| 查看: 1740 | 回复: 0 | |
wushiqiaowpp金虫 (初入文坛)
|
[求助]
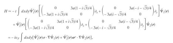
石墨烯中电子哈密顿量
|
![]() |
|
|
|
|
|
找到一些相关的精华帖子,希望有用哦~
科研从小木虫开始,人人为我,我为人人
|













回复此楼


点击这里搜索更多相关资源