| 查看: 7649 | 回复: 10 | ||
刘瑞蕊金虫 (正式写手)
|
[求助]
磁熵变的计算已有1人参与
|
|
|
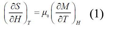
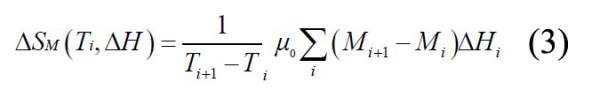
对磁熵变的计算实在是没有思路,恳求大家给予指点,谢谢大家了~~ 存在的疑问: 1. 根据M-H曲线,麦克斯韦方程进行计算时具体的操作方法是什么呢? 2. M,H对应的单位应该是什么,得到的磁熵变的单位才能是JKg-1K-1. 真心希望各位老师的指点,万分感激!!! ![]() |
» 猜你喜欢
寻求一种能扛住强氧化性腐蚀性的容器密封件
已经有7人回复
到新单位后,换了新的研究方向,没有团队,持续积累2区以上论文,能申请到面上吗
已经有8人回复
申请2026年博士
已经有6人回复
请问哪里可以有青B申请的本子可以借鉴一下。
已经有5人回复
天津工业大学郑柳春团队欢迎化学化工、高分子化学或有机合成方向的博士生和硕士生加入
已经有5人回复
2025冷门绝学什么时候出结果
已经有7人回复
请问有评职称,把科研教学业绩算分排序的高校吗
已经有6人回复
Bioresource Technology期刊,第一次返修的时候被退回好几次了
已经有7人回复
请问下大家为什么这个铃木偶联几乎不反应呢
已经有5人回复
康复大学泰山学者周祺惠团队招收博士研究生
已经有6人回复
» 本主题相关价值贴推荐,对您同样有帮助:
0.8摩尔的氮气与0.2摩尔的氧气混合后总熵变等于多少?
已经有5人回复
关于等熵S(T,H)相图的计算
已经有5人回复
吉布斯自由能变与熵变的问题
已经有9人回复
利用声子谱准确地计算气固反应的焓变及熵变
已经有4人回复
如何根据量子点粒径计算单个粒子所包含的分子数呢
已经有4人回复
请问,有人知道【钙碱指数】怎么计算吗?
已经有4人回复
求反应动力学的反应熵变数据
已经有6人回复
磁性测试结果——磁化率跟温度曲线
已经有18人回复
在-5度,p标准下苯的凝固过程的熵变【认真看过教材的同学来】
已经有9人回复
求教一个物理化学的问题
已经有6人回复
关于熵变的计算,有人知道怎么计算大的体系的熵变吗?比如将近一千个残基的体系?
已经有11人回复
【求助成功】多种磁构型的计算的疑问
已经有5人回复
【求助】相变压力
已经有5人回复
【求助】用Gaussian计算分子的熵时,不同分子的熵的计算基准是一样的吗?谢谢
已经有11人回复
【求助】绝对熵值的计算
已经有8人回复

mjx150
荣誉版主 (正式写手)
- 应助: 31 (小学生)
- 贵宾: 0.208
- 金币: 9418.9
- 散金: 1277
- 红花: 15
- 帖子: 878
- 在线: 648.6小时
- 虫号: 1248035
- 注册: 2011-03-28
- 性别: GG
- 专业: 金属功能材料
- 管辖: 功能材料
刘瑞蕊: 回帖置顶 2013-12-12 09:50:54

5楼2013-12-12 00:08:20
刘瑞蕊
金虫 (正式写手)
- 应助: 1 (幼儿园)
- 金币: 1628.6
- 散金: 744
- 红花: 4
- 帖子: 418
- 在线: 220.8小时
- 虫号: 999057
- 注册: 2010-04-17
- 性别: MM
- 专业: 金属功能材料

2楼2013-10-25 19:14:46
syd4182
新虫 (著名写手)
- 应助: 10 (幼儿园)
- 金币: 10544.6
- 散金: 20
- 红花: 6
- 帖子: 1178
- 在线: 276.3小时
- 虫号: 946681
- 注册: 2010-01-22
- 专业: 天体中基本物理过程的理论
3楼2013-12-11 21:57:02
mjx150
荣誉版主 (正式写手)
- 应助: 31 (小学生)
- 贵宾: 0.208
- 金币: 9418.9
- 散金: 1277
- 红花: 15
- 帖子: 878
- 在线: 648.6小时
- 虫号: 1248035
- 注册: 2011-03-28
- 性别: GG
- 专业: 金属功能材料
- 管辖: 功能材料

4楼2013-12-11 22:35:46
syd4182
新虫 (著名写手)
- 应助: 10 (幼儿园)
- 金币: 10544.6
- 散金: 20
- 红花: 6
- 帖子: 1178
- 在线: 276.3小时
- 虫号: 946681
- 注册: 2010-01-22
- 专业: 天体中基本物理过程的理论
6楼2013-12-12 00:46:59
![]() |
7楼2013-12-12 09:50:16
syd4182
新虫 (著名写手)
- 应助: 10 (幼儿园)
- 金币: 10544.6
- 散金: 20
- 红花: 6
- 帖子: 1178
- 在线: 276.3小时
- 虫号: 946681
- 注册: 2010-01-22
- 专业: 天体中基本物理过程的理论
8楼2013-12-12 22:46:53
9楼2014-11-03 15:30:39
wbcui
至尊木虫 (知名作家)
- 应助: 221 (大学生)
- 贵宾: 0.349
- 金币: 16296.6
- 散金: 359
- 红花: 73
- 帖子: 8321
- 在线: 919小时
- 虫号: 543804
- 注册: 2008-04-11
- 专业: 金属功能材料
10楼2019-03-03 00:03:43














回复此楼


, 这个数据处理软件是自己编程序写出来的, ppms系统不可能有的啊。