| 查看: 467 | 回复: 2 | |||
胡永红金虫 (小有名气)
|
[交流]
结构优化怪相讨论
|
|
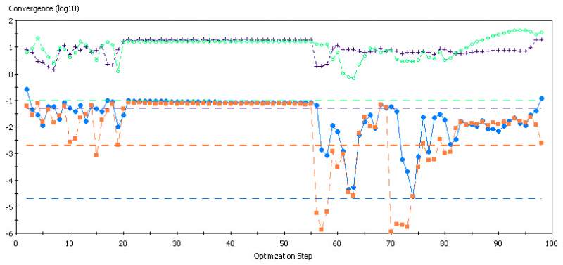
大家看看这个结构优化有什么问题啊?!参数设置相同,优化结果不一样。 附图为优化收敛曲线。几何结构优化结果有两种明显不同的结构。从这个收敛曲线看,是不是计算机优化时出现了扰动,怎么后面突然能量和位移变化幅度增大了???!!! D`FUT1BY7XL82U06%LVV(ZH.jpg |
» 猜你喜欢
【求调剂】085601材料工程专硕 | 总分272 |
已经有5人回复
275求调剂
已经有13人回复
0856,材料与化工321分求调剂
已经有8人回复
085701环境工程,267求调剂
已经有12人回复
320分,材料与化工专业,求调剂
已经有7人回复
085701环境工程求调剂
已经有8人回复
295材料工程专硕求调剂
已经有5人回复
265求调剂
已经有8人回复
322求调剂
已经有4人回复
085602 307分 求调剂
已经有6人回复
» 本主题相关价值贴推荐,对您同样有帮助:
三种初始结构得到三种不同的优化结构
已经有11人回复
MS软件中Forcite结构优化时使用什么算法?
已经有4人回复
结构优化对于计算精度到底有多大影响
已经有6人回复
做结构设计优化的软件有哪些?????
已经有10人回复
vasp结构优化中EDIFF以及KPOINTS设置,以及氢吸附结合能问题!
已经有17人回复
结构优化的结果竟然重复不出来,每次优化后的结构都不一样,求高手解答……
已经有9人回复
请教一下那款免费软件的结构优化功能比较好用?
已经有7人回复
MS 结构优化的结果不能理解 求高人指点
已经有10人回复
结构优化过程中的一个小问题
已经有7人回复
结构优化中问题
已经有6人回复
结构优化中遇到的问题
已经有9人回复
【活动or资源】vasp晶体结构优化
已经有142人回复
【原创】关于结构优化的总结,体会
已经有33人回复
【讨论】结构用opt优化不了,而用opt=z-matrix却能优化
已经有7人回复
【求助】结构优化的重要性
已经有5人回复
【求助】Dmol3结构优化
已经有8人回复
【求助】Castep中结构优化的问题
已经有11人回复
【讨论】vasp结构优化之前的测试
已经有11人回复

胡永红
金虫 (小有名气)
- 应助: 2 (幼儿园)
- 金币: 603.4
- 帖子: 101
- 在线: 76.9小时
- 虫号: 1652009
- 注册: 2012-02-29
- 性别: GG
- 专业: 凝聚态物性 II :电子结构

2楼2014-07-13 08:55:36
胡永红
金虫 (小有名气)
- 应助: 2 (幼儿园)
- 金币: 603.4
- 帖子: 101
- 在线: 76.9小时
- 虫号: 1652009
- 注册: 2012-02-29
- 性别: GG
- 专业: 凝聚态物性 II :电子结构

3楼2014-07-14 19:16:36














回复此楼