| 查看: 730 | 回复: 3 | |||
[交流]
解方程组 及 求导 已有1人参与
|
|
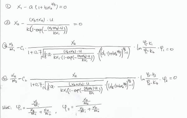
遇到了一组比较棘手的方程组,打算用编程求解。 有人提议用牛顿数值法,不知道是不是合适。 可是,有几个式子的偏导可难倒我了。 希望打人能帮帮忙,看一下。 式子在附件里面,x1,x2,x3,x4是未知数,其余都是已知的。 谢谢! 未命名.jpg [ Last edited by aapril on 2013-10-7 at 04:48 ] |
» 本帖附件资源列表
-
欢迎监督和反馈:小木虫仅提供交流平台,不对该内容负责。
本内容由用户自主发布,如果其内容涉及到知识产权问题,其责任在于用户本人,如对版权有异议,请联系邮箱:xiaomuchong@tal.com - 附件 1 : 方程组.pdf
2013-10-07 04:42:43, 389.22 K
» 猜你喜欢
本科新能源科学与工程,一志愿华理能动285求调剂
已经有5人回复
一志愿华北电力大学能动专硕,293,求调剂
已经有5人回复
调剂310
已经有7人回复
食品工程专硕一志愿中海洋309求调剂
已经有6人回复
275求调剂
已经有14人回复
283求调剂
已经有3人回复
085602 化工专硕 338分 求调剂
已经有12人回复
312,生物学求调剂
已经有3人回复
化学0703 调剂 306分 一志愿211
已经有4人回复
311(085601)求调剂
已经有3人回复
» 本主题相关价值贴推荐,对您同样有帮助:
用matlab求解非线性方程组说无解,一定是方程组本身无解,还是有可能程序有问题呢?
已经有11人回复
这个方程组怎么解啊
已经有14人回复
matlab解偏微分方程求助
已经有12人回复
MATLAB微分方程参数拟合问题,求大神
已经有7人回复
求Matlab高手解决线性方程组的迭代求解问题
已经有17人回复
如何求解下列方程:xlnx=a(x-b)
已经有14人回复
请高手指点:环境考研,数二考哪些章节呢?
已经有5人回复
mathematica 解方程组 有什么命令可以实现解集中没有复数解
已经有3人回复
求助matlab---fsolve解非线性方程组
已经有6人回复
求助解6变量的指数方程组的方法
已经有4人回复
matlab 求指点 动力学方程拟合过程中导数的获取
已经有10人回复
高金求助matlab解微分方程组
已经有12人回复
matlab解微分方程组
已经有15人回复
【紧急求助】 带有微分平方项的ODE求解
已经有11人回复
响应面法优化培养基
已经有6人回复
【求助】matlab求解非线性方程组,并画图处理。要求y,z是实数解!
已经有18人回复
【求助】方程组最优解
已经有18人回复
【求助】最小二乘法编写指数拟合方程
已经有19人回复
【求助】求教matlab解非线性方程组
已经有9人回复
feixiaolin
荣誉版主 (文坛精英)
-

专家经验: +518 - 应助: 942 (博后)
- 贵宾: 1.275
- 金币: 3880
- 散金: 58785
- 红花: 532
- 沙发: 11
- 帖子: 24215
- 在线: 2601.8小时
- 虫号: 2139575
- 注册: 2012-11-21
- 专业: 光学信息获取与处理
- 管辖: 数学
2楼2013-10-07 08:13:28
3楼2013-10-07 14:48:01
feixiaolin
荣誉版主 (文坛精英)
-

专家经验: +518 - 应助: 942 (博后)
- 贵宾: 1.275
- 金币: 3880
- 散金: 58785
- 红花: 532
- 沙发: 11
- 帖子: 24215
- 在线: 2601.8小时
- 虫号: 2139575
- 注册: 2012-11-21
- 专业: 光学信息获取与处理
- 管辖: 数学
4楼2013-10-07 15:17:19














回复此楼
6