| ²é¿´: 3518 | »Ø¸´: 6 | |||
shengjunjieľ³æ (ÕýʽдÊÖ)
|
[½»Á÷]
ÈçºÎÔÚmatlabÖлæÖƺ¬ÓÐÈý¸ö²ÎÊý·½³ÌµÄÈýάͼÐÎ ÒÑÓÐ1È˲ÎÓë
|
|
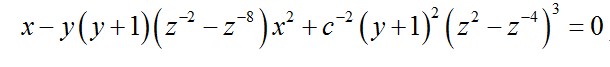
ÈçÏÂÃæ¹«Ê½ ¶Ômatlab²»ÊǺÜÊìϤ£¬Ïë¸ù¾ÝÕâ¸ö¹«Ê½»æÖÆÈçÏÂÈýάͼ£¬ÆäÖÐcÊdz£Êý£¬¿ÉÒÔÈ¥1»òÕß100¡¢1000µÈ£¬¸ÃÈçºÎ±à³Ì£¬Ð»Ð» [ Last edited by shengjunjie on 2011-4-15 at 09:33 ] |
» ²ÂÄãϲ»¶
±±¾©ÄÉÃ×ÄÜÔ´ÓëϵͳÑо¿ËùÍõÖÐÁÖԺʿ/²ÜÄÏÓ±Ñо¿Ô±¿ÎÌâ×éÕÐÊÕ2026˶ʿÑо¿Éú1Ãû
ÒѾÓÐ0È˻ظ´
ɽÎ÷´óͬ´óѧÎïÀíѧ˶ʿÑо¿ÉúÕÐÊÕµ÷¼ÁÉú
ÒѾÓÐ0È˻ظ´
ÎïÀíѧIÂÛÎÄÈóÉ«/·ÒëÔõôÊÕ·Ñ?
ÒѾÓÐ50È˻ظ´
[µ÷¼ÁÐÅÏ¢]211ÖÇÄÜÈ˹¤¸ÐÖª·½Ïò¹ú¼ÒÇàÄêÌØÆ¸×¨¼Ò¿ÎÌâ×éÕÐÊÕµ÷¼ÁÑо¿Éú
ÒѾÓÐ0È˻ظ´
£Ûµ÷¼ÁÐÅÏ¢£Ý211ÖÇÄÜÈ˹¤¸ÐÖª·½Ïò¹ú¼ÒÇàÄêÌØÆ¸×¨¼Ò¿ÎÌâ×éÕÐÊÕµ÷¼ÁÑо¿Éú
ÒѾÓÐ0È˻ظ´
[µ÷¼ÁÐÅÏ¢]211ÖÇÄÜÈ˹¤¸ÐÖª·½Ïò¹ú¼ÒÇàÄêÌØÆ¸×¨¼Ò¿ÎÌâ×éÕÐÊÕµ÷¼ÁÑо¿Éú
ÒѾÓÐ0È˻ظ´
Ò»Ö¾Ô¸ÎïÀíËùÄý¾Û̬ÎïÀí352Çóµ÷¼Á
ÒѾÓÐ0È˻ظ´
0702Ò»Ö¾Ô¸¼ª´óBÇøÇóµ÷¼Á ±¾¿ÆÆÚ¼ä·¢±íһƪSci
ÒѾÓÐ2È˻ظ´
0702Ò»Ö¾Ô¸¼ª´óBÇøÇóµ÷¼Á ±¾¿ÆÆÚ¼ä·¢±íһƪSci
ÒѾÓÐ0È˻ظ´
070200Çóµ÷¼Á£¬Ò»Ö¾Ô¸Ä³211£¬288·Ö
ÒѾÓÐ17È˻ظ´
» ±¾Ö÷ÌâÏà¹Ø¼ÛÖµÌùÍÆ¼ö£¬¶ÔÄúͬÑùÓаïÖú:
pET20bÊÇ·ñº¬ÓÐlac operatorÐòÁÐ
ÒѾÓÐ5È˻ظ´
ÈçºÎÅжϲÄÁϵĴÅÐÔÊÇÈí´Å»¹ÊÇÓÀ´Å
ÒѾÓÐ9È˻ظ´
ÉîɫҩƷÈܽâ¶ÈÈçºÎ×ö£¿
ÒѾÓÐ14È˻ظ´
ÄÚµØ211ÓëÑØº£¶þ±¾£¬ÈçºÎÑ¡Ôñ£¿
ÒѾÓÐ17È˻ظ´
ÈçºÎÈ·¶¨¹ºÂòµÄÄÉÃ×ÒøÖÐÒøµÄº¬Á¿£¿
ÒѾÓÐ5È˻ظ´
ת»¯Âʽӽü100%µÄ·´Ó¦ÈçºÎ¿¼²ìÀ©É¢¶Ô¶¯Á¦Ñ§µÄÓ°Ïì
ÒѾÓÐ3È˻ظ´
ÇëÎÊÈçºÎÕÒµ½ÃÀ¹ú»·±£Êð£¨EPA£©µÄVOCsÅŷűê×¼£¬±ÈÈçÒì±û´¼µÈ£¬·Ç³£¸Ðл£¡£¡1
ÒѾÓÐ5È˻ظ´
ÈçºÎÔÚFDAÏÂÔØÒ©Æ·É걨²ÄÁÏ
ÒѾÓÐ6È˻ظ´
[ÇóÖú]matlab»Ò»¸ö·Ç²ÎÊý·½³ÌµÄÈýάͼÐÎ
ÒѾÓÐ3È˻ظ´
ÈçºÎÔÚmatlabÖлæÖÆÈýάÁ¢Ìåͼ
ÒѾÓÐ13È˻ظ´
originÔõôÓÃÒÑÖª·½³Ì»³öÈýάͼ
ÒѾÓÐ8È˻ظ´

ÑîСÅÖ
½ð³æ (ÕýʽдÊÖ)
- Ó¦Öú: 2 (Ó×¶ùÔ°)
- ½ð±Ò: 1007
- É¢½ð: 100
- ºì»¨: 6
- Ìû×Ó: 936
- ÔÚÏß: 379Сʱ
- ³æºÅ: 454210
- ×¢²á: 2007-11-08
- ÐÔ±ð: MM
- רҵ: ²âÁ¿ÓëµØÍ¼Ñ§
¡ï
Сľ³æ(½ð±Ò+0.5):¸ø¸öºì°ü£¬Ð»Ð»»ØÌû
Сľ³æ(½ð±Ò+0.5):¸ø¸öºì°ü£¬Ð»Ð»»ØÌû
|
¡¾1¡¿ezimplot3 ´æ´¢¸ÃMÎļþ£¬²¢½«Îļþ·¾¶ÉèÖÃΪmatlabµ±Ç°Â·¾¶ function h = ezimplot3(fun,domain,n,color) % EZIMPLOT3 Easy to use 3D implicit plotter. % EZIMPLOT3(FUN) plots the inline function FUN(X,Y,Z) = 0 over the % default domain -2*PI < X < 2*PI, -2*PI < Y < 2*PI, -2*PI < Z < 2*PI. % % EZIMPLOT3(FUN,DOMAIN)plots FUN over the specified DOMAIN instead of the % default domain. DOMAIN can be the vector [XMIN,XMAX,YMIN,YMAX,ZMIN,ZMAX] % or the vector [A,B] (to plot over A < X < B, A < Y < B, A < Z < B). % % EZIMPLOT3(...,N) plots FUN over the default domain using an N-by-N grid. % The default value for N is 60. % % Example % Plot x^3+exp(y)-cosh(z)=4 % % via a string: f='x^3+exp(y)-cosh(z)-4' % ezimplot3(f) % % via a vectorized function handle: f = @(x,y,z) x.^3+exp(y)-cosh(z)-4 % ezimplot3(f) % % Note: this function do not use the ezgraph3 standard, like ezsurf, ezmesh % ,etc, does. Because of that, ezimplot3 only tries to imitate that % interface. A future work must be to modify the ezgraph3 to include a % routine for implicit surfaces based on this file % % Inspired by works of: A.Jutan UWO 02-02-98 ajutan@julian.uwo.ca % Made by: G.Morales UC 03-20-09 gmorales@uc.edu.ve % if nargin == 1 domain = [-2*pi, 2*pi]; % default domain: -2*pi < xi < 2*pi n = 60; % default grid size elseif nargin == 2 n = 60; % just default grid end if size(domain,2) == 2 domain = repmat(domain,1,3); %domain repeated in all variables end xm = linspace(domain(1), domain(2), n); % generating the volume data ym = linspace(domain(3), domain(4), n); zm = linspace(domain(5), domain(6), n); [x,y,z] = meshgrid(xm, ym, zm); if ischar(fun) fun = inline(vectorize(fun)); % making sure string "fun" is vectorized fvalues = feval(fun,x,y,z); % evaluating "fun" in domain elseif isa(fun,'function_handle') fvalues = fun(x,y,z); % evaluating "fun" in domain fun = char(fun); fun = fun(9:end); % pre-formatting of graph title end h = patch(isosurface(x,y,z, fvalues, 0)); %"patch" handles the structure %sent by "isosurface" isonormals(x,y,z,fvalues,h) %Recalculating the isosurface normals based on %the volume data set(h,'FaceColor','red','EdgeColor','none'); xlabel('x');ylabel('y');zlabel('z');% naming the axis alpha(0.8) % adjusting for some transparency grid on view(3) axis equal camlight lighting gouraud title([strrep(char(fun),'.','') ' = 0']); % graph title without "." ¡¾2¡¿ÔÚmatlabÃüÁî´°¿ÚÖÐÊäÈë f='x-y*(y+1)*(z^(-2)-z^(-8))*x^2+(y+1)^2*(z^2-z^(-4))^3/100' ÕâÀïcÎÒ¸øÈ¡ÁË10£¬ËùÒÔc^2=100 |

2Â¥2011-04-21 09:41:30
ÑîСÅÖ
½ð³æ (ÕýʽдÊÖ)
- Ó¦Öú: 2 (Ó×¶ùÔ°)
- ½ð±Ò: 1007
- É¢½ð: 100
- ºì»¨: 6
- Ìû×Ó: 936
- ÔÚÏß: 379Сʱ
- ³æºÅ: 454210
- ×¢²á: 2007-11-08
- ÐÔ±ð: MM
- רҵ: ²âÁ¿ÓëµØÍ¼Ñ§
¡ï
Сľ³æ(½ð±Ò+0.5):¸ø¸öºì°ü£¬Ð»Ð»»ØÌû
Сľ³æ(½ð±Ò+0.5):¸ø¸öºì°ü£¬Ð»Ð»»ØÌû

3Â¥2011-04-21 09:44:06
shengjunjie
ľ³æ (ÕýʽдÊÖ)
- Ó¦Öú: 0 (Ó×¶ùÔ°)
- ½ð±Ò: 3613
- É¢½ð: 208
- ºì»¨: 2
- Ìû×Ó: 320
- ÔÚÏß: 128.7Сʱ
- ³æºÅ: 988929
- ×¢²á: 2010-04-04
- ÐÔ±ð: GG
- רҵ: Ï𽺼°µ¯ÐÔÌå

4Â¥2011-04-21 09:48:33
shengjunjie
ľ³æ (ÕýʽдÊÖ)
- Ó¦Öú: 0 (Ó×¶ùÔ°)
- ½ð±Ò: 3613
- É¢½ð: 208
- ºì»¨: 2
- Ìû×Ó: 320
- ÔÚÏß: 128.7Сʱ
- ³æºÅ: 988929
- ×¢²á: 2010-04-04
- ÐÔ±ð: GG
- רҵ: Ï𽺼°µ¯ÐÔÌå

5Â¥2011-04-21 09:56:52
ÑîСÅÖ
½ð³æ (ÕýʽдÊÖ)
- Ó¦Öú: 2 (Ó×¶ùÔ°)
- ½ð±Ò: 1007
- É¢½ð: 100
- ºì»¨: 6
- Ìû×Ó: 936
- ÔÚÏß: 379Сʱ
- ³æºÅ: 454210
- ×¢²á: 2007-11-08
- ÐÔ±ð: MM
- רҵ: ²âÁ¿ÓëµØÍ¼Ñ§
¡ï
Сľ³æ(½ð±Ò+0.5):¸ø¸öºì°ü£¬Ð»Ð»»ØÌû
Сľ³æ(½ð±Ò+0.5):¸ø¸öºì°ü£¬Ð»Ð»»ØÌû
|
ÉÏÃæµÄmÎļþÀ´×ÔСľ³æ http://muchong.com/html/201006/2180805.html |

6Â¥2011-04-21 12:37:10
shengjunjie
ľ³æ (ÕýʽдÊÖ)
- Ó¦Öú: 0 (Ó×¶ùÔ°)
- ½ð±Ò: 3613
- É¢½ð: 208
- ºì»¨: 2
- Ìû×Ó: 320
- ÔÚÏß: 128.7Сʱ
- ³æºÅ: 988929
- ×¢²á: 2010-04-04
- ÐÔ±ð: GG
- רҵ: Ï𽺼°µ¯ÐÔÌå

7Â¥2011-04-22 12:41:46














»Ø¸´´ËÂ¥