²é¿´: 552  |  »Ø¸´: 2

icymoon

гæ (³õÈëÎÄ̳)

[ÇóÖú] Äܲ»ÄܰïæËãÒ»¸ö¶¨»ý·Ö°¡ ÒÑÓÐ2È˲ÎÓë

ÒÑ×÷Ϊ¸½¼þÉÏ´«£¬
±¾ÈË´ÓÊÂÉú̬ѧÑо¿£¬
»ý·ÖµÄÒâÒå
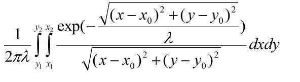
Æäʵ¸ø¶¨Ò»¸ödispersal kernel, ÒªËã³öÖÖ×ÓÂäÔÚij¸ö·½¿òÀïÃæµÄ¸ÅÂÊ¡£Ð»Ð»£¡

Äܲ»ÄܰïæËãÒ»¸ö¶¨»ý·Ö°¡
¶¨»ý·Ö.jpg
»Ø¸´´ËÂ¥

» ²ÂÄãϲ»¶

» ±¾Ö÷ÌâÏà¹Ø¼ÛÖµÌùÍÆ¼ö£¬¶ÔÄúͬÑùÓаïÖú:

ÒÑÔÄ   »Ø¸´´ËÂ¥   ¹Ø×¢TA ¸øTA·¢ÏûÏ¢ ËÍTAºì»¨ TAµÄ»ØÌû

handsomeys

гæ (³õÈëÎÄ̳)

¡¾´ð°¸¡¿Ó¦Öú»ØÌû

¡ï ¡ï ¡ï ¡ï ¡ï ¡ï ¡ï ¡ï ¡ï ¡ï
¸Ðл²ÎÓ룬ӦÖúÖ¸Êý +1
feixiaolin: ½ð±Ò+10, ½±ÀøÐ³æÓ¦Öú 2014-05-28 12:54:49
Õâ¸öÄãÏÈת»»µ½ÒÔ(x0,y0)ΪÖÐÐĵļ«×ø±êÉÏÈ¥£¬¾Í»á·¢ÏÖ»ý·Ö¿ÉÒÔת»»ÎªGamma(0)ÇóÖµµÄÎÊÌâ, ËüÔÚÒ»¶¨µÄ»ý·ÖÓòÉÏÊÇÈ¡ÎÞÇî´óµÄ£¬¶ÔÓÚÄã×Ô¼º¾ßÌåµÄ»ý·ÖÓò£¬½¨ÒéÓÃÊýÖµ¼ÆËã¹À¼ÆÒ»ÏÂȡֵ£¬¾ÝÎÒËùÖª£¬Õâ¸ö»ý·ÖµÄ½âÎö±í´ïÊÇûÓеġ£
Å®²©Ò»Ã¶
2Â¥2014-05-28 12:24:28
ÒÑÔÄ   »Ø¸´´ËÂ¥   ¹Ø×¢TA ¸øTA·¢ÏûÏ¢ ËÍTAºì»¨ TAµÄ»ØÌû

peterflyer

ľ³æÖ®Íõ (ÎÄѧ̩¶·)

peterflyer


¡¾´ð°¸¡¿Ó¦Öú»ØÌû

¸Ðл²ÎÓ룬ӦÖúÖ¸Êý +1
Õâ¸ö»ý·Ö»ý²»³öÀ´£¬Ö»ÄÜÇóÊýÖµ½üËÆ½â¡£
¿ÉÁîx=(x1+x2)/2+(x2-x1)/2*tºÍy=(y1+y2)+(y2-y1)/2*t£¬½«x¡¢yµÄ»ý·ÖÏÞÓÉ[x1,x2]ºÍ[y1,y2]È«²¿×ª»»³É[-1£¬1],È»ºó°´¸ß˹-ÀÕÈõÂÊýÖµ»ý·Ö¹«Ê½¼ÆËã¡£
3Â¥2014-05-28 16:27:16
ÒÑÔÄ   »Ø¸´´ËÂ¥   ¹Ø×¢TA ¸øTA·¢ÏûÏ¢ ËÍTAºì»¨ TAµÄ»ØÌû
Ïà¹Ø°æ¿éÌø×ª ÎÒÒª¶©ÔÄÂ¥Ö÷ icymoon µÄÖ÷Ìâ¸üÐÂ
×î¾ßÈËÆøÈÈÌûÍÆ¼ö [²é¿´È«²¿] ×÷Õß »Ø/¿´ ×îºó·¢±í
[¿¼ÑÐ] 0703»¯Ñ§µ÷¼Á£¬Çóµ¼Ê¦ÊÕ +7 ÌìÌìºÃÔËÀ´Éϰ¶° 2026-03-24 7/350 2026-03-24 20:26 by peike
[¿¼ÑÐ] Ò»Ö¾Ô¸±±»¯315 Çóµ÷¼Á +3 akrrain 2026-03-24 3/150 2026-03-24 19:35 by ÁËÁËÁËÁË¡£¡£
[¿¼ÑÐ] ÊÕ08µ÷¼ÁÉú +6 komorebi69 2026-03-18 6/300 2026-03-24 19:09 by Íô£¡£¿£¡
[¿¼ÑÐ] 321Çóµ÷¼Á +4 Ymlll 2026-03-24 4/200 2026-03-24 14:44 by sprinining
[¿¼ÑÐ] 293Çóµ÷¼Á +6 ¼ÓÒ»Ò»¾Å 2026-03-24 6/300 2026-03-24 14:29 by JourneyLucky
[¿¼ÑÐ] 081700 µ÷¼Á 267·Ö +9 ÃÔÈ˵Ĺþ¹þ 2026-03-23 9/450 2026-03-24 11:58 by 544594351
[¿¼ÑÐ] Ò»Ö¾Ô¸¼ª´ó»¯Ñ§322Çóµ÷¼Á +4 17501029541 2026-03-23 6/300 2026-03-24 10:21 by ´÷Χ²±µÄСÎÃ×Ó
[¿¼ÑÐ] Ò»Ö¾Ô¸ÖÐÄÏ´óѧ»¯Ñ§Ñ§Ë¶0703×Ü·Ö337Çóµ÷¼Á +5 niko- 2026-03-22 5/250 2026-03-23 22:01 by fuyu_
[¿¼ÑÐ] ²ÄÁÏר˶ӢһÊý¶þ306 +8 z1z2z3879 2026-03-18 8/400 2026-03-23 20:49 by baobaoye
[¿¼ÑÐ] 293Çóµ÷¼Á +3 ÌÎÌÎWjt 2026-03-22 5/250 2026-03-22 22:21 by jiangpengfei
[»ù½ðÉêÇë] ɽ¶«Ê¡ÃæÉÏÏîÄ¿ÏÞ¶îÆÀÉó +4 ʯÈð0426 2026-03-19 4/200 2026-03-22 08:50 by Wei_ren
[¿¼ÑÐ] 307Çóµ÷¼Á +3 ÓàÒâÇä 2026-03-18 3/150 2026-03-21 17:31 by ColorlessPI
[¿¼ÑÐ] 330Çóµ÷¼Á0854 +3 assdll 2026-03-21 3/150 2026-03-21 13:01 by ²«»÷518
[¿¼ÑÐ] Ò»Ö¾Ô¸ Î÷±±´óѧ £¬070300»¯Ñ§Ñ§Ë¶£¬×Ü·Ö287£¬Ë«·ÇÒ»±¾£¬Çóµ÷¼Á¡£ +3 ³¿»èÏßÓëÐǺ£ 2026-03-18 3/150 2026-03-21 00:46 by JourneyLucky
[¿¼ÑÐ] 296Çóµ÷¼Á +6 www_q 2026-03-18 10/500 2026-03-20 23:56 by JourneyLucky
[¿¼ÑÐ] 295Çóµ÷¼Á +4 Ò»Ö¾Ô¸¾©Çø211 2026-03-18 6/300 2026-03-20 23:41 by JourneyLucky
[¿¼ÑÐ] 321Çóµ÷¼Á +9 ºÎÈó²É123 2026-03-18 11/550 2026-03-20 23:19 by JourneyLucky
[¿¼ÑÐ] Ò»Ö¾Ô¸Öк£Ñó²ÄÁϹ¤³Ìר˶330·ÖÇóµ÷¼Á +8 С²Ä»¯±¾¿Æ 2026-03-18 8/400 2026-03-20 23:16 by JourneyLucky
[¿¼ÑÐ] Ò»Ö¾Ô¸ÄÏÀí¹¤085701»·¾³302Çóµ÷¼ÁԺУ +3 ¿ûè÷ÎÀ¶Ó 2026-03-20 3/150 2026-03-20 19:28 by zhukairuo
[¿¼ÑÐ] ÕÐÊÕµ÷¼Á˶ʿ +4 lidianxing 2026-03-19 12/600 2026-03-20 12:25 by lidianxing
ÐÅÏ¢Ìáʾ
ÇëÌî´¦ÀíÒâ¼û