| 查看: 350 | 回复: 1 | |||
agriculture铜虫 (小有名气)
|
[求助]
积分公式求助
|
|
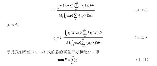
文献中的方程组如图333333中所示。 假如这个方程组的ui(x),只有一个,即平均值(1.2),那么,我是否可以把这个方程组改为11111111 3333333.jpg 1111111.jpg [ Last edited by agriculture on 2013-12-14 at 09:33 ] |
» 猜你喜欢
303求调剂
已经有6人回复
07化学303求调剂
已经有5人回复
332求调剂
已经有6人回复
考研调剂
已经有7人回复
0856求调剂
已经有5人回复
总分293求调剂
已经有6人回复
275求调剂
已经有5人回复
085600 材料与化工 329分求调剂
已经有7人回复
材料与化工328分调剂
已经有6人回复
291 求调剂
已经有6人回复
» 本主题相关价值贴推荐,对您同样有帮助:
求助解释一个数学公式
已经有6人回复
求助微积分计算
已经有9人回复
求助一个固体的公式推导。
已经有4人回复
求助用谢乐公式求晶体尺寸问题
已经有7人回复
excel 公式求助
已经有7人回复
请问这个高斯积分公式的高斯系数和高斯点能笔算出来么?
已经有11人回复
酶活力计算公式,求助啊
已经有5人回复
有个概率公式,有积分。用啥软件可以实现呢?
已经有7人回复
matlab 积分求助
已经有8人回复
关于Matlab算符号积分
已经有6人回复
求助:西格玛求和公式推导问题
已经有19人回复
【求助】注册化工工程师的报考条件,报考时间以及考试科目都是什么?
已经有26人回复
【求助】关于玻尔兹曼公式
已经有29人回复
【求助】数学积分
已经有29人回复
【求助】积分微分方程matlab求解
已经有6人回复
【求助】电极动力学公式求助
已经有4人回复
【求助】[求助]斯托克斯公式物理意义
已经有14人回复
【求助】求2010年注册化工工程师基础考试的考试大纲
已经有4人回复
【求助】如何在Word里输入一个好看的积分符号?
已经有24人回复
【求助】三重积分
已经有9人回复
【求助】求积分程序中被积函数问题
已经有15人回复
【求助】只知道有限个函数值求积分
已经有10人回复
【求助】复变函数中的分部积分公式是否成立
已经有8人回复
feixiaolin
荣誉版主 (文坛精英)
-

专家经验: +518 - 应助: 942 (博后)
- 贵宾: 1.275
- 金币: 3880
- 散金: 58785
- 红花: 532
- 沙发: 11
- 帖子: 24215
- 在线: 2601.8小时
- 虫号: 2139575
- 注册: 2012-11-21
- 专业: 光学信息获取与处理
- 管辖: 数学
2楼2013-12-14 12:24:14













回复此楼