| ²é¿´: 524 | »Ø¸´: 2 | ||
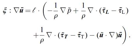
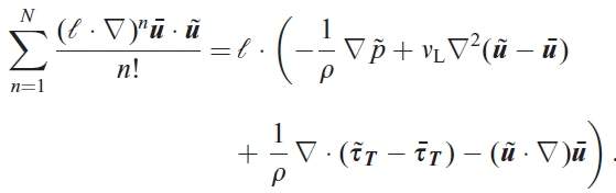
openfoam
|
[½»Á÷]
Õâ¸ö·½³ÌÓ¦¸ÃÔõôÇó½âÄØ ÒÑÓÐ1È˲ÎÓë
|
» ±¾Ö÷ÌâÏà¹Ø¼ÛÖµÌùÍÆ¼ö£¬¶ÔÄúͬÑùÓаïÖú:
ÄÄλ¸ßÊÖÖªµÀÕâ¸ö·½³ÌµÄ½âÎö½â£¿¼òµ¥µÄƫ΢·Ö·½³Ì
ÒѾÓÐ7È˻ظ´
ÈýÔª¶þ´ÎµÄÈý½Ç·½³ÌÈçºÎÓÃMATLABÇó½â£¿£¿
ÒѾÓÐ10È˻ظ´
Õâ¸ö·½³Ì×éÔõô½â°¡
ÒѾÓÐ14È˻ظ´
Õâ¸ö·½³ÌÔõôÇó·½³ÌÓұߵĦ¤H
ÒѾÓÐ7È˻ظ´
ÈçºÎÇó½âÏÂÁз½³Ì£ºxlnx=a(x-b)
ÒѾÓÐ14È˻ظ´
¸÷λÅóÓÑ£¬ÈçºÎÓÃmatlab±àдÕâ¸ö·½³Ì£¬²¢Çó½â£¿
ÒѾÓÐ15È˻ظ´
ÇëÎÊ´óÏÀ´øÇóºÍ·ûºÅ·½³ÌµÄ½â·¨
ÒѾÓÐ4È˻ظ´
°ÝÇó£¬ÕâÖÖ´ø²ÎÊýµÄ·½³ÌÔõô½â±È½ÏºÃ£¿
ÒѾÓÐ4È˻ظ´
¼ÆËã»úÄ£Äâ¼ÆËãÖУ¬ÈçºÎʹÓÃÅݵ㷨½âMESH·½³Ì£¬¿ÉÒÔÓÃaspen plus½øÐÐÄ£ÄâÂð£¿
ÒѾÓÐ3È˻ظ´
ÍÖÔ²ÐÎÆ«Î¢·Ö·½³Ì±ê×¼»¯ºó¸ÃÈçºÎ½â£¿
ÒѾÓÐ6È˻ظ´
ÇóÖúÕâ¸ö·ÇÏßÐÔ·½³Ì¸ÄÔõô½â°¡£¿£¿
ÒѾÓÐ4È˻ظ´
Ãݺ¯Êý·½³Ì Çó½â
ÒѾÓÐ9È˻ظ´
MatlabÇó½âƫ΢·Ö·½³Ì×é
ÒѾÓÐ22È˻ظ´
ÇëÎÊÈçºÎÇó½â¶þÔªÒ»½×΢·Ö·½³Ì×é
ÒѾÓÐ24È˻ظ´
Çë½ÌÏÂÒÑÖªÇúÏßÒÔ¼°ÇúÏßÉϵĸ÷¸öÉ¢µãÈçºÎÇó³öÕâÌõÇúÏߵķ½³Ì±í´ïʽ
ÒѾÓÐ10È˻ظ´
ÏÂÃæÕâ¸ö΢·Ö·½³ÌÈçºÎ¸ù¾ÝÀÆÕÀ˹±ä»»µÃµ½ÏÂÃæµÄÌØ½â°¡£¿
ÒѾÓÐ4È˻ظ´
¶¼²»ÖªµÀÔõôÃüÃû±êÌ⣺µü´ú·¨½â·½³Ì×飿
ÒѾÓÐ16È˻ظ´
¾Í½â·½³Ì×飬δ֪Êý²»ÊÕÁ²£¬ÒªÔõô°ì£¿³ÏÇó£¡
ÒѾÓÐ12È˻ظ´
Çë½ÌÔõÑùÔÚDesign-Expert 7.0 Çó½âÄâºÏ·½³Ì£¿
ÒѾÓÐ9È˻ظ´
¡¾ÇóÖú¡¿Çó½Ì ¶àÔªÖ¸Êý·½³ÌÈçºÎ½â ÓÐÈí¼þ·ñ£¿
ÒѾÓÐ6È˻ظ´
5buzhidao5
½ð³æ (ÕýʽдÊÖ)
- Ó¦Öú: 7 (Ó×¶ùÔ°)
- ½ð±Ò: 1918.6
- É¢½ð: 170
- ºì»¨: 6
- Ìû×Ó: 606
- ÔÚÏß: 51.3Сʱ
- ³æºÅ: 1225159
- ×¢²á: 2011-03-08
- רҵ: ËÜÁÏ
2Â¥2013-10-14 21:51:26
openfoam
гæ (ÕýʽдÊÖ)
- Ó¦Öú: 40 (СѧÉú)
- ½ð±Ò: 899.7
- É¢½ð: 348
- ºì»¨: 26
- Ìû×Ó: 560
- ÔÚÏß: 188.6Сʱ
- ³æºÅ: 2136902
- ×¢²á: 2012-11-20
- רҵ: Á÷ÌåÁ¦Ñ§
3Â¥2013-10-14 22:01:36














»Ø¸´´ËÂ¥