版块导航
正在加载中...
客户端APP下载
论文辅导
调剂小程序
登录
注册
帖子
帖子
用户
本版
应《网络安全法》要求,自2017年10月1日起,未进行实名认证将不得使用互联网跟帖服务。为保障您的帐号能够正常使用,请尽快对帐号进行手机号验证,感谢您的理解与支持!
24小时热门版块排行榜
>
论坛更新日志
(3542)
>
虫友互识
(429)
>
休闲灌水
(243)
>
文献求助
(241)
>
导师招生
(190)
>
考博
(93)
>
考研
(89)
>
硕博家园
(59)
>
博后之家
(56)
>
论文投稿
(49)
>
基金申请
(41)
>
教师之家
(39)
>
公派出国
(35)
>
论文道贺祈福
(34)
>
招聘信息布告栏
(33)
>
找工作
(28)
小木虫论坛-学术科研互动平台
»
材料区
»
功能材料
»
半导体
»
求助关于公式的推导
2
1/1
返回列表
查看: 485 | 回复: 1
只看楼主
@他人
存档
新回复提醒
(忽略)
收藏
在APP中查看
gaokaoheima
银虫
(小有名气)
应助: 0
(幼儿园)
金币: 440.8
帖子: 112
在线: 75.8小时
虫号: 1429844
注册: 2011-10-07
专业: 半导体晶体与薄膜材料
[
求助
]
求助关于公式的推导
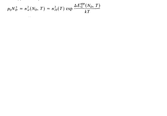
这是n型半导体Si在重掺杂时关于禁带变窄效应的公式,但在文献里并没有提及这个公式是怎么推导出来的,只说了在重掺杂时,禁带变窄只与少数载流子浓度有关,而多子载流子浓度等于电离施主浓度,然后就得到了这个公式。。我想知道这个公式的具体推导,求前辈指点。。不胜感激。。
未命名.PNG
回复此楼
» 猜你喜欢
售SCI一区文章,我:8 O5 51O 54,科目齐全,可+急
已经有3人回复
售SCI一区文章,我:8 O5 51O 54,科目齐全,可+急
已经有6人回复
为什么中国大学教授们水了那么多所谓的顶会顶刊,但还是做不出宇树机器人?
已经有4人回复
版面费该交吗
已经有4人回复
面上可以超过30页吧?
已经有3人回复
售SCI一区文章,我:8 O5 51O 54,科目齐全,可+急
已经有6人回复
售SCI一区文章,我:8 O5 51O 54,科目齐全,可+急
已经有3人回复
售SCI一区文章,我:8 O5 51O 54,科目齐全,可+急
已经有4人回复
售SCI一区文章,我:8 O5 51O 54,科目齐全,可+急
已经有3人回复
售SCI一区文章,我:8 O5 51O 54,科目齐全,可+急
已经有4人回复
» 本主题相关价值贴推荐,对您同样有帮助:
一个级数求和的问题?
已经有12人回复
如何查看word中已有公式的尺寸
已经有3人回复
雷诺数物理意义的公式推导
已经有5人回复
求助解释一个数学公式
已经有6人回复
求助一个固体的公式推导。
已经有4人回复
请教数学建模--公式推导问题,专业外虫子求助!!!!
已经有5人回复
求助一个矢量公式的推导
已经有3人回复
求解释一个 公式 来自《排水工程》 张自杰 急 多谢了 !!
已经有8人回复
解释一下公式中的这几个数据的意思,有截图
已经有5人回复
高等数学积分表推导全过程
已经有471人回复
求助:变化电场产生磁场的公式 B=(1/c)E叉乘v 的推导过程
已经有3人回复
求一个公式的推导过程。
已经有13人回复
[求助]液体或者水的挥发速度的推导计算公式
已经有7人回复
简单数学公式如何求一条直线和面的夹角
已经有6人回复
急切请教关于范数求导的问题
已经有10人回复
布拉格衍射公式
已经有18人回复
求助:西格玛求和公式推导问题
已经有19人回复
有人把南大《物化》所有公式推导过吗?【请斑竹把本标题设为高亮方便交流谢谢!】
已经有32人回复
【请教】谢乐公式
已经有5人回复
【求助】[求助]斯托克斯公式物理意义
已经有14人回复
【求助】推导公式为什么把e、h当做1看待
已经有5人回复
【求助】请教级数求和【已解决】
已经有8人回复
【求助】这个怪异公式是如何推导出来的?
已经有9人回复
[原创心得]将 Mathematica 推导出来的公式直接导入 WORD 文件的方法
已经有24人回复
1楼
2014-05-24 22:58:49
已阅
回复此楼
关注TA
给TA发消息
送TA红花
TA的回帖
gaokaoheima
银虫
(小有名气)
应助: 0
(幼儿园)
金币: 440.8
帖子: 112
在线: 75.8小时
虫号: 1429844
注册: 2011-10-07
专业: 半导体晶体与薄膜材料
补充一下,式子中能量变化表示禁带收缩量
[ 发自手机版 http://muchong.com/3g ]
赞
一下
回复此楼
2楼
2014-05-24 23:13:53
已阅
回复此楼
关注TA
给TA发消息
送TA红花
TA的回帖
相关版块跳转
材料综合
材料工程
微米和纳米
晶体
金属
无机非金属
生物材料
功能材料
复合材料
我要订阅楼主
gaokaoheima
的主题更新
2
1/1
返回列表
如果回帖内容含有宣传信息,请如实选中。否则帐号将被全论坛禁言
普通表情
龙
兔
虎
猫
百度网盘
|
360云盘
|
千易网盘
|
华为网盘
在新窗口页面中打开自己喜欢的网盘网站,将文件上传后,然后将下载链接复制到帖子内容中就可以了。
信息提示
关闭
请填处理意见
关闭
确定