| ²é¿´: 2123 | »Ø¸´: 8 | |
xiao-linÌú¸Ëľ³æ (СÓÐÃûÆø)
|
[ÇóÖú]
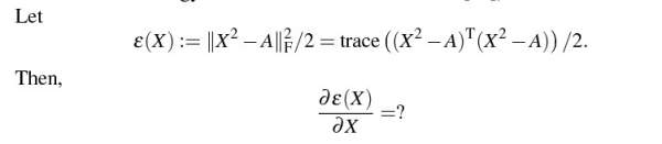
¾ØÕó·¶ÊýµÄÆ«µ¼ÔõôÇó£¿
|
![]() |
|
|
|
|
yantaishi¾èÖú¹ó±ö (ÕýʽдÊÖ)
|
|
|
2Â¥2013-07-29 20:20:50
|
|
xiao-linÌú¸Ëľ³æ (СÓÐÃûÆø)
|
|
![]() |
|
|
3Â¥2013-07-29 20:50:07
|
|
HalmosÌú³æ (СÓÐÃûÆø)
|
|
|
4Â¥2013-07-30 00:15:52
|
|
yantaishi¾èÖú¹ó±ö (ÕýʽдÊÖ)
|
|
|
5Â¥2013-07-30 08:02:21
|
|
xiao-linÌú¸Ëľ³æ (СÓÐÃûÆø)
|
|
![]() |
|
|
6Â¥2013-07-30 09:34:53
|
|
xiao-linÌú¸Ëľ³æ (СÓÐÃûÆø)
|
|
![]() |
|
|
7Â¥2013-07-30 09:36:04
|
|
HalmosÌú³æ (СÓÐÃûÆø)
|
|
|
8Â¥2013-07-31 06:51:33
|
|
xiao-linÌú¸Ëľ³æ (СÓÐÃûÆø)
|
|
![]() |
|
|
9Â¥2013-07-31 10:51:15
|
|














»Ø¸´´ËÂ¥