| ²é¿´: 2442 | »Ø¸´: 18 | |||
netvisitorľ³æ (ÕýʽдÊÖ)
|
[ÇóÖú]
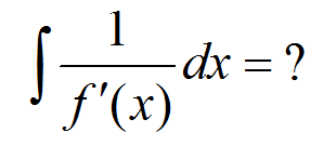
µ¼ÊýµÄµ¹Êý£¬¿ÉÓÐͨÓûý·Ö¹«Ê½£¿ ÒÑÓÐ5È˲ÎÓë
|
||
|
|
|||
| »ØÌûÖö¥ ( ¹²ÓÐ1¸ö ) | |||
feixiaolinÈÙÓþ°æÖ÷ (ÎÄ̳¾«Ó¢)
|
|||
|
15Â¥2014-07-05 07:51:28
|
|
||
| ÆÕͨ»ØÌû | |||
NonsmoothÒø³æ (ÖøÃûдÊÖ)
|
|||
![]() |
|||
|
2Â¥2014-07-04 17:53:32
|
|
||
netvisitorľ³æ (ÕýʽдÊÖ)
|
|||
|
3Â¥2014-07-04 19:44:02
|
|
||
billiardsÖÁ×ðľ³æ (ÖøÃûдÊÖ)
|
|||
|
4Â¥2014-07-05 04:54:45
|
|
||
billiardsÖÁ×ðľ³æ (ÖøÃûдÊÖ)
|
¡¾´ð°¸¡¿Ó¦Öú»ØÌû
|
||
|
5Â¥2014-07-05 07:03:05
|
|
||
netvisitorľ³æ (ÕýʽдÊÖ)
|
|||
|
6Â¥2014-07-05 07:06:29
|
|
||
netvisitorľ³æ (ÕýʽдÊÖ)
|
|||
|
7Â¥2014-07-05 07:15:25
|
|
||
billiardsÖÁ×ðľ³æ (ÖøÃûдÊÖ)
|
|||
|
8Â¥2014-07-05 07:22:38
|
|
||
netvisitorľ³æ (ÕýʽдÊÖ)
|
|||
|
9Â¥2014-07-05 07:34:34
|
|
||
billiardsÖÁ×ðľ³æ (ÖøÃûдÊÖ)
|
|||
|
10Â¥2014-07-05 07:36:09
|
|
||













»Ø¸´´ËÂ¥
