24小时热门版块排行榜    

查看: 9863  |  回复: 18

shenl

铁虫 (小有名气)


[交流] 磁性测试结果——磁化率跟温度曲线

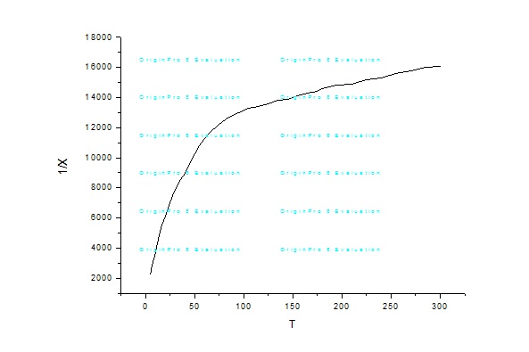
请教各位,依图中所示的曲线,是否可以判断是亚铁磁的材料,或是其他什么原因,因为这明显跟居里外斯定律不符合。

1/x___T
回复此楼

» 猜你喜欢

» 本主题相关商家推荐: (我也要在这里推广)

» 本主题相关价值贴推荐,对您同样有帮助:

» 抢金币啦!回帖就可以得到:

查看全部散金贴

已阅   回复此楼   关注TA 给TA发消息 送TA红花 TA的回帖
回帖支持 ( 显示支持度最高的前 50 名 )

山大清洁工

金虫 (正式写手)



小木虫(金币+0.5): 给个红包,谢谢回帖
磁性物质在无外磁场作用时,内部磁矩的取向无规则程度较大,相应的磁熵较大;当被磁化时,内部的磁矩沿磁化方向趋于有序,相应的磁熵较小. 确定磁性材料的磁熵,可用磁化曲线并借助于磁系统的热力学关系式,通过数值计算得到磁熵变值.

居里点的确定铁磁性材料、亚铁磁性材料均为磁有序物质,有相变点,也称居里点 TC,当温度高于 TC 时,呈顺磁性,只有温度低于 TC 时,才呈铁磁性、亚铁磁性[1]. 当磁性材料在居里点附近被磁化时,可实现由铁磁性、亚铁磁性向顺磁性转变,获得较大的磁熵变.实验上常采用磁测量方法来确定居里温度,在比较低的磁场下测量磁性材料的M T 曲线,找出斜率极大值切线并将其延长,和温度轴的交点就是居里点.
2楼2012-03-13 15:30:33
已阅   回复此楼   关注TA 给TA发消息 送TA红花 TA的回帖

yufuyufu

新虫 (小有名气)



小木虫(金币+0.5): 给个红包,谢谢回帖
看起来你这个材料是亚铁磁性,奈尔温度在75K左右,不过你高温的数据不是很好,不象完全的线性。
居里外斯定律是要在顺磁性时才能应用,指得是高温的线性1/x-T曲线可以被居里外斯定律拟合,同时,该拟合直线外延和T轴的交点应该是负值,该值的绝对值就是Tp。从你的曲线看来,高温一段象线性,且拟合后与T轴交点在T的负轴方向。所以可能是亚铁磁性。
当然,你还得看看你的材料是不是有两种磁性离子,即两种不同磁矩的离子,这才可能有亚铁磁性。
4楼2012-03-14 15:08:31
已阅   回复此楼   关注TA 给TA发消息 送TA红花 TA的回帖
普通回帖

七月二十五

木虫 (正式写手)


温度还没升到居里温度
3楼2012-03-13 21:45:44
已阅   回复此楼   关注TA 给TA发消息 送TA红花 TA的回帖

shenl

铁虫 (小有名气)


引用回帖:
3楼: Originally posted by 七月二十五 at 2012-03-13 21:45:44:
温度还没升到居里温度

你好,如果升到居里温度有什么特征了?你是依据什么判断还未升到居里温度
5楼2012-03-15 09:31:42
已阅   回复此楼   关注TA 给TA发消息 送TA红花 TA的回帖

七月二十五

木虫 (正式写手)



小木虫: 金币+0.5, 给个红包,谢谢回帖
当温度升到居里温度后,材料将转变为顺磁性,磁导率迅速降到0
6楼2012-03-15 23:45:53
已阅   回复此楼   关注TA 给TA发消息 送TA红花 TA的回帖

dog432

银虫 (著名写手)



小木虫: 金币+0.5, 给个红包,谢谢回帖
引用回帖:
6楼: Originally posted by 七月二十五 at 2012-03-15 23:45:53
当温度升到居里温度后,材料将转变为顺磁性,磁导率迅速降到0

如果是自旋玻璃的话,磁化强度将随着温度升高一直升高,没有饱和磁化强度,所以根本不是没有到达居里温度的问题,请帮助别人的时候不要误导
7楼2013-06-11 21:25:46
已阅   回复此楼   关注TA 给TA发消息 送TA红花 TA的回帖

七月二十五

木虫 (正式写手)



小木虫: 金币+0.5, 给个红包,谢谢回帖
引用回帖:
7楼: Originally posted by dog432 at 2013-06-11 21:25:46
如果是自旋玻璃的话,磁化强度将随着温度升高一直升高,没有饱和磁化强度,所以根本不是没有到达居里温度的问题,请帮助别人的时候不要误导...

谢谢赐教,我确实不知道还有这种材料,是我太孤陋寡闻了。
8楼2013-06-12 00:35:32
已阅   回复此楼   关注TA 给TA发消息 送TA红花 TA的回帖

huaiwenjuan

新虫 (小有名气)



小木虫: 金币+0.5, 给个红包,谢谢回帖
楼主,你好。看到你的磁化率跟温度曲线跟我刚测的结果非常相似,请教一下,你的样品里是由2种不同磁矩的原子吗?已经确定是亚铁磁了吗?我的样品只含Cu离子,测出的曲线跟你的几乎一样,所以想跟你探讨一下!谢谢!http://muchong.com/bbs/viewthread.php?tid=6084129
这是我的测试结果!麻烦不吝赐教!
9楼2013-07-11 17:16:47
已阅   回复此楼   关注TA 给TA发消息 送TA红花 TA的回帖

烽烟再起

银虫 (小有名气)



小木虫: 金币+0.5, 给个红包,谢谢回帖
引用回帖:
4楼: Originally posted by yufuyufu at 2012-03-14 15:08:31
看起来你这个材料是亚铁磁性,奈尔温度在75K左右,不过你高温的数据不是很好,不象完全的线性。
居里外斯定律是要在顺磁性时才能应用,指得是高温的线性1/x-T曲线可以被居里外斯定律拟合,同时,该拟合直线外延和T ...

您好,不好意思打扰你,请问您对阿伦尼乌斯公式和cole-cole图在磁性中的应用了解吗,以及愚弄它们如何做磁性图?谢谢
10楼2013-09-11 18:59:05
已阅   回复此楼   关注TA 给TA发消息 送TA红花 TA的回帖

yufuyufu

新虫 (小有名气)



小木虫: 金币+0.5, 给个红包,谢谢回帖
引用回帖:
10楼: Originally posted by 烽烟再起 at 2013-09-11 18:59:05
您好,不好意思打扰你,请问您对阿伦尼乌斯公式和cole-cole图在磁性中的应用了解吗,以及愚弄它们如何做磁性图?谢谢...

不好意思,这个方面我不了解。
11楼2013-09-18 09:50:47
已阅   回复此楼   关注TA 给TA发消息 送TA红花 TA的回帖

烽烟再起

银虫 (小有名气)



小木虫: 金币+0.5, 给个红包,谢谢回帖
引用回帖:
7楼: Originally posted by dog432 at 2013-06-11 21:25:46
如果是自旋玻璃的话,磁化强度将随着温度升高一直升高,没有饱和磁化强度,所以根本不是没有到达居里温度的问题,请帮助别人的时候不要误导...

您好,请问您了解区别自旋玻璃和超顺磁性为的那个公式吗?您会利用那个公式作图吗?求指教!谢谢
12楼2013-09-18 10:28:05
已阅   回复此楼   关注TA 给TA发消息 送TA红花 TA的回帖

烽烟再起

银虫 (小有名气)


引用回帖:
11楼: Originally posted by yufuyufu at 2013-09-18 09:50:47
不好意思,这个方面我不了解。...

哦,好的,依然谢谢您
13楼2013-09-18 10:28:22
已阅   回复此楼   关注TA 给TA发消息 送TA红花 TA的回帖

小白的乖彬

新虫 (小有名气)



小木虫: 金币+0.5, 给个红包,谢谢回帖
你好,我想问下你用什么仪器测试的x-T结果
14楼2013-09-25 10:04:25
已阅   回复此楼   关注TA 给TA发消息 送TA红花 TA的回帖

小白的乖彬

新虫 (小有名气)


引用回帖:
13楼: Originally posted by 烽烟再起 at 2013-09-18 10:28:22
哦,好的,依然谢谢您...

你好,你知道用什么仪器测量磁化率与温度变化结果???
15楼2013-09-25 10:05:57
已阅   回复此楼   关注TA 给TA发消息 送TA红花 TA的回帖

dongshiyuan

木虫 (著名写手)



小木虫: 金币+0.5, 给个红包,谢谢回帖
呃,是不是没拟合好啊
16楼2013-10-30 22:29:16
已阅   回复此楼   关注TA 给TA发消息 送TA红花 TA的回帖

依风孤人

新虫 (小有名气)



小木虫: 金币+0.5, 给个红包,谢谢回帖
亲,你的这个曲线是怎么测的?请问您是那个地方的。我想做一个这样的测试但是我们这边没有这样的设备,请回复一下!谢谢
17楼2013-12-12 18:46:50
已阅   回复此楼   关注TA 给TA发消息 送TA红花 TA的回帖

依风孤人

新虫 (小有名气)


引用回帖:
9楼: Originally posted by huaiwenjuan at 2013-07-11 17:16:47
楼主,你好。看到你的磁化率跟温度曲线跟我刚测的结果非常相似,请教一下,你的样品里是由2种不同磁矩的原子吗?已经确定是亚铁磁了吗?我的样品只含Cu离子,测出的曲线跟你的几乎一样,所以想跟你探讨一下!谢谢! ...

您好,我想请问您是哪儿的?我很想测一下我做的材料的温度磁化率曲线,但是我们这边也没有相关的设备,能否请问您是在哪儿测的,如何联系,恳请帮助,很着急!
18楼2013-12-12 18:48:49
已阅   回复此楼   关注TA 给TA发消息 送TA红花 TA的回帖

依风孤人

新虫 (小有名气)



小木虫: 金币+0.5, 给个红包,谢谢回帖
引用回帖:
9楼: Originally posted by huaiwenjuan at 2013-07-11 17:16:47
楼主,你好。看到你的磁化率跟温度曲线跟我刚测的结果非常相似,请教一下,你的样品里是由2种不同磁矩的原子吗?已经确定是亚铁磁了吗?我的样品只含Cu离子,测出的曲线跟你的几乎一样,所以想跟你探讨一下!谢谢! ...

亲,请问你这个测试的范围只能到三百K吗?
19楼2013-12-12 21:31:33
已阅   回复此楼   关注TA 给TA发消息 送TA红花 TA的回帖
相关版块跳转 我要订阅楼主 shenl 的主题更新
普通表情 高级回复 (可上传附件)
最具人气热帖推荐 [查看全部] 作者 回/看 最后发表
[考研] 315分,诚求调剂,材料与化工085600 +3 13756423260 2026-03-22 3/150 2026-03-22 20:11 by edmund7
[考研] 260求调剂 +3 朱芷琳 2026-03-20 4/200 2026-03-22 15:12 by 朱芷琳
[考研] 318求调剂 +4 plum李子 2026-03-21 7/350 2026-03-22 14:17 by ColorlessPI
[考研] 一志愿070300浙大化学358分,求调剂! +3 酥酥鱼.. 2026-03-21 3/150 2026-03-22 11:31 by 杨杨杨紫
[考研] 384求调剂 +3 子系博 2026-03-22 4/200 2026-03-22 11:04 by 搏击518
[考研] 297求调剂 +11 戏精丹丹丹 2026-03-17 12/600 2026-03-21 17:47 by ColorlessPI
[考研] 311求调剂 +3 勇敢的小吴 2026-03-20 3/150 2026-03-21 17:40 by ColorlessPI
[考研] 313求调剂 +4 肆叁贰壹22 2026-03-19 4/200 2026-03-21 17:33 by ColorlessPI
[考研] 279求调剂 +5 红衣隐官 2026-03-21 5/250 2026-03-21 14:59 by lature00
[考研] 求调剂 +3 白QF 2026-03-21 3/150 2026-03-21 13:12 by zhukairuo
[考研] 初始318分求调剂(有工作经验) +3 1911236844 2026-03-17 3/150 2026-03-21 02:33 by JourneyLucky
[考研] 华东师范大学-071000生物学-293分-求调剂 +3 研究生何瑶明 2026-03-18 3/150 2026-03-21 01:30 by JourneyLucky
[考研] 一志愿重庆大学085700资源与环境专硕,总分308求调剂 +3 墨墨漠 2026-03-18 3/150 2026-03-21 00:39 by JourneyLucky
[考研] 304求调剂 +6 曼殊2266 2026-03-18 6/300 2026-03-21 00:32 by JourneyLucky
[考研] 材料专硕英一数二306 +7 z1z2z3879 2026-03-18 7/350 2026-03-20 23:48 by JourneyLucky
[考研] 一志愿武汉理工材料工程专硕调剂 +9 Doleres 2026-03-19 9/450 2026-03-20 22:36 by JourneyLucky
[考研] 求调剂 +3 @taotao 2026-03-20 3/150 2026-03-20 19:35 by JourneyLucky
[考研] 298-一志愿中国农业大学-求调剂 +9 手机用户 2026-03-17 9/450 2026-03-20 14:24 by 无懈可击111
[论文投稿] 申请回稿延期一个月,编辑同意了。但系统上的时间没变,给编辑又写邮件了,没回复 10+3 wangf9518 2026-03-17 4/200 2026-03-19 23:55 by babero
[考研] 288求调剂,一志愿华南理工大学071005 +5 ioodiiij 2026-03-17 5/250 2026-03-19 18:22 by zcl123
信息提示
请填处理意见