| ²é¿´: 1208 | »Ø¸´: 4 | ||
ÇåȪÁ÷ÐÄ½ð³æ (СÓÐÃûÆø)
|
[ÇóÖú]
ÄÜ·ñÓÃMatlab Çó½â·ÇÏßÐԹ滮
|
|
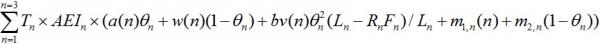
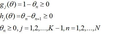
¾ßÌåËãʽ¼û¸½¼þ£¬ÆäÖÐT£¬AEI£¬a,w,m,v,L,F¶¼ÊÇnµÄÒ»´Îº¯Êý£¬ÄÜ·ñÇó½â³öÒ»¸öÓÃËüÃDZíʾµÄ¦ÈÖµ£¬ÊǵÄÄ¿±êº¯Êý×îС [5E8}OK3LQIE4`D0~D1GPEF.jpg ]RA8MSR2B6XE1H@{W7_7F8T.jpg |
» ²ÂÄãϲ»¶
297Çóµ÷¼Á
ÒѾÓÐ16È˻ظ´
326·Ö£¬Ò»Ö¾Ô¸»¦9£¬ÇóÉúÎïѧµ÷¼Á
ÒѾÓÐ4È˻ظ´
288Çóµ÷¼Á£¬Ò»Ö¾Ô¸»ªÄÏÀí¹¤´óѧ071005
ÒѾÓÐ3È˻ظ´
304Çóµ÷¼Á
ÒѾÓÐ13È˻ظ´
µ÷¼Á
ÒѾÓÐ18È˻ظ´
293µ÷¼Á
ÒѾÓÐ4È˻ظ´
338Çóµ÷¼Á
ÒѾÓÐ7È˻ظ´
263Çóµ÷¼Á
ÒѾÓÐ3È˻ظ´
Çóµ÷¼Á
ÒѾÓÐ15È˻ظ´
»úе¹¤³Ì264ѧ˶Çóµ÷¼Á
ÒѾÓÐ3È˻ظ´
» ±¾Ö÷ÌâÏà¹Ø¼ÛÖµÌùÍÆ¼ö£¬¶ÔÄúͬÑùÓаïÖú:
ÇóÖúmatlab½â·ÇÏßÐԹ滮¡£Çó´úÂë¡£
ÒѾÓÐ13È˻ظ´
¹ØÓÚmatlabÏßÐԹ滮 ±³°üÎÊÌâµÄ ½â·¨ Çó¾Èѽ~~·½³ÌÖªµÀ µ«²»ÖªµÀÈçºÎ½â´ð¡¤¡¤¡¤¡¤
ÒѾÓÐ4È˻ظ´
1stopt»òmatlabÈçºÎÇó½âÒÔϵķÇÏßÐÔ·½³Ì²¢ÄâºÏ³öÏàÓ¦ÇúÏߣ¿
ÒѾÓÐ13È˻ظ´
matlabÇó½â·ÇÏßÐÔ·½³Ì×é
ÒѾÓÐ16È˻ظ´
ÇóÖúÓйØMatlabÓÐÔ¼Êø·ÇÏßÐÔ×îÓÅ»¯ÎÊÌâ
ÒѾÓÐ9È˻ظ´
Çó¸ßÈËÖ¸µãÓÃmatlabÇó½â·ÇÏßÐÔ·½³Ì×飬½â¾öÁË×·¼Ó100½ð±Ò£»
ÒѾÓÐ11È˻ظ´
matlab·ÇÏßÐÔ²ÎÊýÄâºÏÎÊÌâ
ÒѾÓÐ7È˻ظ´
´ó¹æÄ£ÓÅ»¯ÊýÖµ¼ÆË㣬ÌݶȵļÆË㷽ʽÌÖÂÛ
ÒѾÓÐ24È˻ظ´
matlabµÄfsove ÃüÁîÇó½â·ÇÏßÐÔ·½³Ì×é
ÒѾÓÐ6È˻ظ´
¡¾ÇóÖú¡¿matlabÇó½â·ÇÏßÐÔ·½³Ì×飬²¢»Í¼´¦Àí¡£ÒªÇóy,zÊÇʵÊý½â£¡
ÒѾÓÐ18È˻ظ´
¡¾ÇóÖú¡¿Çó½Ìmatlab½â·ÇÏßÐÔ·½³Ì×é
ÒѾÓÐ9È˻ظ´

ÇåȪÁ÷ÐÄ
½ð³æ (СÓÐÃûÆø)
- Ó¦Öú: 0 (Ó×¶ùÔ°)
- ½ð±Ò: 269.1
- É¢½ð: 65
- ºì»¨: 1
- Ìû×Ó: 101
- ÔÚÏß: 38.3Сʱ
- ³æºÅ: 1151898
- ×¢²á: 2010-11-20
- ÐÔ±ð: MM
- רҵ: ¹¤Òµ¹¤³ÌÓë¹ÜÀí

2Â¥2012-09-04 12:33:03
drizzlem
Ìú³æ (³õÈëÎÄ̳)
- Ó¦Öú: 0 (Ó×¶ùÔ°)
- ½ð±Ò: 86.9
- Ìû×Ó: 33
- ÔÚÏß: 6.2Сʱ
- ³æºÅ: 1446787
- ×¢²á: 2011-10-17
- רҵ: ¹¤Òµ¹¤³ÌÓë¹ÜÀí
3Â¥2012-10-24 16:10:41
ÇåȪÁ÷ÐÄ
½ð³æ (СÓÐÃûÆø)
- Ó¦Öú: 0 (Ó×¶ùÔ°)
- ½ð±Ò: 269.1
- É¢½ð: 65
- ºì»¨: 1
- Ìû×Ó: 101
- ÔÚÏß: 38.3Сʱ
- ³æºÅ: 1151898
- ×¢²á: 2010-11-20
- ÐÔ±ð: MM
- רҵ: ¹¤Òµ¹¤³ÌÓë¹ÜÀí

4Â¥2013-03-27 13:20:59
lzz654321
ľ³æ (ÖøÃûдÊÖ)
´Õ»î
- Ó¦Öú: 15 (СѧÉú)
- ½ð±Ò: 4792.9
- É¢½ð: 174
- ºì»¨: 28
- Ìû×Ó: 2003
- ÔÚÏß: 546.9Сʱ
- ³æºÅ: 2405403
- ×¢²á: 2013-04-07
- ÐÔ±ð: GG
- רҵ: ½ðÈÚѧ
5Â¥2014-03-05 13:42:04














»Ø¸´´ËÂ¥