版块导航
正在加载中...
客户端APP下载
论文辅导
申博辅导
登录
注册
帖子
帖子
用户
本版
应《网络安全法》要求,自2017年10月1日起,未进行实名认证将不得使用互联网跟帖服务。为保障您的帐号能够正常使用,请尽快对帐号进行手机号验证,感谢您的理解与支持!
24小时热门版块排行榜
>
论坛更新日志
(3648)
>
虫友互识
(546)
>
文献求助
(236)
>
导师招生
(128)
>
休闲灌水
(74)
>
招聘信息布告栏
(73)
>
考博
(67)
>
博后之家
(53)
>
论文投稿
(40)
>
硕博家园
(31)
>
教师之家
(26)
>
晶体
(22)
>
考研
(22)
>
论文道贺祈福
(20)
>
公派出国
(18)
>
绿色求助(高悬赏)
(16)
小木虫论坛-学术科研互动平台
»
计算模拟区
»
计算模拟
»
matlab求解一个简单的偏微分方程
1
1/1
返回列表
查看: 384 | 回复: 0
只看楼主
@他人
存档
新回复提醒
(忽略)
收藏
在APP中查看
dzipan
银虫
(著名写手)
应助: 9
(幼儿园)
金币: 361.1
散金: 60
红花: 1
沙发: 1
帖子: 1826
在线: 272小时
虫号: 673959
注册: 2008-12-13
性别: GG
专业: 河口海岸学
[
求助
]
matlab求解一个简单的偏微分方程
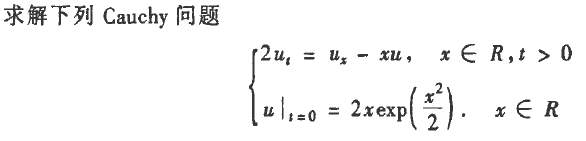
怎样用matlab求解如下的偏微分方程?求程序,急用
problem.JPG
其解析解为
解析解.jpg
[
Last edited by dzipan on 2013-11-17 at 11:56
]
回复此楼
» 猜你喜欢
反铁磁体中的磁性切换:两种不同的机制已成功可视化
已经有0人回复
求标准粉末衍射卡号 ICDD 01-076-1802
已经有0人回复
物理学I论文润色/翻译怎么收费?
已经有123人回复
新西兰Robinson研究所招收全奖PhD
已经有0人回复
石墨烯转移--二氧化硅衬底石墨烯
已经有0人回复
笼目材料中量子自旋液体基态的证据
已经有0人回复
数学教学论硕士可以读数学物理博士吗?
已经有0人回复
德国亥姆霍兹Hereon中心汉堡分部招镁合金腐蚀裂变SCC课题方向2026公派博士生
已经有4人回复
澳门大学 应用物理及材料工程研究院 潘晖教授课题组诚招博士后
已经有11人回复
1楼
2013-11-17 11:53:33
已阅
回复此楼
关注TA
给TA发消息
送TA红花
TA的回帖
智能机器人
Robot
(super robot)
我们都爱小木虫
找到一些相关的精华帖子,希望有用哦~
matlab如何求解一个非线性微分方程组
已经有8人回复
请教MATLAB中的LMI求解问题,急!!!
已经有7人回复
求解一个二阶偏微分方程~~有结果,但是不知道中间过程(完美解决者答谢100¥)~
已经有4人回复
偏微分方程数值计算书籍推荐
已经有10人回复
有限差分离散二阶偏微分方程后如何编译matlab程序解方程组?
已经有3人回复
求助:如何用MATLAB的偏微分方程工具箱画出不同区域内的温度分布图?
已经有5人回复
请教大家一个反卷积的问题~~帮忙推导或者matlab编程计算~~
已经有5人回复
matlab仿自适应估计,其中一个量怎么调都不趋于稳定
已经有5人回复
这样一个偏微分方程有没有解析解?
已经有4人回复
matlab 积分求助
已经有8人回复
Matlab求解偏微分方程组
已经有22人回复
怎么用MATLAB生成一个三维的Shepp-Logan头骨模型并保存下来,谢谢了
已经有5人回复
MATLAB求解一个比较复杂的方程
已经有14人回复
一个复杂式子的MATLAB解算
已经有8人回复
【求助】matlab 求解微分方程中的未知参数
已经有20人回复
【求助】matlab求解一个简单的积分(急!!!)
已经有7人回复
【求助】向各位大侠求助matlab求解微分方程组遇到的一个问题
已经有21人回复
【求助】同样一个问题用matlab和fortran编程计算,结果相差比较大,不知道为什么
已经有4人回复
【求助】MATLAB 有限差分法(FDM)求解偏微分方程
已经有22人回复
【求助】积分微分方程matlab求解
已经有6人回复
【求助】求助PDEPE函数求解高阶偏微分方程 :D
已经有5人回复
【求助】一个常微分方程的通解
已经有6人回复
点击这里搜索更多相关资源
科研从小木虫开始,人人为我,我为人人
相关版块跳转
第一性原理
量子化学
计算模拟
分子模拟
仿真模拟
程序语言
我要订阅楼主
dzipan
的主题更新
1
1/1
返回列表
如果回帖内容含有宣传信息,请如实选中。否则帐号将被全论坛禁言
普通表情
龙
兔
虎
猫
百度网盘
|
360云盘
|
千易网盘
|
华为网盘
在新窗口页面中打开自己喜欢的网盘网站,将文件上传后,然后将下载链接复制到帖子内容中就可以了。
信息提示
关闭
请填处理意见
关闭
确定