版块导航
正在加载中...
客户端APP下载
论文辅导
调剂小程序
登录
注册
帖子
帖子
用户
本版
应《网络安全法》要求,自2017年10月1日起,未进行实名认证将不得使用互联网跟帖服务。为保障您的帐号能够正常使用,请尽快对帐号进行手机号验证,感谢您的理解与支持!
24小时热门版块排行榜
>
论坛更新日志
(3757)
>
虫友互识
(479)
>
休闲灌水
(232)
>
导师招生
(213)
>
文献求助
(189)
>
考博
(83)
>
论文道贺祈福
(58)
>
博后之家
(56)
>
论文投稿
(55)
>
硕博家园
(52)
>
考研
(47)
>
基金申请
(39)
>
公派出国
(30)
>
招聘信息布告栏
(28)
>
找工作
(21)
>
教师之家
(16)
小木虫论坛-学术科研互动平台
»
网络生活区
»
有奖问答
»
学术帮助
»
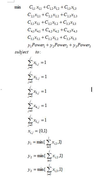
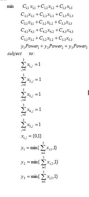
请问下面这个问题是线性整数规划还是非线性整数规划问题?
8
1/1
返回列表
查看: 1226 | 回复: 7
只看楼主
@他人
存档
新回复提醒
(忽略)
收藏
在APP中查看
dhl1401
金虫
(小有名气)
应助: 5
(幼儿园)
金币: 828.5
散金: 50
红花: 2
帖子: 153
在线: 63.6小时
虫号: 2466211
注册: 2013-05-15
性别: GG
专业: 计算机体系结构
[
求助
]
请问下面这个问题是线性整数规划还是非线性整数规划问题?
问题如上,谢谢了!能有解法就更好了,满意的结果可以在加分,谢谢了!
回复此楼
» 猜你喜欢
过年走亲戚时感受到了所开私家车的鄙视链
已经有10人回复
今年春晚有几个节目很不错,点赞!
已经有12人回复
情人节自我反思:在爱情中有过遗憾吗?
已经有13人回复
体制内长辈说体制内绝大部分一辈子在底层,如同你们一样大部分普通教师忙且收入低
已经有12人回复
基金正文30页指的是报告正文还是整个申请书
已经有5人回复
» 本主题相关价值贴推荐,对您同样有帮助:
如何用matlab做线性规划题目 在线等答案
已经有6人回复
运筹学优化求解软件——可以解决整数规划、线性规划、排队论、存储论问题
已经有16人回复
非线性规划 哪本书讲的好?
已经有6人回复
解决非线性规划问题(目标函数和限制条件都是非线性的)有什么软件求解?
已经有6人回复
多元一次方程的matlab解法,要求解为正整数
已经有10人回复
求0-1规划 or 0-1背包 or 整数规划or 旅行商问题的算例
已经有8人回复
人口问题计划生育数学建模MATLAB
已经有3人回复
仿真算例中的被控对象是系统的数学模型吗
已经有11人回复
能否用Matlab 求解非线性规划
已经有4人回复
求助matlab解非线性规划。求代码。
已经有13人回复
关于matlab线性规划 背包问题的 解法 求救呀~~方程知道 但不知道如何解答····
已经有4人回复
fmincon优化问题
已经有5人回复
matlab整数规划求解
已经有4人回复
【求助】请教:隐式目标函数和约束条件非线性规划问题
已经有5人回复
【分享】TableCurve 2D/3D注册码
已经有38人回复
【分享】推荐一本好书《精通MATLAB最优化计算》
已经有880人回复
1楼
2014-06-10 21:09:19
已阅
回复此楼
关注TA
给TA发消息
送TA红花
TA的回帖
dhl1401
金虫
(小有名气)
应助: 5
(幼儿园)
金币: 828.5
散金: 50
红花: 2
帖子: 153
在线: 63.6小时
虫号: 2466211
注册: 2013-05-15
性别: GG
专业: 计算机体系结构
Power和C都是常数,只有x和y是变量,
赞
一下
回复此楼
2楼
2014-06-10 21:10:29
已阅
回复此楼
关注TA
给TA发消息
送TA红花
TA的回帖
dhl1401
金虫
(小有名气)
应助: 5
(幼儿园)
金币: 828.5
散金: 50
红花: 2
帖子: 153
在线: 63.6小时
虫号: 2466211
注册: 2013-05-15
性别: GG
专业: 计算机体系结构
引用回帖:
2楼
:
Originally posted by
dhl1401
at 2014-06-10 21:10:29
Power和C都是常数,只有x和y是变量,
问题书写有点问题应该是这样的,C和Power都是常数!谢谢
赞
一下
回复此楼
3楼
2014-06-11 10:46:36
已阅
回复此楼
关注TA
给TA发消息
送TA红花
TA的回帖
匿名
用户注销
(著名写手)
小虫
博学EPI: 1
应助: 31
(小学生)
金币: 142
散金: 3217
红花: 13
沙发: 7
帖子: 1127
在线: 412.3小时
虫号: 0
注册: 2012-09-24
性别: GG
专业: 偏微分方程
本帖仅楼主可见
赞
一下
4楼
2014-06-11 11:04:19
已阅
申请博学EPI
回复此楼
编辑
查看我的主页
dhl1401
金虫
(小有名气)
应助: 5
(幼儿园)
金币: 828.5
散金: 50
红花: 2
帖子: 153
在线: 63.6小时
虫号: 2466211
注册: 2013-05-15
性别: GG
专业: 计算机体系结构
引用回帖:
4楼
:
Originally posted by
asimony
at 2014-06-11 11:04:19
难道有五个目标函数???
不好意思,那后面都少了一个+就一个目标函数
赞
一下
回复此楼
5楼
2014-06-11 21:19:42
已阅
回复此楼
关注TA
给TA发消息
送TA红花
TA的回帖
匿名
用户注销
(著名写手)
小虫
博学EPI: 1
应助: 31
(小学生)
金币: 142
散金: 3217
红花: 13
沙发: 7
帖子: 1127
在线: 412.3小时
虫号: 0
注册: 2012-09-24
性别: GG
专业: 偏微分方程
本帖仅楼主可见
赞
一下
6楼
2014-06-11 21:26:04
已阅
申请博学EPI
回复此楼
编辑
查看我的主页
dhl1401
金虫
(小有名气)
应助: 5
(幼儿园)
金币: 828.5
散金: 50
红花: 2
帖子: 153
在线: 63.6小时
虫号: 2466211
注册: 2013-05-15
性别: GG
专业: 计算机体系结构
引用回帖:
6楼
:
Originally posted by
asimony
at 2014-06-11 21:26:04
这是一个线性整数规划,比较理想的。应该用MATLAB带入数值就可以得到...
有什么比较好的算法解决问题吗?约束中有min这还是线性的吗?
赞
一下
回复此楼
7楼
2014-06-12 08:36:09
已阅
回复此楼
关注TA
给TA发消息
送TA红花
TA的回帖
匿名
用户注销
(著名写手)
小虫
博学EPI: 1
应助: 31
(小学生)
金币: 142
散金: 3217
红花: 13
沙发: 7
帖子: 1127
在线: 412.3小时
虫号: 0
注册: 2012-09-24
性别: GG
专业: 偏微分方程
本帖仅楼主可见
赞
一下
8楼
2014-06-12 09:24:27
已阅
申请博学EPI
回复此楼
编辑
查看我的主页
相关版块跳转
休闲灌水
虫友互识
文学芳草园
育儿交流
竞技体育
有奖起名
有奖问答
健康生活
我要订阅楼主
dhl1401
的主题更新
8
1/1
返回列表
如果回帖内容含有宣传信息,请如实选中。否则帐号将被全论坛禁言
普通表情
龙
兔
虎
猫
百度网盘
|
360云盘
|
千易网盘
|
华为网盘
在新窗口页面中打开自己喜欢的网盘网站,将文件上传后,然后将下载链接复制到帖子内容中就可以了。
信息提示
关闭
请填处理意见
关闭
确定