Znn3bq.jpeg
ÉÇÍ·´óѧº£Ñó¿ÆÑ§½ÓÊܵ÷¼Á
²é¿´: 2281  |  »Ø¸´: 0

Âõ°¢ÃÜHEAT

гæ (³õÈëÎÄ̳)

[ÇóÖú] Çó½Ìmatlab ¶þÖØ»ý·ÖÈýάͼµÄ»­·¨£¬¼±¼±¼±¡£¡£¡£


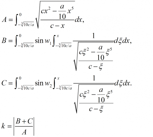
¸½¼þͼƬÖиø³öÁËA,B,C¡£ÏëÒªÓÃk=(B+C)/AÖеÄk,a,c»­Ò»·ùÈýάͼ£¬µ«ÉÏÏÂÏÞÖк¯Êý±äÁ¿£¬ÓÃmatlab±à³ÌÈ´Ôõô¶¼²»ÄÜÔËÐС£¡£¡£³ÌÐò¸½ÉÏÇó½Ìmatlab ¶þÖØ»ý·ÖÈýάͼµÄ»­·¨£¬¼±¼±¼±¡£¡£¡£
Unnamed QQ Screenshot20131124122102.png
»Ø¸´´ËÂ¥

» ±¾Ìû¸½¼þ×ÊÔ´Áбí

  • »¶Ó­¼à¶½ºÍ·´À¡£ºÐ¡Ä¾³æ½öÌṩ½»Á÷ƽ̨£¬²»¶Ô¸ÃÄÚÈݸºÔð¡£
    ±¾ÄÚÈÝÓÉÓû§×ÔÖ÷·¢²¼£¬Èç¹ûÆäÄÚÈÝÉæ¼°µ½ÖªÊ¶²úȨÎÊÌ⣬ÆäÔðÈÎÔÚÓÚÓû§±¾ÈË£¬Èç¶Ô°æÈ¨ÓÐÒìÒ飬ÇëÁªÏµÓÊÏ䣺xiaomuchong@tal.com
  • ¸½¼þ 1 : ackprogram1122.m
  • 2013-11-24 12:27:57, 942 bytes

» ²ÂÄãϲ»¶

ÒÑÔÄ   »Ø¸´´ËÂ¥   ¹Ø×¢TA ¸øTA·¢ÏûÏ¢ ËÍTAºì»¨ TAµÄ»ØÌû

ÖÇÄÜ»úÆ÷ÈË

Robot (super robot)

ÎÒÃǶ¼°®Ð¡Ä¾³æ

ÕÒµ½Ò»Ð©Ïà¹ØµÄ¾«»ªÌû×Ó£¬Ï£ÍûÓÐÓÃŶ~

¿ÆÑдÓСľ³æ¿ªÊ¼£¬ÈËÈËΪÎÒ£¬ÎÒΪÈËÈË
Ïà¹Ø°æ¿éÌø×ª ÎÒÒª¶©ÔÄÂ¥Ö÷ Âõ°¢ÃÜHEAT µÄÖ÷Ìâ¸üÐÂ
×î¾ßÈËÆøÈÈÌûÍÆ¼ö [²é¿´È«²¿] ×÷Õß »Ø/¿´ ×îºó·¢±í
[½Ìʦ֮¼Ò] ת³¤Æ¸ÁË +3 ¼òµ¥»¯xn 2026-04-13 3/150 2026-04-13 14:18 by wwwkkk83
[¿¼ÑÐ] »¯Ñ§070300 Çóµ÷¼Á +17 ¹þ¹þ¹þ^_^ 2026-04-12 17/850 2026-04-13 08:59 by ×ÏêØ×ÏÆå
[¿¼ÑÐ] 277Çóµ÷¼Á +23 Äß½¨Éè 2026-04-06 23/1150 2026-04-13 00:40 by Íõͯ×ÓÁú
[¿¼ÑÐ] Çóµ÷¼Á£¬985²ÄÁÏÓ뻯¹¤348·Ö +9 º­ÖñÁõ 2026-04-11 13/650 2026-04-12 22:40 by º­ÖñÁõ
[¿¼ÑÐ] 346·Ö£¬¹¤¿Æ0854Çóµ÷¼Á£¬×¨Ë¶ +6 moser233 2026-04-12 7/350 2026-04-12 22:11 by fqwang
[¿¼ÑÐ] Ò»Ö¾Ô¸211£¬0703»¯Ñ§305·ÖÇóµ÷¼Á +26 ÑÏÎ÷Î÷Ï· 2026-04-06 33/1650 2026-04-11 23:01 by 314126402
[¿¼ÑÐ] 296Çóµ÷¼Á +14 Íô£¡£¿£¡ 2026-04-08 15/750 2026-04-11 20:28 by dongdian1
[¿¼ÑÐ] Çóµ÷¼Á +3 θ¾·ÂÎÀÛÁË 2026-04-11 5/250 2026-04-11 14:13 by luhong1990
[¿¼ÑÐ] ¹¤¿Æ273µ÷¼Á +6 X1999 2026-04-09 7/350 2026-04-11 10:23 by zhq0425
[¿¼ÑÐ] Ò»Ö¾Ô¸985»úеѧ˶380Çóµ÷¼Á +5 ¹Ø¹ØöÂð¯10 2026-04-11 5/250 2026-04-11 10:10 by ÖªÄî¡£A
[¿¼ÑÐ] Çóµ÷¼Á +13 Ñ©·ê¶¬ 2026-04-10 13/650 2026-04-11 09:58 by Öí»á·É
[¿¼ÑÐ] Ò»Ö¾Ô¸»ªÄÏÀí¹¤´óѧ331·Ö²ÄÁÏÇóµ÷¼Á +9 ÌìÏÂww 2026-04-09 9/450 2026-04-10 22:58 by Ftglcn90
[¿¼ÑÐ] ¿¼Ñе÷¼Á +26 ˶ÐǸ° 2026-04-09 27/1350 2026-04-10 22:24 by Öí»á·É
[¿¼ÑÐ] Çóµ÷¼Á ²ÄÁÏÓ빤³Ì 324·Ö ר˶ +19 ôæôæÒ»ÊéÉú 2026-04-10 21/1050 2026-04-10 11:41 by wp06
[¿¼ÑÐ] Çൺ¿Æ¼¼´óѧ²ÄÁÏѧԺ£¬»·¾³Ñ§Ôºµ÷¼Á²¹Â¼4ÔÂ10ÈÕÒÔǰ¶¼¿ÉÒÔ +3 1Çà¿Æ´ó¡£ 2026-04-09 5/250 2026-04-10 09:58 by ôæôæÒ»ÊéÉú
[¿¼ÑÐ] ¿¼Ñе÷¼Á-²ÄÁÏÀà-284 +28 Ïë»»ÊÖ»ú²»Ïë½âÊ 2026-04-08 28/1400 2026-04-09 20:08 by µ¹Êý321?
[¿¼ÑÐ] 085400µç×ÓÐÅÏ¢Àࣨ´¨´ó¿ØÖƹ¤³Ì£©Çóµ÷¼Á¿É¿çרҵ ÇóÀÏʦÁªÏµ +3 626776879 2026-04-08 3/150 2026-04-09 16:05 by Öí»á·É
[¿¼ÑÐ] ²ÄÁϵ÷¼Á +11 Ò»ÑùYWY 2026-04-07 11/550 2026-04-07 15:13 by shdgaomin
[¿¼ÑÐ] 307Çóµ÷¼Á +3 Youth@@ 2026-04-07 3/150 2026-04-07 09:25 by СºÚ²»ÅÂÄÑ
[¿¼ÑÐ] ¿¼Ñе÷¼Á +3 WwwwwwwÍÛ 2026-04-06 3/150 2026-04-06 20:55 by lbsjt
ÐÅÏ¢Ìáʾ
ÇëÌî´¦ÀíÒâ¼û