| 查看: 1316 | 回复: 1 | |
[求助]
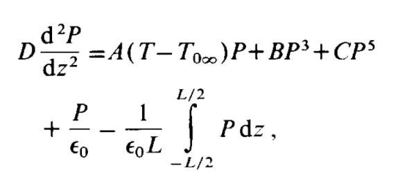
MATLAB 有限差分法 求解方程(有微分和积分)
|
|
|
|
|
|
2楼2013-10-09 20:37:20
|
|














回复此楼