| 查看: 1040 | 回复: 8 | |||
cxc0378木虫 (正式写手)
|
[求助]
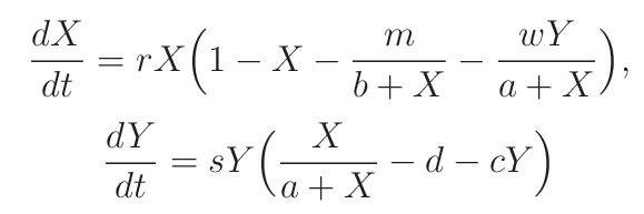
求助数学方程组的敏感性分析
|
||
|
|
|||
feixiaolin荣誉版主 (文坛精英)
|
|||
|
2楼2013-10-17 10:49:28
|
|
||
cxc0378木虫 (正式写手)
|
|||
|
3楼2013-10-17 11:34:07
|
|
||
feixiaolin荣誉版主 (文坛精英)
|
|||
|
4楼2013-10-17 12:05:18
|
|
||
cxc0378木虫 (正式写手)
|
|||
|
5楼2013-10-17 13:29:22
|
|
||
feixiaolin荣誉版主 (文坛精英)
|
|||
|
6楼2013-10-17 16:51:29
|
|
||
|
|||
|
7楼2013-10-17 19:55:26
|
|
||
wshaoxin铁杆木虫 (正式写手)
|
|||
![]() |
|||
|
8楼2013-10-17 21:10:43
|
|
||
cxc0378木虫 (正式写手)
|
|||
|
9楼2013-10-18 06:41:54
|
|













回复此楼

