| ²é¿´: 1299 | »Ø¸´: 7 | ||
Edstrayer°æÖ÷ (ÖøÃûдÊÖ)
·½´ç¶·ÊÒСÌìµØÕýÆøÃÔÂþ´óÊÀ½ç
|
[½»Á÷]
Ò»¸ö·´³£»ý·ÖµÄ¼ÆËã ÒÑÓÐ4È˲ÎÓë
|
» ±¾Ö÷ÌâÏà¹Ø¼ÛÖµÌùÍÆ¼ö£¬¶ÔÄúͬÑùÓаïÖú:
Çó½ÌÒÑÖª½ÚµãµÄº¯ÊýÖµÓëµ¼ÊýÖµµÄ»ý·Ö·½°¸
ÒѾÓÐ5È˻ظ´
¹ØÓڸ߷Ö×Ó·Ö×ÓÁ¿ºÍPDI¼ÆËãµÄÒ»¸öÒÉÎÊ
ÒѾÓÐ13È˻ظ´
Çë½ÌÉúÎïÊýѧרҵµÄ³æ×ÓÒ»¸öÎÊÌ⣬¹ØÓÚ³£ÓüÆËã»úÈí¼þ¼°·½·¨
ÒѾÓÐ5È˻ظ´
ÇóÖúÒ»¸ö¹ØÓÚ¼ÆËã´Å×èµÄ¶¨»ý·Ö
ÒѾÓÐ4È˻ظ´
Çóһʽ×ӵĻý·Ö
ÒѾÓÐ12È˻ظ´
ÌØÊ⺯ÊýÇó½â¸ßÊÖÇë½ø£¬Õâ¸öÀàËÆÓÚGammaº¯ÊýµÄ¶¨»ý·ÖÄÜ·ñÇó½â£¿
ÒѾÓÐ12È˻ظ´
Çë½ÌÒ»¸ö³ä·ÅµçÇúÏß¼ÆËã±ÈµçÈÝÎÊÌâ
ÒѾÓÐ9È˻ظ´
Ï빺ÂòÒ»¸ö¼ÆËãµÄ·þÎñÆ÷£¡
ÒѾÓÐ3È˻ظ´
·´³£»ý·ÖÇó½â»ó°¡£¡£¡£¡
ÒѾÓÐ11È˻ظ´
MatlabÖÐÈçºÎ×Ô¼º¶¨ÒåÒ»¸öк¯Êý£¬È»ºó¼ÆËãʱ¿ÉÒÔµ÷Óã¿
ÒѾÓÐ12È˻ظ´
Çë½ÌÒ»¸ö»ý·ÖÓÃÁôÊý¶¨Àí¼ÆËãµÄÎÊÌâ
ÒѾÓÐ15È˻ظ´
Çó½âÒ»¸ö·´³£»ý·Ö
ÒѾÓÐ8È˻ظ´
ÇëÎÊMS¾¹ý¼ÆËãÖ®ºóÄÜÖªµÀÒ»¸ö¼üµÄ¼üÄÜÂð£¿
ÒѾÓÐ3È˻ظ´
Çó½Ì£º·´³£»ý·ÖµÄ±»»ýº¯ÊýµÄÓнçÐÔÎÊÌâ
ÒѾÓÐ10È˻ظ´
ÇóÒ»¸ömathmeticaµÄ³ÌÐò
ÒѾÓÐ10È˻ظ´
ÓÃÒѼÆËãºÃµÄÁ÷³¡ÖеÄij¸öÃæµÄÊý¾Ý×öΪ¼ÆËãÁíÒ»¸öÁ÷³¡µÄijһ½ø¿ÚÃæµÄ±ß½çÌõ¼þ
ÒѾÓÐ7È˻ظ´
¡¾×ÊÔ´¡¿Ò»¸ö¼òµ¥µÄ¼ÆËãɫ׸±êµÄÈí¼þºÍÆäÓ÷¨
ÒѾÓÐ397È˻ظ´
¡¾¾Ñé¡¿·¢Ò»¸ö¼ÆËãGPAµÄ¹¤¾ßÏ£Íû¶Ô´ó¼ÒÓÐÓÃ
ÒѾÓÐ35È˻ظ´
¡¾ÇóÖú¡¿Ò»¸ö¼òµ¥µÄgap¼ÆËãÎÊÌâ
ÒѾÓÐ9È˻ظ´

Edstrayer
°æÖ÷ (ÖøÃûдÊÖ)
·½´ç¶·ÊÒСÌìµØÕýÆøÃÔÂþ´óÊÀ½ç
- ÊýѧEPI: 7
- Ó¦Öú: 157 (¸ßÖÐÉú)
- ¹ó±ö: 0.927
- ½ð±Ò: 9349.6
- É¢½ð: 4503
- ºì»¨: 77
- ɳ·¢: 2
- Ìû×Ó: 2745
- ÔÚÏß: 1465.6Сʱ
- ³æºÅ: 3086598
- ×¢²á: 2014-03-25
- ¹ÜϽ: Êýѧ

2Â¥2014-04-09 12:28:05
mathstudy
½ð³æ (ÕýʽдÊÖ)
- ÊýѧEPI: 2
- Ó¦Öú: 161 (¸ßÖÐÉú)
- ½ð±Ò: 4320.1
- É¢½ð: 38
- ºì»¨: 16
- Ìû×Ó: 446
- ÔÚÏß: 141.1Сʱ
- ³æºÅ: 2515489
- ×¢²á: 2013-06-20
- ÐÔ±ð: GG
- רҵ: ¼ÆËãÊýѧÓë¿ÆÑ§¹¤³Ì¼ÆËã
3Â¥2014-04-09 18:01:06
vect
ÖÁ×ðľ³æ (ÖøÃûдÊÖ)
- Ó¦Öú: 171 (¸ßÖÐÉú)
- ½ð±Ò: 18942.5
- É¢½ð: 31
- ºì»¨: 19
- Ìû×Ó: 2033
- ÔÚÏß: 938.3Сʱ
- ³æºÅ: 545022
- ×¢²á: 2008-04-13
- ÐÔ±ð: GG
- רҵ: Êýѧ
4Â¥2014-04-11 12:55:21
1314168apple
½ð³æ (ÖªÃû×÷¼Ò)
- Ó¦Öú: 68 (³õÖÐÉú)
- ½ð±Ò: 677
- ºì»¨: 12
- Ìû×Ó: 6872
- ÔÚÏß: 1462.3Сʱ
- ³æºÅ: 287760
- ×¢²á: 2006-10-21
- רҵ: É«Æ×·ÖÎö
¡ï
Сľ³æ: ½ð±Ò+0.5, ¸ø¸öºì°ü£¬Ð»Ð»»ØÌû
Сľ³æ: ½ð±Ò+0.5, ¸ø¸öºì°ü£¬Ð»Ð»»ØÌû
|
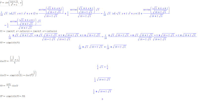
Sin18=Cos72 £º https://iask.sina.com.cn/b/15382408.html ÎÞ±êÌâ.png |

5Â¥2014-04-11 13:31:57
Edstrayer
°æÖ÷ (ÖøÃûдÊÖ)
·½´ç¶·ÊÒСÌìµØÕýÆøÃÔÂþ´óÊÀ½ç
- ÊýѧEPI: 7
- Ó¦Öú: 157 (¸ßÖÐÉú)
- ¹ó±ö: 0.927
- ½ð±Ò: 9349.6
- É¢½ð: 4503
- ºì»¨: 77
- ɳ·¢: 2
- Ìû×Ó: 2745
- ÔÚÏß: 1465.6Сʱ
- ³æºÅ: 3086598
- ×¢²á: 2014-03-25
- ¹ÜϽ: Êýѧ

6Â¥2014-04-11 19:55:04
hank612
ÖÁ×ðľ³æ (ÖøÃûдÊÖ)
- ÊýѧEPI: 14
- Ó¦Öú: 225 (´óѧÉú)
- ½ð±Ò: 14270.6
- É¢½ð: 1055
- ºì»¨: 95
- Ìû×Ó: 1526
- ÔÚÏß: 1375.8Сʱ
- ³æºÅ: 2530333
- ×¢²á: 2013-07-03
- ÐÔ±ð: GG
- רҵ: ÀíÂۺͼÆË㻯ѧ

7Â¥2014-04-13 12:05:44
Edstrayer
°æÖ÷ (ÖøÃûдÊÖ)
·½´ç¶·ÊÒСÌìµØÕýÆøÃÔÂþ´óÊÀ½ç
- ÊýѧEPI: 7
- Ó¦Öú: 157 (¸ßÖÐÉú)
- ¹ó±ö: 0.927
- ½ð±Ò: 9349.6
- É¢½ð: 4503
- ºì»¨: 77
- ɳ·¢: 2
- Ìû×Ó: 2745
- ÔÚÏß: 1465.6Сʱ
- ³æºÅ: 3086598
- ×¢²á: 2014-03-25
- ¹ÜϽ: Êýѧ

8Â¥2014-04-18 01:36:26














»Ø¸´´ËÂ¥
Edstrayer