版块导航
正在加载中...
客户端APP下载
论文辅导
调剂小程序
登录
注册
帖子
帖子
用户
本版
应《网络安全法》要求,自2017年10月1日起,未进行实名认证将不得使用互联网跟帖服务。为保障您的帐号能够正常使用,请尽快对帐号进行手机号验证,感谢您的理解与支持!
24小时热门版块排行榜
>
论坛更新日志
(3485)
>
虫友互识
(418)
>
文献求助
(319)
>
导师招生
(154)
>
考博
(135)
>
硕博家园
(111)
>
博后之家
(70)
>
休闲灌水
(59)
>
绿色求助(高悬赏)
(58)
>
基金申请
(53)
>
考研
(50)
>
教师之家
(43)
>
论文投稿
(37)
>
招聘信息布告栏
(35)
>
公派出国
(34)
>
找工作
(31)
小木虫论坛-学术科研互动平台
»
专业学科区
»
信息科学
»
控制工程
»
问一个求解方程的问题
1
1/1
返回列表
查看: 163 | 回复: 0
只看楼主
@他人
存档
新回复提醒
(忽略)
收藏
在APP中查看
tttt23456
捐助贵宾
(小有名气)
应助: 0
(幼儿园)
金币: 25.5
散金: 12
帖子: 79
在线: 37.2小时
虫号: 1348956
注册: 2011-07-18
专业: 控制理论与方法
[
求助
]
问一个求解方程的问题
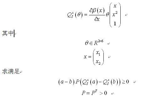
这个beta函数怎么求呢
如果牛人比较了解这一块仿真做法的愿意指点的 现金酬谢
TM截图未命名.jpg
回复此楼
» 猜你喜欢
有时候真觉得大城市人没有县城人甚至个体户幸福
已经有11人回复
表哥与省会女结婚,父母去帮带孩子被省会女气回家生重病了
已经有7人回复
同年申请2项不同项目,第1个项目里不写第2个项目的信息,可以吗
已经有8人回复
依托企业入选了国家启明计划青年人才。有无高校可以引进的。
已经有7人回复
依托企业入选了国家启明计划青年人才。有无高校可以引进的。
已经有10人回复
天津大学招2026.09的博士生,欢迎大家推荐交流(博导是本人)
已经有9人回复
有院领导为了换新车,用横向课题经费买了俩车
已经有10人回复
AI 太可怕了,写基金时,提出想法,直接生成的文字比自己想得深远,还有科学性
已经有6人回复
1楼
2013-07-18 09:27:44
已阅
回复此楼
关注TA
给TA发消息
送TA红花
TA的回帖
智能机器人
Robot
(super robot)
我们都爱小木虫
找到一些相关的精华帖子,希望有用哦~
请教一个matlab求解非线性方程组的问题
已经有9人回复
求解一个二阶偏微分方程~~有结果,但是不知道中间过程(完美解决者答谢100¥)~
已经有4人回复
求Matlab高手解决线性方程组的迭代求解问题
已经有17人回复
使用fsolve求解非线性方程问题
已经有9人回复
matlab求解非线性方程组,错误提示怎么解决
已经有5人回复
如何求解下列方程:xlnx=a(x-b)
已经有14人回复
各位朋友,如何用matlab编写这个方程,并求解?
已经有15人回复
急切求助!一个mathematica求解一个简单一元非线性方程的问题
已经有4人回复
matlab求解方程中的参数
已经有21人回复
一阶微分方程求解,并优化参数值
已经有14人回复
请问如何求解二元一阶微分方程组
已经有24人回复
【求助】帮忙求解一个一元四次方程
已经有9人回复
求matlab求解一个方程组的问题
已经有6人回复
MATLAB求解一个比较复杂的方程
已经有14人回复
【求助】向各位大侠求助matlab求解微分方程组遇到的一个问题
已经有21人回复
【求助】用mathematica 5.0求解一个非线性方程组失败,特发帖求助!
已经有5人回复
【求助】MATLAB 有限差分法(FDM)求解偏微分方程
已经有22人回复
求助一个差分方程的MATLAB实现
已经有3人回复
【求助】一个常微分方程的通解
已经有6人回复
【求助】求问一个寻找最优解问题,是泛函问题么
已经有22人回复
【求助】kissinger方程的问题
已经有16人回复
点击这里搜索更多相关资源
科研从小木虫开始,人人为我,我为人人
相关版块跳转
数理科学综合
机械
物理
数学
农林
食品
地学
能源
信息科学
土木建筑
航空航天
转基因
我要订阅楼主
tttt23456
的主题更新
1
1/1
返回列表
如果回帖内容含有宣传信息,请如实选中。否则帐号将被全论坛禁言
普通表情
龙
兔
虎
猫
百度网盘
|
360云盘
|
千易网盘
|
华为网盘
在新窗口页面中打开自己喜欢的网盘网站,将文件上传后,然后将下载链接复制到帖子内容中就可以了。
信息提示
关闭
请填处理意见
关闭
确定