±±¾©Ê¯ÓÍ»¯¹¤Ñ§Ôº2026ÄêÑо¿ÉúÕÐÉú½ÓÊÕµ÷¼Á¹«¸æ
²é¿´: 5719  |  »Ø¸´: 21

ÖñÁÖ·çcyl

½ð³æ (СÓÐÃûÆø)

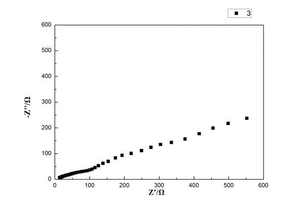
[ÇóÖú] ¸ßÊÖÃÇ¿ìÀ´¿´¿´Õâ¸öEISͼÔõô·ÖÎö

ÕâÕÅͼÀïµÄ°ëÔ²²»ÊÇÌØ±ð±ê×¼£¬Ó¦¸ÃÔõô·ÖÎöÄØ£¿
¶øÇÒÄܹ»ÈÏΪ°ëԲԽСÆä¶ÔÓ¦µÄµç×è¾ÍԽСÂð£¿
±¾È˳õ´Î½Ó´¥µç»¯Ñ§µÄһЩ·ÖÎö·½·¨£¬ºÜ¶à²»¶®µÄµØ·½Çë´ó¼Ò¶à¶à°ï棡
¸ßÊÖÃÇ¿ìÀ´¿´¿´Õâ¸öEISͼÔõô·ÖÎö
3.jpg
»Ø¸´´ËÂ¥

» ÊÕ¼±¾ÌûµÄÌÔÌûר¼­ÍƼö

µç»¯Ñ§²âÊÔ¡¢Í¼ÏñÒÔ¼°·ÖÎö

» ²ÂÄãϲ»¶

» ±¾Ö÷ÌâÏà¹Ø¼ÛÖµÌùÍÆ¼ö£¬¶ÔÄúͬÑùÓаïÖú:

Justbemyself
ÒÑÔÄ   »Ø¸´´ËÂ¥   ¹Ø×¢TA ¸øTA·¢ÏûÏ¢ ËÍTAºì»¨ TAµÄ»ØÌû

wuhanhenan

Í­³æ (ÕýʽдÊÖ)

ÄãËù½²µÄ°ëÔ²»¡ÊǾ­¹ý½üËÆÍÆÀíµÄÀíÂÛͼ£¬¼´¸ßÆµÇø¶ÔÓ¦µÄÈÝ¿¹½ÏС£¬·´Ó¦Ä¤²ãµÄ½éµçÐԽϲ
ʵÑé³É¾ÍÃÎÏ룡
2Â¥2013-09-09 14:07:38
ÒÑÔÄ   »Ø¸´´ËÂ¥   ¹Ø×¢TA ¸øTA·¢ÏûÏ¢ ËÍTAºì»¨ TAµÄ»ØÌû

wuhanhenan

Í­³æ (ÕýʽдÊÖ)

³Ð½ÓÉÏÊö£¬ÄãµÄͼ×öµÄͦ ±ê×¼µÄ £¬µÍÆµÇøÒ²²»ÊǺܸߣ¬ËµÃ÷¸¯Ê´½éÖʵÄͨ͸ÐԱȽϲ»´í¡£ÕâÒª¿´Äã×öʲôÁË£¬Èç¹ûÊǵ¼µç¸ß·Ö×ÓĤ²ã£¬±íʾЧ¹û»¹ÐС£Èç¹ûÓÃ×÷¸¯Ê´·À»¤Í¿²ã£¬Ð§¹û¾ÍºÜ²»ÀíÏëÀ²£¡
ʵÑé³É¾ÍÃÎÏ룡
3Â¥2013-09-09 14:54:12
ÒÑÔÄ   »Ø¸´´ËÂ¥   ¹Ø×¢TA ¸øTA·¢ÏûÏ¢ ËÍTAºì»¨ TAµÄ»ØÌû

wuhanhenan

Í­³æ (ÕýʽдÊÖ)

³Ð½ÓÉÏÊö£¬ÄãµÄͼ×öµÄͦ ±ê×¼µÄ £¬µÍÆµÇøÒ²²»ÊǺܸߣ¬ËµÃ÷¸¯Ê´½éÖʵÄͨ͸ÐԱȽϲ»´í¡£ÕâÒª¿´Äã×öʲôÁË£¬Èç¹ûÊǵ¼µç¸ß·Ö×ÓĤ²ã£¬±íʾЧ¹û»¹ÐС£Èç¹ûÓÃ×÷¸¯Ê´·À»¤Í¿²ã£¬Ð§¹û¾ÍºÜ²»ÀíÏëÀ²£¡
ʵÑé³É¾ÍÃÎÏ룡
4Â¥2013-09-09 14:54:52
ÒÑÔÄ   »Ø¸´´ËÂ¥   ¹Ø×¢TA ¸øTA·¢ÏûÏ¢ ËÍTAºì»¨ TAµÄ»ØÌû

»ÃÃðÑÀ

¾èÖú¹ó±ö (Ö°Òµ×÷¼Ò)

ͬ²»¶®¡£
5Â¥2013-09-09 15:24:06
ÒÑÔÄ   »Ø¸´´ËÂ¥   ¹Ø×¢TA ¸øTA·¢ÏûÏ¢ ËÍTAºì»¨ TAµÄ»ØÌû

sanerlou

ľ³æ (СÓÐÃûÆø)

±ê×¼×÷ͼ£¬Ó¦¸Ãºá×ø±êºÍ×Ý×ø±êµÈ³¤£¬×ø±ê·¶Î§Ò»Ñù£¬ÕâÑù²ÅÄÜ¿´³öÀ´°ëÔ²ÊÇ·ñ±ê×¼£¡
6Â¥2013-09-09 16:33:36
ÒÑÔÄ   »Ø¸´´ËÂ¥   ¹Ø×¢TA ¸øTA·¢ÏûÏ¢ ËÍTAºì»¨ TAµÄ»ØÌû

ÖñÁÖ·çcyl

½ð³æ (СÓÐÃûÆø)

ÒýÓûØÌû:
3Â¥: Originally posted by wuhanhenan at 2013-09-09 14:54:12
³Ð½ÓÉÏÊö£¬ÄãµÄͼ×öµÄͦ ±ê×¼µÄ £¬µÍÆµÇøÒ²²»ÊǺܸߣ¬ËµÃ÷¸¯Ê´½éÖʵÄͨ͸ÐԱȽϲ»´í¡£ÕâÒª¿´Äã×öʲôÁË£¬Èç¹ûÊǵ¼µç¸ß·Ö×ÓĤ²ã£¬±íʾЧ¹û»¹ÐС£Èç¹ûÓÃ×÷¸¯Ê´·À»¤Í¿²ã£¬Ð§¹û¾ÍºÜ²»ÀíÏëÀ²£¡

ÎÒ×öµÄÊÇï®Àë×Óµç³Ø£¬²»ÊÇĤ²ãÒ²²»ÊǸ¯Ê´·À»¤Í¿²ã£¬ÄÜÔÙ·ÖÎöÏÂô£¿
Justbemyself
7Â¥2013-09-10 08:45:33
ÒÑÔÄ   »Ø¸´´ËÂ¥   ¹Ø×¢TA ¸øTA·¢ÏûÏ¢ ËÍTAºì»¨ TAµÄ»ØÌû

ÖñÁÖ·çcyl

½ð³æ (СÓÐÃûÆø)

ÒýÓûØÌû:
6Â¥: Originally posted by sanerlou at 2013-09-09 16:33:36
±ê×¼×÷ͼ£¬Ó¦¸Ãºá×ø±êºÍ×Ý×ø±êµÈ³¤£¬×ø±ê·¶Î§Ò»Ñù£¬ÕâÑù²ÅÄÜ¿´³öÀ´°ëÔ²ÊÇ·ñ±ê×¼£¡

°Ñ×ø±êµÈ³¤µÃµ½µÄÒ²²»ÊDZê×¼°ëÔ²£¬¾ÍÕâÑù¿´¾ÍÄÜ¿´³öÀ´µÚÒ»¸öÔ²ºÃÏñ¶¼²»ÍêÕûÄØ¡£
¸ßÊÖÃÇ¿ìÀ´¿´¿´Õâ¸öEISͼÔõô·ÖÎö-1
3-1.jpg

Justbemyself
8Â¥2013-09-10 08:48:50
ÒÑÔÄ   »Ø¸´´ËÂ¥   ¹Ø×¢TA ¸øTA·¢ÏûÏ¢ ËÍTAºì»¨ TAµÄ»ØÌû

ÖñÁÖ·çcyl

½ð³æ (СÓÐÃûÆø)

ÒýÓûØÌû:
5Â¥: Originally posted by »ÃÃðÑÀ at 2013-09-09 15:24:06
ͬ²»¶®¡£

9Â¥2013-09-10 08:49:11
ÒÑÔÄ   »Ø¸´´ËÂ¥   ¹Ø×¢TA ¸øTA·¢ÏûÏ¢ ËÍTAºì»¨ TAµÄ»ØÌû

Fenixknick

Ìú³æ (ÕýʽдÊÖ)

¡¾´ð°¸¡¿Ó¦Öú»ØÌû

¸Ðл²ÎÓ룬ӦÖúÖ¸Êý +1
ÄÄÀïÓаëÔ²°¡¡£¡£
Õâ¸öÏߺÃÏñÍêȫûÓÐÍùÉÏÈ¥°¡
¸Ð¾õÖÐÆµÀ©É¢×迹ºÜ´ó
¸ßƵÈÝ¿¹ÏìӦûÓУ¬±íʾûÓÐÐγɺܺõÄË«µç²ãµçÈÝ
Äã¿ÉÒÔ°Ñͼ·Å´óÁË×Ðϸ³ò³òÓÐûÓаëÔ²¡£¡£
¸öÈËÒâ¼û£¬EISºÜÂé·³µÄ£¬µÈ´óÅ£À´¿´¿´°É
10Â¥2013-09-10 23:51:48
ÒÑÔÄ   »Ø¸´´ËÂ¥   ¹Ø×¢TA ¸øTA·¢ÏûÏ¢ ËÍTAºì»¨ TAµÄ»ØÌû
Ïà¹Ø°æ¿éÌø×ª ÎÒÒª¶©ÔÄÂ¥Ö÷ ÖñÁÖ·çcyl µÄÖ÷Ìâ¸üÐÂ
×î¾ßÈËÆøÈÈÌûÍÆ¼ö [²é¿´È«²¿] ×÷Õß »Ø/¿´ ×îºó·¢±í
[¿¼ÑÐ] »¯¹¤Çóµ÷¼Á£¡ +12 RichLi_ 2026-04-06 12/600 2026-04-06 17:33 by dongzh2009
[¿¼ÑÐ] 307Çóµ÷¼Á +3 ËùÄî¼°ËùÍû 2026-04-06 3/150 2026-04-06 17:30 by ÍÁľ˶ʿÕÐÉú
[¿¼ÑÐ] Çóµ÷¼Á +4 wos666 2026-04-03 5/250 2026-04-06 15:22 by wos666
[¿¼ÑÐ] 285Çóµ÷¼Á +8 AZMK 2026-04-04 11/550 2026-04-06 13:56 by BruceLiu320
[¿¼ÑÐ] 0703»¯Ñ§ +9 goldtt 2026-04-02 11/550 2026-04-06 10:35 by Î޼ʵIJÝÔ­
[¿¼ÑÐ] ²ÄÁÏ334Çóµ÷¼Á +19 Eecho# 2026-04-03 19/950 2026-04-06 08:37 by ССÊ÷2024
[¿¼ÑÐ] 308Çóµ÷¼Á +3 ÖÕ²»ËÆ´Óǰ 2026-04-05 3/150 2026-04-05 22:23 by hemengdong
[¿¼ÑÐ] ÉúÎïÓëÒ½Ò©086000µ÷¼ÁÒ»Ö¾Ô¸Î÷±±Å©ÁÖ320·Ö +3 ÃÀÃÀŮʿ 2026-04-03 3/150 2026-04-05 21:55 by ѧԱ8dgXkO
[¿¼ÑÐ] 285Çóµ÷¼Á +4 ¶ñ·¨´ó¶þµÄÆøÎ¶ß 2026-04-05 5/250 2026-04-05 20:32 by 286640313
[¿¼ÑÐ] ÊýÒ»Ó¢Ò»274»úеµ÷¼Á +5 ÐÇÔÉÁ÷ϼ 2026-04-04 6/300 2026-04-05 11:38 by arrow8852
[¿¼ÑÐ] ¿É¿çרҵµ÷¼Á +3 ÖÜµÄµÃµØ 2026-04-04 6/300 2026-04-04 22:21 by barlinike
[¿¼ÑÐ] Ò»Ö¾Ô¸0817»¯Ñ§¹¤³ÌÓë¼¼Êõ£¬Çóµ÷¼Á +24 ÎÒ²»ÊÇÖ»Òò 2026-04-02 28/1400 2026-04-04 15:15 by dongzh2009
[¿¼ÑÐ] Ò»Ö¾Ô¸¶«±±´óѧ085901ÍÁľר˶345Çóµ÷¼Á +3 zxt11111 2026-04-04 3/150 2026-04-04 14:21 by ÍÁľ˶ʿÕÐÉú
[¿¼ÑÐ] Ò»Ö¾Ô¸»¦985£¬326·ÖÇóµ÷¼Á +3 Áõīī 2026-04-03 3/150 2026-04-04 11:16 by ±¯É˵ÄÓóÍ·
[¿¼ÑÐ] Êý¶þÓ¢¶þ348Çóµ÷¼Á +4 hxdzj1 2026-04-03 5/250 2026-04-03 21:25 by zhq0425
[¿¼ÑÐ] 315Çóµ÷¼Á +6 ˳Àí³ÉÕÅ 2026-04-03 8/400 2026-04-03 14:04 by °ÙÁéͯ888
[¿¼ÑÐ] Çóµ÷¼Á +9 akdhjs 2026-03-31 11/550 2026-04-03 13:32 by akdhjs
[¿¼ÑÐ] 08ÉúÎïÓëҽҩר˶³õÊÔ346ÕÒµ÷¼Á +6 dianeeee 2026-04-01 7/350 2026-04-02 08:23 by guoweigw
[¿¼ÑÐ] ÉúÎïѧ327£¬Çóµ÷¼Á +5 ÊéÉϵÄ÷×Ó 2026-04-01 6/300 2026-04-02 06:47 by ilovexiaobin
[¿¼ÑÐ] 303·Ö 0807ѧ˶Çóµ÷¼Á +3 TYC3632 2026-04-01 3/150 2026-04-01 19:24 by lwk2004
ÐÅÏ¢Ìáʾ
ÇëÌî´¦ÀíÒâ¼û