²é¿´: 936  |  »Ø¸´: 6

µÎàªàª

Ìú³æ (³õÈëÎÄ̳)

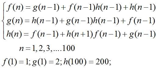
[ÇóÖú] ¹¹½¨ÈçÏÂÒ»¸ö·ÇÏßÐÔ·½³Ì×éµÄµü´ú·¨ ÒÑÓÐ2È˲ÎÓë

֮ǰÕâ¸öÌû×Ó·¢´íÁËλÖã¬Ö»ÄÜÓÃͼƬ¸ñʽչʾÁË
Ò²¿ÉÒÔתµ½´Ë´¦²é¿´Ô­Ìûhttp://muchong.com/bbs/viewthread.php?tid=7074023
¹¹½¨ÈçÏÂÒ»¸ö·ÇÏßÐÔ·½³Ì×éµÄµü´ú·¨
d.png


¹¹½¨ÈçÏÂÒ»¸ö·ÇÏßÐÔ·½³Ì×éµÄµü´ú·¨-1
a.jpg

[ Last edited by µÎàªàª on 2014-3-7 at 11:09 ]
»Ø¸´´ËÂ¥

» ²ÂÄãϲ»¶

» ±¾Ö÷ÌâÏà¹Ø¼ÛÖµÌùÍÆ¼ö£¬¶ÔÄúͬÑùÓаïÖú:

ѧÎÞÖ¹¾³
ÒÑÔÄ   »Ø¸´´ËÂ¥   ¹Ø×¢TA ¸øTA·¢ÏûÏ¢ ËÍTAºì»¨ TAµÄ»ØÌû

feixiaolin

ÈÙÓþ°æÖ÷ (ÎÄ̳¾«Ó¢)

ÓÅÐã°æÖ÷

Éèh(1)=x£»
ÒÀ¹«Ê½Ë³´ÎµÝÍÆµÃµ½ h(100)£¬Ò»¸ö¹ØÓÚ±äÁ¿xµÄº¯Êý¡£
Çó½âx£¬ÔÙµÝÍÆÑéÖ¤Ò»´Î¡£
OK£¿
2Â¥2014-03-07 12:59:20
ÒÑÔÄ   »Ø¸´´ËÂ¥   ¹Ø×¢TA ¸øTA·¢ÏûÏ¢ ËÍTAºì»¨ TAµÄ»ØÌû

cooooldog

Ìú¸Ëľ³æ (ÖøÃûдÊÖ)

ส็็็

¡¾´ð°¸¡¿Ó¦Öú»ØÌû

¸Ðл²ÎÓ룬ӦÖúÖ¸Êý +1
°Ñh(n)¹Ì¶¨Îª200ËãËã¿´
ส็็็็็็็็็็็็็็็็็็็็
3Â¥2014-03-07 22:19:26
ÒÑÔÄ   »Ø¸´´ËÂ¥   ¹Ø×¢TA ¸øTA·¢ÏûÏ¢ ËÍTAºì»¨ TAµÄ»ØÌû

dingd

Ìú¸Ëľ³æ (Ö°Òµ×÷¼Ò)

¡¾´ð°¸¡¿Ó¦Öú»ØÌû

¸Ðл²ÎÓ룬ӦÖúÖ¸Êý +1
µÚ3¸ö¹«Ê½Öе÷ÖÓұ߳öÏÖÁË£º"h(n+1)"¶ÔÂð£¬ÊÇ·ñÓ¦¸ÃÊÇ¡°h(n-1)¡±?
4Â¥2014-03-09 22:35:42
ÒÑÔÄ   »Ø¸´´ËÂ¥   ¹Ø×¢TA ¸øTA·¢ÏûÏ¢ ËÍTAºì»¨ TAµÄ»ØÌû

feixiaolin

ÈÙÓþ°æÖ÷ (ÎÄ̳¾«Ó¢)

ÓÅÐã°æÖ÷

ÒýÓûØÌû:
4Â¥: Originally posted by dingd at 2014-03-09 22:35:42
µÚ3¸ö¹«Ê½Öе÷ÖÓұ߳öÏÖÁË£º"h(n+1)"¶ÔÂð£¬ÊÇ·ñÓ¦¸ÃÊÇ¡°h(n-1)¡±?

Äѵã¾ÍÔÚÕâÀï
5Â¥2014-03-09 22:51:39
ÒÑÔÄ   »Ø¸´´ËÂ¥   ¹Ø×¢TA ¸øTA·¢ÏûÏ¢ ËÍTAºì»¨ TAµÄ»ØÌû

µÎàªàª

Ìú³æ (³õÈëÎÄ̳)

ÒýÓûØÌû:
2Â¥: Originally posted by feixiaolin at 2014-03-07 12:59:20
Éèh(1)=x£»
ÒÀ¹«Ê½Ë³´ÎµÝÍÆµÃµ½ h(100)£¬Ò»¸ö¹ØÓÚ±äÁ¿xµÄº¯Êý¡£
Çó½âx£¬ÔÙµÝÍÆÑéÖ¤Ò»´Î¡£
OK£¿

ÕâÑùµÝÍÆµÄ½á¹û»áÊÇÔõÑù£¿
ѧÎÞÖ¹¾³
6Â¥2014-03-11 09:33:05
ÒÑÔÄ   »Ø¸´´ËÂ¥   ¹Ø×¢TA ¸øTA·¢ÏûÏ¢ ËÍTAºì»¨ TAµÄ»ØÌû

µÎàªàª

Ìú³æ (³õÈëÎÄ̳)

ÒýÓûØÌû:
3Â¥: Originally posted by cooooldog at 2014-03-07 22:19:26
°Ñh(n)¹Ì¶¨Îª200ËãËã¿´

лл£¡
ѧÎÞÖ¹¾³
7Â¥2014-03-11 09:34:36
ÒÑÔÄ   »Ø¸´´ËÂ¥   ¹Ø×¢TA ¸øTA·¢ÏûÏ¢ ËÍTAºì»¨ TAµÄ»ØÌû
Ïà¹Ø°æ¿éÌø×ª ÎÒÒª¶©ÔÄÂ¥Ö÷ µÎàªàª µÄÖ÷Ìâ¸üÐÂ
×î¾ßÈËÆøÈÈÌûÍÆ¼ö [²é¿´È«²¿] ×÷Õß »Ø/¿´ ×îºó·¢±í
[¿¼ÑÐ] 302Çóµ÷¼Á +4 ½õÒÂÎÀÌÙ½· 2026-03-25 4/200 2026-03-25 16:29 by ¹¦·ò·è¿ñ
[¿¼ÑÐ] 085602 289·ÖÇóµ÷¼Á +7 WWWÎ÷Î÷¸¥Ë¹ 2026-03-24 7/350 2026-03-25 14:28 by 3Strings
[¿¼ÑÐ] ²ÄÁϵ÷¼Á +3 iwinso 2026-03-23 3/150 2026-03-25 11:29 by greychen00
[¿¼ÑÐ] 292Çóµ÷¼Á +4 ¶ì¶ì¶ì¶î¶î¶î¶î¶ 2026-03-25 4/200 2026-03-25 10:37 by barlinike
[¿¼ÑÐ] 07»¯Ñ§280·ÖÇóµ÷¼Á +7 722865 2026-03-23 7/350 2026-03-25 09:29 by aa331100
[¿¼ÑÐ] »¯Ñ§µ÷¼Á +6 yzysaa 2026-03-21 6/300 2026-03-25 09:27 by aa331100
[¿¼ÑÐ] Ò»Ö¾Ô¸ÖÐÄÏ´óѧ»¯Ñ§Ñ§Ë¶0703×Ü·Ö337Çóµ÷¼Á +6 niko- 2026-03-22 6/300 2026-03-25 09:14 by aa331100
[¿¼ÑÐ] ¡¾¿¼Ñе÷¼Á¡¿»¯Ñ§×¨Òµ 281·Ö£¬Ò»Ö¾Ô¸ËÄ´¨´óѧ£¬³ÏÐÄÇóµ÷¼Á +15 ³Ô³Ô³Ô²ÅÓÐÒâÒå 2026-03-19 16/800 2026-03-24 19:51 by ÁËÁËÁËÁË¡£¡£
[¿¼ÑÐ] µ÷¼Á +4 13853210211 2026-03-24 4/200 2026-03-24 19:44 by ms629
[¿¼ÑÐ] Ò»Ö¾Ô¸±±»¯315 Çóµ÷¼Á +3 akrrain 2026-03-24 3/150 2026-03-24 19:35 by ÁËÁËÁËÁË¡£¡£
[¿¼ÑÐ] ²ÄÁÏר˶ÕÒµ÷¼Á +5 ¹þ¹þ¹þºðºðºð¹þ 2026-03-23 5/250 2026-03-24 19:07 by ÁËÁËÁËÁË¡£¡£
[¿¼ÑÐ] »¯¹¤×¨Ë¶Çóµ÷¼Á +3 questionÍì·ç 2026-03-24 3/150 2026-03-24 18:48 by jhhcooi
[¿¼ÑÐ] 070300»¯Ñ§Çóµ÷¼Á +9 Ô·¶¹¶¹ 2026-03-20 9/450 2026-03-24 17:15 by licg0208
[¿¼ÑÐ] 321Çóµ÷¼Á +4 Ymlll 2026-03-24 4/200 2026-03-24 14:44 by sprinining
[¿¼ÑÐ] һ־Ըɽ¶«´óѧҩѧѧ˶Çóµ÷¼Á +3 ¿ª¿ªÐÄÐÄû·³ÄÕ 2026-03-23 4/200 2026-03-24 00:06 by ¿ª¿ªÐÄÐÄû·³ÄÕ
[¿¼ÑÐ] 291 Çóµ÷¼Á +4 »¯¹¤2026½ì±ÏÒµÉ 2026-03-21 5/250 2026-03-23 16:46 by »¯¹¤2026½ì±ÏÒµÉ
[¿¼ÑÐ] 316Çóµ÷¼Á +7 ÁºÜçö© 2026-03-19 7/350 2026-03-23 16:21 by lingjue
[¿¼ÑÐ] Ò»Ö¾Ô¸»ªÖÐũҵ071010£¬×Ü·Ö320Çóµ÷¼Á +5 À§À§À§À§À¤À¤ 2026-03-20 6/300 2026-03-22 17:41 by hxsm
[¿¼ÑÐ] Çóµ÷¼Á +3 .m.. 2026-03-21 4/200 2026-03-21 16:25 by barlinike
[¿¼ÑÐ] 304Çóµ÷¼Á +7 ˾¿Õ. 2026-03-18 7/350 2026-03-20 23:08 by JourneyLucky
ÐÅÏ¢Ìáʾ
ÇëÌî´¦ÀíÒâ¼û