±±¾©Ê¯ÓÍ»¯¹¤Ñ§Ôº2026ÄêÑо¿ÉúÕÐÉú½ÓÊÕµ÷¼Á¹«¸æ
²é¿´: 363  |  »Ø¸´: 3

x_lei81

Ìú³æ (СÓÐÃûÆø)

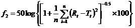
[ÇóÖú] Çó¸ßÊÖÖ¸µãÏÂÒ»¸ö¹«Ê½µÄÎÊÌâ

Õâ¸ö¹«Ê½ÖÐRtºÍTtÊÇÒÑÖªµÄ¡£ÓкܶàÊý¾Ý£¬ÏëÇëÎÊÏÂÎÒҪͨ¹ýÕâЩÊý¾ÝÇó³öf2ÓÐûÓÐÄĸöÈí¼þ¿ÉÒԺܿìËã³öÀ´£¬ÈçºÎ²Ù×÷£¬ÓÃEXCEL¿ÉÒÔÂð¡£Ð»Ð»
Çó¸ßÊÖÖ¸µãÏÂÒ»¸ö¹«Ê½µÄÎÊÌâ
TXZMC{62H{OBAONPW[88)3R.jpg
»Ø¸´´ËÂ¥

» ²ÂÄãϲ»¶

» ±¾Ö÷ÌâÏà¹Ø¼ÛÖµÌùÍÆ¼ö£¬¶ÔÄúͬÑùÓаïÖú:

ÒÑÔÄ   »Ø¸´´ËÂ¥   ¹Ø×¢TA ¸øTA·¢ÏûÏ¢ ËÍTAºì»¨ TAµÄ»ØÌû

¿×»ª

½û³æ (СÓÐÃûÆø)

±¾ÌûÄÚÈݱ»ÆÁ±Î

2Â¥2013-07-16 17:26:55
ÒÑÔÄ   »Ø¸´´ËÂ¥   ¹Ø×¢TA ¸øTA·¢ÏûÏ¢ ËÍTAºì»¨ TAµÄ»ØÌû

x_lei81

Ìú³æ (СÓÐÃûÆø)

ÒýÓûØÌû:
2Â¥: Originally posted by ¿×»ª at 2013-07-16 17:26:55
ÏàËÆÒò×Ó¼ÆË㹫ʽ°¡£¬¿ÉÒÔ×Ô¼ºÓÃexcel¼ÆËã°¡£¬ºÜ¿ìµÄ

ÇëÎÊÈçºÎÓÃEXCEL ×ö
3Â¥2013-08-01 15:09:48
ÒÑÔÄ   »Ø¸´´ËÂ¥   ¹Ø×¢TA ¸øTA·¢ÏûÏ¢ ËÍTAºì»¨ TAµÄ»ØÌû

¿×»ª

½û³æ (СÓÐÃûÆø)

±¾ÌûÄÚÈݱ»ÆÁ±Î

4Â¥2013-08-02 08:18:59
ÒÑÔÄ   »Ø¸´´ËÂ¥   ¹Ø×¢TA ¸øTA·¢ÏûÏ¢ ËÍTAºì»¨ TAµÄ»ØÌû
Ïà¹Ø°æ¿éÌø×ª ÎÒÒª¶©ÔÄÂ¥Ö÷ x_lei81 µÄÖ÷Ìâ¸üÐÂ
×î¾ßÈËÆøÈÈÌûÍÆ¼ö [²é¿´È«²¿] ×÷Õß »Ø/¿´ ×îºó·¢±í
[¿¼ÑÐ] 0703µ÷¼Á +8 ʰ¾ÁÒ¼ 2026-04-04 9/450 2026-04-04 22:22 by °¡Àî999
[¿¼ÑÐ] ²ÄÁϵ÷¼Á +18 Ò»ÑùYWY 2026-04-02 19/950 2026-04-04 22:14 by hemengdong
[¿¼ÑÐ] 081200-11408-276ѧ˶Çóµ÷¼Á +3 ´Þwj 2026-04-04 4/200 2026-04-04 22:12 by à£à£à£0119
[¿¼ÑÐ] ÇóÉúÎïѧµ÷¼Á +14 15172915737 2026-04-01 14/700 2026-04-04 20:13 by babysonlkd
[¿¼ÑÐ] 284Çóµ÷¼Á +4 Ðìͬѧ_001 2026-04-04 4/200 2026-04-04 20:12 by babysonlkd
[¿¼ÑÐ] 329Çóµ÷¼Á +13 miaodesi 2026-04-02 15/750 2026-04-04 18:14 by jj987
[ÂÛÎÄͶ¸å] ÇóÎÄÏ× 5+3 ys879651$ 2026-04-02 3/150 2026-04-04 17:22 by bobvan
[¿¼ÑÐ] 070300»¯Ñ§Çóµ÷¼Á +16 С»ÆÑ¼±¦ 2026-03-30 16/800 2026-04-04 11:49 by asdhh1991
[¿¼ÑÐ] 0856µ÷¼Á +8 ÇúÌýóÞ 2026-03-30 8/400 2026-04-04 08:46 by tianyyysss
[¿¼ÑÐ] 343Çóµ÷¼Á +8 °®î¿°í 2026-03-29 8/400 2026-04-03 22:19 by –¹Æ?
[¿¼ÑÐ] 070300Ò»Ö¾Ô¸211£¬312·ÖÇóµ÷¼ÁԺУ +16 С»ÆÑ¼±¦ 2026-03-30 16/800 2026-04-03 19:53 by lijunpoly
[¿¼ÑÐ] ѧ˶»úе¹¤³Ì303Çóµ÷¼Á +6 ÎÞÃûËùÒÔ½ÐÎâÃ÷ 2026-03-30 7/350 2026-04-03 16:48 by asdfzly
[¿¼ÑÐ] 274Çóµ÷¼Á +10 Ѧ¶¨Ú̵Ļ¢¡£ 2026-04-01 10/500 2026-04-03 10:13 by tianyyysss
[¿¼ÑÐ] 085801 ×Ü·Ö275 ±¾¿ÆÐÂÄÜÔ´ Çóµ÷¼Á +19 bradoner 2026-04-01 23/1150 2026-04-03 10:07 by linyelide
[¿¼ÑÐ] »·¾³¹¤³Ì297·ÖÇóµ÷¼ÁÒ»Ö¾Ô¸º¼¸ßÔº +15 GENJIOW 2026-03-31 16/800 2026-04-02 17:56 by cyh¡ª315
[¿¼ÑÐ] 081200-11408-276ѧ˶Çóµ÷¼Á +3 ´Þwj 2026-04-02 3/150 2026-04-02 15:06 by cal0306
[¿¼²©] ²ÄÁϹ¤³Ìרҵ˶ʿÉ격 +3 ÷ëÕýÓî 2026-03-30 3/150 2026-04-02 15:04 by greychen00
[¿¼ÑÐ] ÄÜÔ´¶¯Á¦ µ÷¼Á +3 ²»ÆÆ²»Á¢0 2026-04-02 3/150 2026-04-02 12:46 by ffffjjjj
[¿¼ÑÐ] 339Çóµ÷¼Á +5 zjjkt 2026-03-31 5/250 2026-04-01 09:18 by JourneyLucky
[»ù½ðÉêÇë] ÃæÉÏ5BÄÜÉÏ»áÂ𣿠+8 redcom 2026-03-29 8/400 2026-03-31 15:53 by niuailing
ÐÅÏ¢Ìáʾ
ÇëÌî´¦ÀíÒâ¼û