÒ»¸ö·´¾í»ýµÄÎÊÌâ~~°ïÃ¦ÍÆµ¼»òÕßmatlab±à³Ì¼ÆËã~~
ÒѾÓÐ5È˻ظ´
matlabµ÷ÊÔÎÊÌâ
ÒѾÓÐ3È˻ظ´
matlab »ý·ÖÇóÖú
ÒѾÓÐ8È˻ظ´
Çómatlab ½â·½³ÌµÄÎÊÌâ
ÒѾÓÐ5È˻ظ´
ÇóÖúmatlabÎÊÌâ
ÒѾÓÐ5È˻ظ´
ÇómatlabÇó½âÒ»¸ö·½³Ì×éµÄÎÊÌâ
ÒѾÓÐ6È˻ظ´
MATLAB°²×°ºó³öÏÖÒ»¶ÑjavaµÄÎÊÌâ
ÒѾÓÐ12È˻ظ´
¡¾ÇóÖú¡¿ ÇóMAtlabÇó½â³ÌÐò£¡£¡£¡
ÒѾÓÐ20È˻ظ´
ÔÂÖ»À¶
Ö÷¹ÜÇø³¤ (Ö°Òµ×÷¼Ò)
-

ר¼Ò¾Ñé: +1059 - Ó¦Öú: 1712 (½²Ê¦)
- ¹ó±ö: 8.888
- ½ð±Ò: 68127.7
- É¢½ð: 1938
- ºì»¨: 443
- ɳ·¢: 4
- Ìû×Ó: 4373
- ÔÚÏß: 3291.4Сʱ
- ³æºÅ: 1122189
- ×¢²á: 2010-10-14
- רҵ: ÓîÖæÑ§
- ¹ÜϽ: ¼ÆËãÄ£ÄâÇø

2Â¥2014-07-28 19:23:11
ÔÂÖ»À¶
Ö÷¹ÜÇø³¤ (Ö°Òµ×÷¼Ò)
-

ר¼Ò¾Ñé: +1059 - Ó¦Öú: 1712 (½²Ê¦)
- ¹ó±ö: 8.888
- ½ð±Ò: 68127.7
- É¢½ð: 1938
- ºì»¨: 443
- ɳ·¢: 4
- Ìû×Ó: 4373
- ÔÚÏß: 3291.4Сʱ
- ³æºÅ: 1122189
- ×¢²á: 2010-10-14
- רҵ: ÓîÖæÑ§
- ¹ÜϽ: ¼ÆËãÄ£ÄâÇø

3Â¥2014-07-28 19:24:56
B12050913
½ð³æ (СÓÐÃûÆø)
- Ó¦Öú: 10 (Ó×¶ùÔ°)
- ½ð±Ò: 1691.9
- É¢½ð: 13
- ºì»¨: 1
- Ìû×Ó: 221
- ÔÚÏß: 48.3Сʱ
- ³æºÅ: 2499852
- ×¢²á: 2013-06-07
- ÐÔ±ð: GG
- רҵ: »úÆ÷ÈËѧ¼°»úÆ÷È˼¼Êõ
4Â¥2014-07-28 19:32:18
amefd
Ìú¸Ëľ³æ (Ö°Òµ×÷¼Ò)
- Ó¦Öú: 16 (СѧÉú)
- ½ð±Ò: 10032.4
- É¢½ð: 28
- ºì»¨: 19
- ɳ·¢: 4
- Ìû×Ó: 3661
- ÔÚÏß: 471.5Сʱ
- ³æºÅ: 3348425
- ×¢²á: 2014-08-01
- ÐÔ±ð: GG
- רҵ: Á¦Ñ§

5Â¥2014-08-02 10:37:54
elastic
½ð³æ (СÓÐÃûÆø)
- Ó¦Öú: 43 (СѧÉú)
- ½ð±Ò: 1426.4
- ºì»¨: 4
- Ìû×Ó: 207
- ÔÚÏß: 54.1Сʱ
- ³æºÅ: 3006535
- ×¢²á: 2014-03-01
- ÐÔ±ð: GG
- רҵ: ¼ÆËã»úÓ²¼þ¼¼Êõ
¡¾´ð°¸¡¿Ó¦Öú»ØÌû
|
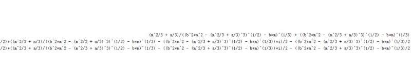
>> syms a m b x >> A=solve('x^3-(a+m^2)*x+2*m*b=0',x) A = (m^2/3 + a/3)/((b^2*m^2 - (m^2/3 + a/3)^3)^(1/2) - b*m)^(1/3) + ((b^2*m^2 - (m^2/3 + a/3)^3)^(1/2) - b*m)^(1/3) - (m^2/3 + a/3)/(2*((b^2*m^2 - (m^2/3 + a/3)^3)^(1/2) - b*m)^(1/3)) + (3^(1/2)*((m^2/3 + a/3)/((b^2*m^2 - (m^2/3 + a/3)^3)^(1/2) - b*m)^(1/3) - ((b^2*m^2 - (m^2/3 + a/3)^3)^(1/2) - b*m)^(1/3))*i)/2 - ((b^2*m^2 - (m^2/3 + a/3)^3)^(1/2) - b*m)^(1/3)/2 - (m^2/3 + a/3)/(2*((b^2*m^2 - (m^2/3 + a/3)^3)^(1/2) - b*m)^(1/3)) - (3^(1/2)*((m^2/3 + a/3)/((b^2*m^2 - (m^2/3 + a/3)^3)^(1/2) - b*m)^(1/3) - ((b^2*m^2 - (m^2/3 + a/3)^3)^(1/2) - b*m)^(1/3))*i)/2 - ((b^2*m^2 - (m^2/3 + a/3)^3)^(1/2) - b*m)^(1/3)/2 >> pretty(A) +- -+ | #2 | | -- + #1 | | #1 | | | | 1/2 / #2 \ | | 3 | -- - #1 | i | | \ #1 / #2 #1 | | ------------------ - ---- - -- | | 2 2 #1 2 | | | | 1/2 / #2 \ | | 3 | -- - #1 | i | | #2 \ #1 / #1 | | - ---- - ------------------ - -- | | 2 #1 2 2 | +- -+ where 2 2 3 1/2 1/3 #1 == ((b m - #2 ) - b m) 2 m a #2 == -- + - 3 3 >> |

6Â¥2014-08-03 13:28:37
zqzeng83
½ð³æ (СÓÐÃûÆø)
- Ó¦Öú: 20 (СѧÉú)
- ½ð±Ò: 2762.1
- É¢½ð: 2
- ºì»¨: 1
- Ìû×Ó: 204
- ÔÚÏß: 129.6Сʱ
- ³æºÅ: 1578205
- ×¢²á: 2012-01-15
- ÐÔ±ð: GG
- רҵ: ¹âѧ
7Â¥2014-08-05 16:45:34
zqzeng83
½ð³æ (СÓÐÃûÆø)
- Ó¦Öú: 20 (СѧÉú)
- ½ð±Ò: 2762.1
- É¢½ð: 2
- ºì»¨: 1
- Ìû×Ó: 204
- ÔÚÏß: 129.6Сʱ
- ³æºÅ: 1578205
- ×¢²á: 2012-01-15
- ÐÔ±ð: GG
- רҵ: ¹âѧ
8Â¥2014-08-05 16:47:18













»Ø¸´´ËÂ¥
" expected, ";" found.